Abstract
Mortars will remain critical in future land wars due to their flexibility and versatility. When mortars are fired continuously, the contact soil is gradually compacted by the mortar base plate, and dynamic research into this process is the basis for innovative mortar design. However, the discontinuity and nonlinearity of soil contact absolutely necessitate the constitutive relationship of soil contact, which is difficult to study. Therefore, this study conducted experimental research and theoretical derivation to establish an accurate dynamic model of the mortar system. First, based on the nonlinear elastic–plastic theory and the stress–strain relationship of soil under cyclic loading, a theoretical analysis method for the constitutive relationship of contact soil under continuous loading was proposed. Second, an experimental and testing system was designed to simulate launch loads, and the stress–strain response of soil under continuous impact loads was obtained experimentally. Subsequently, based on theoretical analysis and experimental data, the stress–strain relationship during the gradual compaction of soil was established using the least squares method. Finally, a constitutive relationship model of the contact soil in the mortar system was established in ABAQUS using the VUMAT subroutine interface, and the calculated results were compared and analyzed with traditional calculation results. The results indicated that studying the constitutive relationship of mortar in contact with soil during continuous firing using this method can improve the accuracy of dynamically modeling mortar systems. Moreover, this study has practical value in the engineering design of mortar systems.
Similar content being viewed by others
Introduction
In future wars, the ground suppression artillery will still be a powerful guarantee for ultimately occupying enemy areas and achieving victory in the war. Mortars have always held a pivotal position in army equipment due to their unparalleled cost-effectiveness, portability and ingenuity, and will play a greater advantage in the future battlefield. The constitutive relationship of soil during the continuous firing process of mortars is an important research foundation of mortar firing dynamics. However, during this process, the soil is gradually compacted by the mortar, which is shown as Fig. 1. Due to the three-phase composition of air, solution, and particles in soil, its constitutive relationship is dynamically changing. Besides, the discontinuous and nonlinear characteristics of soil make the research extremely difficult. The lack of clear constitutive relationship of the soil has become one of the main factors restricting the development of mortar launch dynamics.
Schematic diagram of mortar firing.
Generally speaking, the mathematical model of the macroscopic properties of materials is called the constitutive relationship. Writing the constitutive relationship into a specific mathematical expression is the constitutive equation. Studying the constitutive relationship of the soil is actually studying the relationship of its stress and strain1. Numerical and experimental methods are the main methods. The surface soil is almost entirely unsaturated, but the theory and experimental methods of saturated soil mechanics cannot accurately explain and handle engineering problems of unsaturated soil2. Gens A3 discussed in detail the stress state or constitutive variables required to construct the model, and analyzed a specific constitutive model of unsaturated soil. Previous studies have used viscoplastic constitutive models to establish a numerical model of three-phase porous soil media. Jia J et al.4, Lulec A et al.5 and Yang R6 used the existing model to fit the test curve, studied the mechanical properties of soil under dynamic impact load, and provided a basis for soil numerical simulation research. Lin C et al.7 conducted high-speed impact compression tests on basalt fiber reinforced active powder concrete using SHPB, analyzed the influence of strain rate on the dynamic compressive strength, ultimate strain and impact toughness, studied the mechanical behavior and constitutive relationship of basalt fiber reinforced active powder concrete under impact load. Xie Q et al.8 and Alessandro T9 also treated soil as a single system and studied its constitutive relationship under general impact loading. It shows that numerical simulation and experimental methods are the main research approaches. However, soil is generally regarded as a single system, and there is not much research on its coupling with interacting objects.
In order to simulate the interaction between contact objects and soil, Toh W et al.10 used an impact experimental machine to apply force. Based on elastoplastic deformation theory of soil, Zhan C Y et al.11 adopted finite element modeling and calculation to simulate the relationship between stress and deformation of the soil caused by object contact, studied of the mechanical behavior of object soil coupling. Under quasi-static and dynamic loading conditions, Wang Z and Lu Y12 conducted numerical simulations using obtained experimental data to study the impact of their interactions. Wang Z et al.13 and An J et al.14 used high strain rate loading to simulate and analyze the dynamic response of soil under different water saturation conditions under shock wave action. The split Hopkinson pressure bar, triaxial apparatus and other equipment were used to obtain the stress–strain curve of soil by applying multiple impact loads or repeated impact loads. These studies considered the influence of contacting objects on the soil’s constitutive relationship, but did not address the impact of repeated impacts on soil constitutive relationships, which still significantly differ from mortar launch environments.
