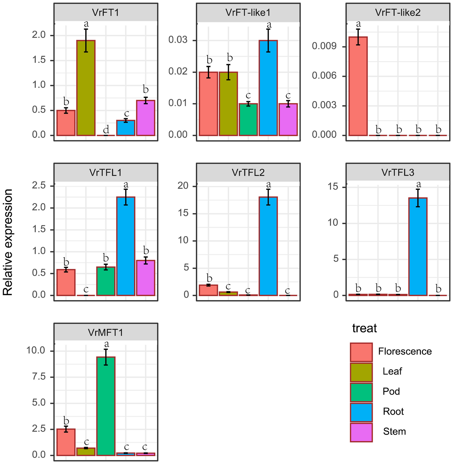
Fig. 6

Tissue-specific expression analysis of VrPEBP using qPCR. The data are presented as means ± standard errors (SEs) derived from three independent biological replicates. Statistically significant differences among the different tissues are indicated by different lowercase letters (a, b, c or d) based on Duncan’s test (p-value < 0.05).