In order to reflect the hysteresis characteristics of soil under cyclic loading, Huang M et al.15 used boundary surface plasticity theory to unify the mapping criteria for loading and unloading processes. They proposed an elastic–plastic constitutive model that can describe the mechanical properties of unsaturated soil under cyclic loading. Sassi A and Ghrib F16 studied the deformation, failure and compaction characteristics of the soil during this process. Additionally, research has been conducted on the variation of soil settlement under cyclic loading and the permeability and compression characteristics of different soil layers by Chen B et al.17 and Jiang J et al.18. Liang C et al.19 and Du G et al.20 also analyzed the hysteresis energy and damping changes under different cycling compression loads. Based on above researches, there is a lack of research on the constitutive relationship of soil under continuous loading. These studies consider the effects of multiple or repeated loads on soil loading, but they did not replicate the high strain rates of soil under mortar launch conditions, making it difficult to simulate test conditions that couple interacting objects with soil.
Therefore, we designed an experimental system to simulate the continuous load of mortars. And dynamic response of soil that conducted by the mortar was obtained. Based on the experimental results and theoretical analysis, an formula was established for the constitutive relationship of the soil. And we analyzed the dynamic process of soil gradually being compacted. The soil constitutive relationship obtained from the study was embedded into the model, and the simulation results were compared with the traditional soil constitutive model. The soil stress–strain relationship established in this paper is primarily applicable to high strain-rate conditions of soil under projectile loading. Due to the specialized nature of studying soil under projectile loading, its practical applications are not common. Conventional rules may not fully apply to this scenario, and currently, there is a lack of relevant research in this application context. Furthermore, studying the soil stress–strain relationships under strong impact loads is highly challenging, with very few related studies conducted to date, especially those deriving from experimental methods. The first challenge lies in simulating strong impact loads, the second in effectively measuring stress and strain within the soil, and the third in establishing the constitutive relationship of soil under consecutive multiple impact loads. This study provides a theoretical foundation for dynamic modeling and simulation of mortar firing.
Constitutive relationship of soil
The elastic–plastic model of soil
The deformation of soil under continuous mortar firing conditions consists of elastic deformation and plastic deformation. The stress–strain relationship is affected by loading and unloading, as shown in Fig. 2. The loading of soil does not have a clear proportional limit and unloading leads to the recovery of elastic strain. When reloading, if the stress does not exceed the original yield point, elastic deformation will occur. Otherwise, new plastic deformation will occur. Within a certain range, the yield stress increases with the load. Therefore, the basic idea of the elastic–plastic model is to assume that the soil only produces recoverable elastic strain before reaching the yield condition. But the resulting strain consists of elastic strain and plastic strain after meeting the yield condition.
Stress–strain relationship of soil during loading and unloading and strain decomposition of elastic–plastic model. (a) Plastic Strain; (b) Elastic strain; (c) total strain.
According to the basic theory of elastic–plastic models, the stress–strain relationship before yield is calculated according to the principles and methods of elastic theory, while the stress–strain relationship after yield is calculated according to the principles and methods of plastic theory. For the plane strain condition, the stress–strain relationship is:
where,
The stress–strain relationship during the plastic stage is calculated using incremental theory.The total strain increment \(\left\{ {d\varepsilon } \right\}\) is the sum of the elastic strain increment \(\left\{ {d\varepsilon^{e} } \right\}\) and the plastic strain increment \(\left\{ {d\varepsilon^{p} } \right\}\)21.
According to Mises’ plastic potential theory22, the direction of plastic flow can be determined based on the gradient of the plastic potential function. For the plastic flow state, there is a scalar function called the plastic potential function with a certain stress or stress invariant, which makes the direction of plastic flow the same as the gradient direction of the plastic potential function. It is expressed mathematically as:
Therefore, Eq. (1) is represented as:
After the initial yield, the shape, size and center position of the loading yield surface may change with the increase of deformation and the change of stress state. It is necessary to use the hardening law to determine the change law of the loading yield surface in the stress space after the soil enters plastic deformation. The yield criterion for this yield surface is:
where,\(\kappa\) is the hardening parameter, which is a function of plastic work.
Assuming \(d\lambda\) is a function of \(W_{p}\), then,
where, \(n\) is the unit vector normal to the yielding surface. Then,
Solving the equation yields,
where, the elastic–plastic modulus \(\left[ D \right]_{ep}\) is:
Dynamic stress–strain relationship of soil
The deformation and failure process of soil under cyclic loading is a process of continuous generation and accumulation of damage, as well as a process of continuous energy dissipation. Energy dissipation is mainly manifested as deformation at the macro level, defects at the micro level and damage within the soil23.
The stress–strain relationship of soil under cyclic loading has two characteristics. One is nonlinear and the other is lag. If cyclic reciprocating shear stress is applied along a plane with zero initial shear stress in the soil, the stress–strain relationship curve within one cycle will be a hysteresis loop24. If the maximum cyclic shear stress \(\pm \sigma_{dm}\) and maximum cyclic shear strain \(\pm \varepsilon_{dm}\) under different cyclic dynamic stresses are plotted, the trajectory of each stress–strain hysteresis loop vertex is obtained, which is called the stress–strain backbone curve of the soil, as shown in Fig. 3. The backbone curve reflects the nonlinearity of dynamic strain and the hysteresis curve reflects the hysteresis of strain to stress.
Backbone curve ① and hysteresis curve ②
At present, seeking a specific mathematical expression for the hysteresis curve is unnecessary. But we can express the hysteresis characteristics under different strain amplitudes using the damping ratio of shear strain variation. It should be feasible to simulate the performance of remolded soil and compacted soil within the same theoretical framework25. We can find the mathematical expression of the hysteresis curve directly or use polynomial approximation methods to establish a calculation model for the stress–strain relationship26. The hysteresis curve can be simplified using the Mann double method, which assumes that the shape of the hysteresis curve is consistent with the shape of the main curve. So we focus on studying the stress–strain relationship of backbone curve.
Experimental study
Experimental design
The base plate of the mortar directly contacts the soil, causing deformation of the soil under the acting force. By measuring the stress and strain of the soil, dynamic response parameters of the soil can be obtained. The designed experimental device mainly comprises truss, electromagnet, drop hammer, protective device, transmission rod, base plate, soil and testing system, as shown in Fig. 4. To facilitate electromagnetic adsorption, the drop hammer was designed as a cubic iron block with a side length of 270 mm. Its weight is approximately 150 kg. During the experiment, an electromagnet was mounted on an overhead truss, and the truss’s movement was controlled to bring the electromagnet into contact with the drop hammer. By supplying power to the electromagnet via a regulated power supply, electromagnetic force was generated to attract the drop hammer. By controlling the truss’s movement, the hammer could be lifted to a specific height according to test requirements. Upon reaching the designated position, the power supply to the electromagnet was disconnected, allowing the hammer to fall freely under gravity and collide with the ball head, generating an impact load that simulates the recoil during the mortar firing process. Overall, the experiment is conducted to obtain the soil characteristics under high strain rate impacts, rather than to fully replicate the dynamic load of a mortar launch. The primary goal is to capture the peak point of the launch load to achieve the same strain rate characteristics and thus capture the soil material properties.
Experimental device. 1—Truss; 2—Electromagnet; 3—Drop hammer; 4—Force sensor; 5—Protective board; 6—Protective frame; 7—Transmission rod; 8—Soil; 9—Base plate; 10—Stress/strain measuring points; 11—Framework; 12—High speed camera; 13—Data Collection and Analysis System.
Equivalent load
Mortar propellant charges are usually classified into several levels based on different initial velocity requirements. For the large-caliber mortar studied in this paper, there are seven levels corresponding to propellant charges numbered from No.0 to No.6. No.6 represents a fully charged propellant and No.0 represents a basic propellant charge. Based on these assumptions, the following basic equations can be established for internal ballistics27. The pressure curve at the base of a large caliber mortar under fully charged conditions is shown in Fig. 5. It’s peak pressure is 112 MPa and an action time is approximately 6 ms.
Bottom pressure curve with full charge.
We utilized simulation analysis to establish the relationship between the drop height of the hammer and chamber pressure. The fundamental principle is as follows: Focusing on the drop hammer and transmission mechanism, the load is directly applied to the transmission rod, and the equivalent strain value at the midpoint position of the transmission rod is computed. Subsequently, the hammer is dropped freely from varying heights and impacts the transmission rod, enabling calculation of the equivalent strain at the same position on the transmission rod. When the equivalent strain values computed by both simulation models equate, the hammer’s drop height corresponds to the chamber pressure. The simulation model is shown in Fig. 6, with an equivalent strain of 4.61E-7 at the center point and an equivalent fall height of 55 mm under full charge condition in Fig. 5.
Simulation model of drop hammer height.
Due to the preference for moderately stiff soil in mortar firing positions, the simulated and experimental soils selected for calculation mimic this type, with their main parameters shown in Table 128.
If the soil thickness is insufficient, simulating the actual working conditions would be impossible. But if the soil thickness is too thick, it leads to an increase in workload. The soil thickness required for the experiment was determined based on the criterion that the stress had decayed to zero. Based on preliminary experiments and simulation analyses, an impact load was applied to the soil surface in the simulation calculation. The stress at each point in the soil was dynamically calculated. The results show the maximum strain in the soil, as depicted in Fig. 7.The stress in the soil decays to zero when the soil thickness is approximately 1.1 m. Therefore, the thickness of the soil inside the experimental framework is set to 1.2 m.
Simulation of soil stress attenuation under 1.0 MPa load. (a) Simulation model. (b) Variation law of equivalent stress in soil.
Testing system
To determine the dynamic characteristics of stress measurement sensors, it is first necessary to calculate the effective frequency range of the excitation signal (chamber pressure signal) and determine the operating bandwidth of each measurement system accordingly. Based on the energy distribution of the signal, a narrower pulse width corresponds to a higher frequency. The bandwidth of the signal is calculated based on the pulse width corresponding to the fully charged condition. The effective frequency range of the chamber pressure curve is then calculated using the following empirical formula29.
where, \(\tau\) is the pulse width of the signal. Its unit is seconds.
The main stress area of the base plate is located in the trunnion and its surrounding region. Thus, the soil 20 cm directly below the center of the base plate, where the trunnion generates the maximum force, is designated as the measuring point. A stress sensor mounting bracket was designed to ensure that the sensor’s location stays unchanged during measurements and that there is enough stiffness. The soil stress sensor is fixed onto the mounting bracket using a glue adhesive.
As there are no sensors designed to measure soil strain directly, the equivalent strain at a stress measurement point is calculated by measuring the soil’s displacement at that point instead. For this purpose, a wire-rope displacement sensor has been chosen with the testing principle outlined in Fig. 8.
Method for measuring soil strain.
A steel pipe with an inner diameter of 5 mm is anchored in the soil, with one end of the pipe located close to the stress sensor position while the other end protrudes from the soil’s surface. The measuring wire rope of the displacement sensor is then fed into the soil via the steel tube, with the measuring end positioned at the same height and near the stress sensor location.
In the experiment, the soil underwent pretreatment, including: Removing stones and other foreign substances from the soil; Crushing the blocky soil into fine sandy soil and filtering it through gauze; Packing the soil into the frame in layers, with each layer approximately 20 cm thick. The soil moisture content of each layer was measured using a soil moisture analyzer and was about 15%. Due to the uniform use of the same soil type for filling, the difference in moisture content between each layer of soil was minimal. When the moisture content was slightly low, a watering can was used to spray a small amount of water. And the test system was designed to minimize experimental errors. Furthermore, tests were conducted at ambient temperature whenever possible. Accurate positioning of the impact and a well-planned operation were selected to avoid test errors resulting from environmental conditions and actual operations.
Result and discuss
Experimental results
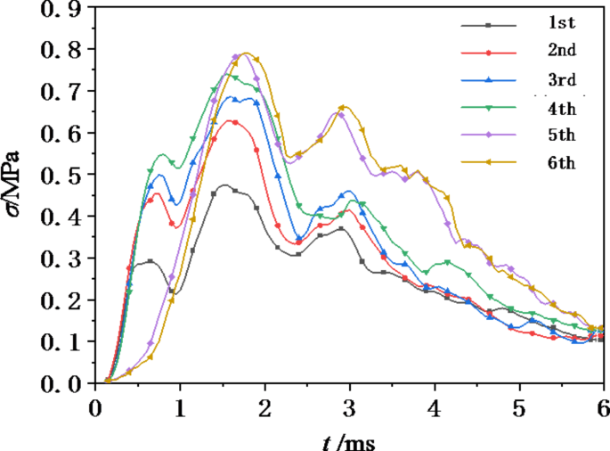
The mortar firing pressure is transmitted through the breech ball to the base plate. After bearing the tremendous impact force, the base plate transfers the remaining load to the soil. After multiple experiments, consistent results were obtained. Therefore, the average of the experimental data was chosen for analysis. Set the time when the system can detect valid signal values as 0. The stress and strain measured at the soil test points are depicted in Figs. 9 and 10, respectively. During the first impact load, the unconsolidated soil in contact with the base plate primarily demonstrated plastic deformation. Some of the stress applied on the soil could be partially dissipated as it was transmitted through the soil particles. For the second to the fourth impacts, the changes in soil stress remained relatively consistent. The stress increment observed during the second impact was more substantial than that of the initial impact, but it decreased throughout each subsequent impact. The soil’s stress response during the fifth impact differed considerably from that of the preceding four impacts. While increasing from zero to its peak value, it had a somewhat linear configuration, contrasting with the waveforms seen in previous impacts. The soil attained an elastic deformation tendency, with a nearly constant elastic modulus. The sixth impact’s stress response pattern was similar to that of the fifth impact. And the difference between the forward and backward maximum displacement values reduced.
Soil stress under continuous impact.
Deformation of soil under continuous impact.
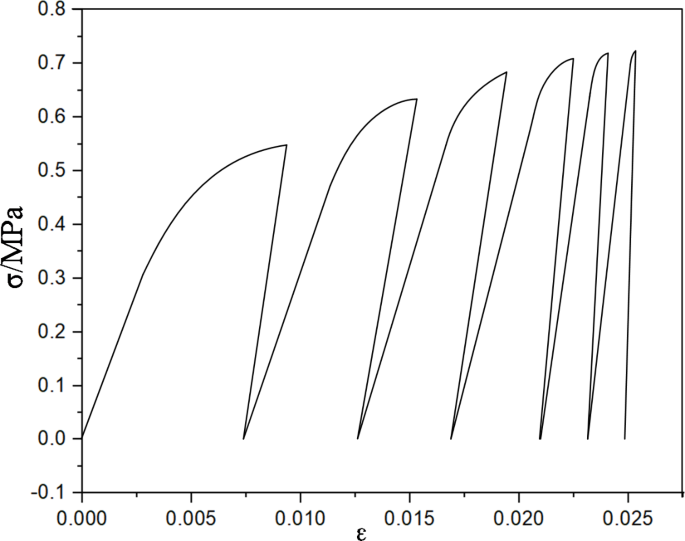
Based on the experimental results, the stress–strain relationship under continuous impact loading for soil was obtained as shown in Fig. 11 by combining the stress and strain data from corresponding load cycles in Figs. 9 and 10 onto the same coordinate system. Generally, as the number of load cycles increases, the stress in the soil gradually increases while the strain decreases. This overall trend broadly aligns with the theoretical model presented in Fig. 2. Under continuous impact loading, as the soil consolidates gradually, the stress transfer through the soil causes a decrease in energy dissipation. This phenomenon is reflected in the increase of stress and yield strength in each test for the same loading conditions. The soil shifts from being primarily plastically deformed due to unconsolidation to undergoing elastic deformation as consolidation occurs. During unloading, the elastic modulus of the soil behaves approximately constant, forming near-linear stress–strain curves. Therefore, the plastic strain increment \(d\varepsilon_{ij}^{e}\) serves as a criterion for determining whether or not the coupling soil has consolidated with the base plate under impact loading. When this incremental plastic strain \(d\varepsilon_{ij}^{e}\) is close to zero, the soil is considered consolidated.
Stress–strain relationship during soil hardening process.
Constitutive relationship of soil under continuous loading
Based on the changing pattern of soil subjected to impact loading and by removing some interference points, both linear and polynomial fitting methods are applied in processing the data in Fig. 11. To ensure the fitting curve reflects the variation trend of the deviation data points as closely as possible with minimal bias, least squares method is commonly used30. The loading phase is divided into two stages: the straight-line segment representing initial loading and the envelope line segment formed from repetitive loading. So the stress–strain relationship corresponding to the soil hardening process is shown in Fig. 12.
Stress–strain relationship during soil hardening process.
Numerical implementation process flowchart.
As seen from the figure, rapid loading leads to an increase in soil bearing capacity. This is because rapid loading makes the friction and contact between soil particles more pronounced, thereby increasing the soil’s strength. The deformation characteristics of soil can vary at different strain rates. At high strain rates, the soil deformation may be smaller, while at low strain rates, the soil may exhibit larger deformation. The soil constitutive model under fire load utilizing the VUMAT subroutine interface in ABAQUS was developed, primarily through defining input and output parameters of the subroutine, writing the main code of the subroutine, compiling the subroutine, linking the subroutine with Abaqus software, and conducting tests31. Given initial conditions, apply loads, and define boundary conditions. The load curve of the mortar base plate is applied to the center section of the projectile tail and tail wing, which is the upper end face of the tail ball. Surface contact is used between the spherical surface of the tail ball and the spherical surface of the socket, as well as between the base plate and the soil. The box where the soil is located is simulated using full constraints. Mortars generally use high and low angles ranging from 45° to 85° for firing, with a highly curved trajectory. The working condition is changed by changing the contact angle between the tail ball and the mortar. The calling process of the numerical implementation of the constitutive model is shown in Fig. 13.
Comparison of numerical calculation results
Model of mortar base plate-soil.
Due to the main research focus being on the constitutive relationship of soil contact during the continuous firing process of mortars, only the base plate in direct contact with the soil and the tail ball used for applying impact loads were retained when establishing the numerical model. The established finite element model is shown in Fig. 14.
According to the number of loading cycles in the experiment, the corresponding load is applied to the tail ball of the mortar. Traditional calculations using the built-in soil model of the direct application software and modified calculations using the soil constitutive relationship in this paper are used to obtain the stress and strain of the soil. In traditional methods, for the constitutive relationship of soils, we typically choose the Drucker-Prager(D-P) model. It is based on the Mises yield criterion and considers mean stress, with the specific expression as follows:
where, \(I_{1}\) is the first invariant of the stress tensor, \(J_{2}\) is the second invariant of the stress tensor. \(\alpha\) and \(k\) are material parameters.
where, \(c\) represents the cohesive strength of the soil, which is set to 10 kPa, and \(\varphi\) represents the internal friction angle of the soil.
Soil stress calculated through traditional method.
Set the computational conditions to match those of the test. The load is transmitted from the cannon’s base ball to the base plate, and then from the base plate to the soil. The contact force and the effective duration of the soil’s response are essentially consistent with the load application time. Among these, the maximum strain and maximum deformation are selected as the research subjects. Cross sectional views of the soil measurement point positions are taken, and Figs. 15 and 16 show the stress of the soil after traditional and modified calculations, respectively.
Soil stress calculated through modified method.
Comparison of soil stress values.
Comparison of soil strain values.
It can be seen that there is a significant difference in the calculation results of soil stress obtained using the two methods. In traditional calculation results, the maximum stress is mainly located at the center of the soil during the first impact, and after the second impact, the stress is dispersed around the soil, which is obviously inconsistent with the experiment. The maximum stress in the modified calculation results is always located at the center of the soil, and gradually increases with the increase of loading times, and the overall change pattern is consistent with the experiment. The comparison of specific values is shown in Fig. 17. The shape of the strain cloud map of the soil calculated by the two methods is not significantly different, but there are some numerical differences, and the modified calculation values are closer to the experimental values. Using the same method, the comparison of the maximum strain values obtained in the central area of the soil is shown in Fig. 18.
The reason why the surface stress of the soil decreases at the beginning of the second loading cycle is that the traditional method lack of consideration for actual dynamic loading reveals two more pronounced effects over time: The rate effect, which pertains to the impact caused on the soil when loads are applied at a very high rate within a short period. And the cyclic effect, which refers to the impact caused on the soil due to the repeated application and removal of loads in multiple cycles. After the first loading cycle, the water and air in the soil are significantly squeezed, causing a significant change in the soil structure and a drastic reduction in elasticity. Traditional calculations did not consider the internal changes in the soil after each loading cycle.
The research methods and approach presented in this paper can serve as a reference for the constitutive study of soil under different conditions, calibers of mortars, and loading scenarios. Therefore, the results of this study have significant practical value. However, the model established in this paper is based on medium-hard soil shooting conditions and is targeted at full charge shooting loads. Given the need for mortar operations across a full range of scenarios, the variety of soil conditions is extensive, and the above research is clearly insufficient. Additionally, the drop weight test primarily simulates the peak load of mortar firing and does not fully replicate the dynamic load of mortar firing. These shortcomings will be continuously improved in future research.
Conclusion
Mortar is a type of curved artillery that directly bears recoil with its base plate. During the firing process, the soil undergoes regular elastic–plastic deformation, which gives the mortar good shooting stability, continuous shooting ability, and shooting accuracy. The nonlinear constitutive relationship of soil is the key to the study of mortar dynamics. The main conclusions are as follows:
-
(1)
During the loading process, the soil exhibits characteristics of elastic–plastic state and strain hardening. The soil elastic modulus is nonlinear, and with the increase of loading times, the overall level of elastic modulus shows an upward trend, and the soil gradually hardens.
-
(2)
After the soil is gradually compacted, it approximates an elastic body and only undergoes small plastic deformation under load. As the number of loading increases, the plastic deformation of the soil decreases, and the soil gradually shifts towards a linear elastic state.
-
(3)
During the unloading process, the soil is approximately in a linear elastic state, with a linear relationship between stress and strain. The unloading elastic modulus is constant and gradually increases as the soil gradually solidifies.
The model obtained using the experimental method in this paper is primarily aimed at the continuous firing conditions of 120 mm mortar in medium-hard soil environments. Research on other soil conditions is still needed, and the generalizability of the model requires improvement. To address this, future research will involve diversifying soil types, conducting multi-condition studies, and further validating and optimizing the model through live firing tests.
Data availability
The authors confirm that the data supporting the findings of this study are available within the manuscript.
References
Luo, T., Yao, Y. & Hou, W. Soil Constitutive Models (China Communications Press, 2010)
Sun, D. Mechanical behaviors and constitutive model for unsaturated soils. Chin. J. Geotech. Eng. 45, 1–124 (2023) (in Chinese).
Gens, A. Soil–environment interactions in geotechnical engineering. Géotechnique 60, 3–74 (2010).
Jia, J., Tang, H. & Chen, H. Dynamic mechanical properties and energy dissipation characteristics of frozen soil under passive confined pressure. Acta Mech. Solid. Sin. 34, 184–203 (2021).
Lulec, A., Sadeghian, V. & Vecchio, F. J. Three-dimensional macro-modeling of concrete slabs subjected to missile impact loading. ACI Struct. J. 119, 77–88 (2022).
Yang, R. et al. Experimental study on dynamic mechanics and energy evolution of rubber concrete under cyclic impact loading and dynamic splitting tension. Constr. Buildi. Mater. 262, 120071 (2020).
Lin, C. et al. Mechanical behavior and constitutive relationship of basalt fiber reactive powder concrete under impact loading. Mater. Rep. 36, 21050237 (2022).
Xie, Q., Zhu, Z. & Kang, G. A dynamic micromechanical constitutive model for frozen soil under impact loading. Acta Mech. Solid. Sin. 29, 13–21 (2016).
Alessandro, T. et al. Deformable soil with adaptive level of detail for tracked and wheeled vehicles. Int. J. Veh. Perform. 5, 60–76 (2018).
Toh, W. et al. Numerical and experimental study of the dynamic response of dry fine sand under moderate speed impacts. Int. J. Impact Eng. 130, 239–246 (2019).
Zhan, C. Y. et al. Numerical simulation of frozen soil under uniaxial and coupled dynamic-static impact loads. J. Mech. Mater. Struct. 16(5), 677–696 (2022).
Wang, Z. & Lu, Y. Numerical analysis on dynamic deformation mechanism of soils under blast loading. Soil Dyn. Earthq. Eng. 23, 705–714 (2015).
Wang, Z., Lu, Y. & Bai, C. Numerical analysis of blast-induced liquefaction of soil. Comput. Geotech. 35, 196–209 (2008).
An, J. et al. Simulation of soil behavior under blast loading. Int. J. Geomech. 11, 323–334 (2011).
Huang, M., Yang, C. & Cui, Y. Elasto-plastic bounding surface model for unsaturated soils under cyclic loading. Chin. J. Geotech. Eng. 31, 817–823 (2009).
Sassi, A. & Ghrib, F. Development of finite element model for the analysis of a guardrail post subjected to dynamic lateral loading. Int. J. Crashworthiness 19, 457–468 (2014).
Chen, B. et al. Hysteretic behavior of geopolymer concrete with active confinement subjected to monotonic and cyclic axial compression: An experimental study. Materials 13, 3997 (2020).
Jiang, J. et al. Experimental study on hysteresis behavior of precast concrete double skin shear wall with horizontal loop connection and spiral-confined vertical lap connection. J. Build. Eng. 45, 103526 (2022).
Liang, C. et al. Hysteretic energy and damping variation of recycled aggregate concrete with different cyclic compression loading levels. J. Build. Eng. 44, 102936 (2021).
Du, G. et al. Experimental study on hysteretic model for L-shaped concrete-filled steel tubular column subjected to cyclic loading. Thin-Walled Struct. 144, 106278 (2019).
O'Connor, D., West, B. A., Haehnel, R. B. et al. A viscoelastic integral formulation and numerical implementation of an isotropic constitutive model of saline ice. Cold Reg. Sci. Technol. 171, 102983 (2019).
Djouadi, I., Fernandes, R. et al. An elastoviscoplastic constitutive model for geomaterials: Application to hydromechanical modelling of claystone response to drift excavation. Comput. Geotech. 85, 321–340 (2017).
De, H., Hu, Y., Li, J. et al. The evolution of sandstone energy dissipation under cyclic loading and unloading. Chin. J. Rock Mech. Eng. 35, 2869–2875 (2016) (in Chinese).
Galindo, R., Patio, H. & Melentijevic, S. Hysteretic behaviour model of soils under cyclic loads. Acta Geophys. 67, 1–20 (2019).
Liu, Y. Fundamentals of Soil Dynamics (Tsinghua University Press, 2019) (in Chinese).
Sheng, D. & Yang, C. Discussion of undamental principles in unsaturated soil mechanics. Chin. J. Geotech. Eng. 34, 438–456 (2012) (in Chinese).
Zhang, X. B. Interior Ballistics of Guns (Beijing Institute of Technology Press, 2004) (in Chinese).
Ge, J. L., Xie, X., Liu, G. et al. Dynamic response analysis and structural optimization of composite base plate. J. Ballist. 32(4), 83–90 (2020) (in Chinese).
Kong, D. Engineering Testing Technology 3rd edn. (Beihang University Press, 2016) (in Chinese).
Tian, L. & Liu, Z. Least-squares method piecewise linear fitting. Comput. Sci. 39, 482–484 (2012) (in Chinese).
Zhou, Y., Sheng, Q., Zhu, Z. et al. Subloading surface model for rock based on modified Drucker-Prager criterion. Rock Soil Mech. 38, 400–408 (2017) (in Chinese).
Funding
This work is partially supported by National Natural Science Foundation of China (Grant number 52405108); High Level Talent Research Foundation of Jinling Institute of Technology (Grant number jit-b-202227).
Author information
Authors and Affiliations
Contributions
Methodology, Fengfeng Wang and Lei Li; Investigation, Fengfeng Wang; Writing—original draft, Fengfeng Wang; Writing—review and editing, Lei Li; Funding acquisition, Fengfeng Wang and Lei Li.
Corresponding author
Ethics declarations
Competing interests
The authors declare no competing interests.
Additional information
Publisher’s note
Springer Nature remains neutral with regard to jurisdictional claims in published maps and institutional affiliations.
Electronic supplementary material
Below is the link to the electronic supplementary material.
Rights and permissions
Open Access This article is licensed under a Creative Commons Attribution-NonCommercial-NoDerivatives 4.0 International License, which permits any non-commercial use, sharing, distribution and reproduction in any medium or format, as long as you give appropriate credit to the original author(s) and the source, provide a link to the Creative Commons licence, and indicate if you modified the licensed material. You do not have permission under this licence to share adapted material derived from this article or parts of it. The images or other third party material in this article are included in the article’s Creative Commons licence, unless indicated otherwise in a credit line to the material. If material is not included in the article’s Creative Commons licence and your intended use is not permitted by statutory regulation or exceeds the permitted use, you will need to obtain permission directly from the copyright holder. To view a copy of this licence, visit http://creativecommons.org/licenses/by-nc-nd/4.0/.
About this article
Cite this article
Wang, F., Li, L. Constitutive relationship of soil in contact with mortar under continuous loading. Sci Rep 14, 23260 (2024). https://doi.org/10.1038/s41598-024-74169-y
Received:
Accepted:
Published:
Version of record:
DOI: https://doi.org/10.1038/s41598-024-74169-y




















