Abstract
The recently synthesized monolayer MoSi2N4 (Science 2020, 369, 367) exhibits exceptional environmental stability, a moderate band gap, and excellent mechanical properties, presenting exciting opportunities for the exploration of two-dimensional (2D) MX2Z4 materials. However, the low carrier mobility of α-phase MoSi2N4 significantly limits its potential applications in field-effect transistor (FET) devices. In this study, we systematically investigate the structural stability, elastic properties, and carrier mobility of a novel family of β-phase MX2N4 (M = Mo, W; X = Si, Ge) monolayers through first-principles calculations. Our findings reveal that these β-phase MX2N4 monolayers demonstrate remarkable dynamic, thermal, and mechanical stability. Specifically, we identify the MoSi2N4, MoGe2N4, WSi2N4, and WGe2N4 monolayers as semiconductors with band gaps of 2.70 eV, 1.57 eV, 3.12 eV, and 1.93 eV, respectively, as calculated using the HSE06 functional. Moreover, the MX2N4 monolayers exhibit significant elastic anisotropy, characterized by high ideal tensile strengths and a critical tensile strain exceeding 25%. Notably, the WGe2N4 monolayer displays exceptional anisotropic in-plane charge transport, achieving mobility levels of up to 104 cm2V− 1S− 1, surpassing those of the α-phase MX2N4 monolayers. These novel ternary monolayer structures have the potential to broaden the 2D MX2Z4 material family and emerge as promising candidates for applications in field-effect transistors.
Similar content being viewed by others
Introduction
Over the past two decades, researchers have successfully synthesized atomically thin two-dimensional (2D) materials, such as graphene1,2, phosphorene3,4, and transition-metal dichalcogenides (TMDs)5,6, which hold significant promise in the field of nanoelectronics, particularly for the development of high-performance field-effect transistors (FETs)7,8. To meet the essential requirements for FETs, these materials not only exhibit a moderate direct band gap but also demonstrate high carrier mobility. However, these 2D materials present its own challenges in FET fabrication. For example, while graphene boasts ultrahigh carrier mobility at room temperature9, its zero band gap results in a low on/off ratio10. Conversely, phosphorene showcases a favorable direct band gap and remarkably high anisotropic carrier mobility but is prone to instability and oxidation in ambient conditions11,12. TMDs, on the other hand, offer demonstrate exemplary structural stability, impressive on/off ratios, and desirable band gaps relative to phosphorene13,14,15; however, their carrier mobility is significantly lower, by two orders of magnitude, compared to phosphorene, thereby restricting their potential in FET applications16,17. Consequently, the search for a 2D layered optoelectronic material that combines exceptional stability, satisfactory band gaps, and high carrier mobility for photoelectronic devices is becoming increasingly urgent and essential.
Recently, Hong et al.18 successfully synthesized a novel centimeter-scale monolayer of MoSi2N4 (defined as α phase) by introducing silicon to passivate its surface suspended bonds during the chemical vapor deposition (CVD) growth of 2D molybdenum nitride. This monolayer consists of septuple atomic layers arranged as N-Si-N-Mo-N-Si-N, which can be conceptualized as a MoN2 layer sandwiched between two Si-N bilayers. MoSi2N4 exhibits semiconductor properties and theoretical carrier mobility that surpasses that of MoS2. Additionally, monolayer MoSi2N4 displays ultra-high mechanical strength19,20, exceptional thermal conductivity21 and outstanding photoelectric properties22,23. Concurrently, Cheng et al.24 identified 2D MoSi2N4 as a suitable material for both the positive and negative electrodes of lithium-air batteries. Building upon the success of monolayer MoSi2N4, additional MX2Z4 (M = Mo, W, V, Nb, Ta, Ti, Zr, Hf, or Cr; X = Si and Ge; Z = N, P, and As) optoelectronic materials with identical crystal structure and stoichiometric ratio as monolayer MoSi2N4 have been theoretically predicted using a high-throughput elemental substitution approach18. Theoretical calculations indicate that MX2Z4 materials exhibit distinct properties compared to disulfides, nitrides, and transition metal carbides22,25,26, which can be attributed to the complex structures and diverse compositions inherent to these materials. Specifically, MX2Z4 materials showcase exceptional mechanical properties27, significant piezoelectric effects28, remarkable photocatalytic capabilities29, high thermal conductivities30, effective spin-splitting31, and intriguing superconducting characteristics32.
Given that α-phase MX2N4 monolayers possess numerous excellent properties, we systematically investigate the structural stability, elastic properties, and carrier mobility of the β-phase MX2N4 (M = Mo, W; X = Si, Ge) monolayers derived from structural searches using first-principles calculations. Our findings unequivocally demonstrate that β-phase MX2N4 monolayers possess remarkable dynamical, thermal, and mechanical stability, along with highly advantageous bandgaps, ultra-large tensile strains, and exceptionally high tensile strength. Notably, these β-phase MX2N4 monolayers also exhibit impressively high carrier mobility (up to 103 cm2V− 1S− 1), with the electron mobility of monolayer WGe2N4 even attaining 104 cm2V− 1S− 1, underscoring their significant potential for applications in FETs.
Calculation methods
All calculations for β-phase MX2N4 (M = Mo, W; X = Si, Ge) monolayers were carried out employing projector-augmented wave (PAW) potentials and generalized gradient approximation (GGA) within the VASP code33,34. The Perdew-Burke-Ernzerhof (PBE)35 functionals were utilized for electron exchange correlations, while the Heyd-Scuseria-Ernzerhof hybrid functional (HSE06)36 was employed for more accurate band structures. To prevent interlayer interaction, a vacuum spacing of 20 Å along the z-axis between neighboring layers was implemented. Electronic structure and elastic constants calculations were conducted with a 450 eV energy cutoff and a 16 × 16 × 1 Γ-centered Monkhorst-Pack k-point grid37. The geometrical parameters of the monolayer were fully relaxed without symmetry constraints, using the conjugate gradient method. Convergence criteria were defined as 1 × 10− 6 eV for total energy difference and 1 × 10− 3 eV/Å for Hellmann-Feynman forces on each atom.
Results and discussions
After complete relaxation, the optimized atomic configuration of the β-phase MX2N4 monolayers is depicted in Fig. 1. These monolayers exhibit a hexagonal close-packed (hcp) structure characterized by the primitive cell vectors a1 and a2, comprising seven atomic layers arranged in the sequence N-X-N-M-N-X-N. This configuration can be conceptualized as a sandwich-like intercalation structure formed by a monolayer of MN2 (M = Mo, W) intercalated between two monolayers of XN (X = Si, Ge). The primary distinction between the α- and β-phase monolayers of MX2N4 lies in the arrangement of the top and bottom N atoms. In the β-phase MX2N4, the outermost two N atoms and the M atoms are aligned along the same vertical axis. These structural configurations are illustrated in Fig. S1, while the corresponding optimized structural parameters, including the lattice constant, bond lengths, cohesive energy, and band gaps, are presented in Table 1. Furthermore, to facilitate the visualization of carrier mobility in different directions (x and y), an orthogonal lattice is illustrated using red dashed lines.
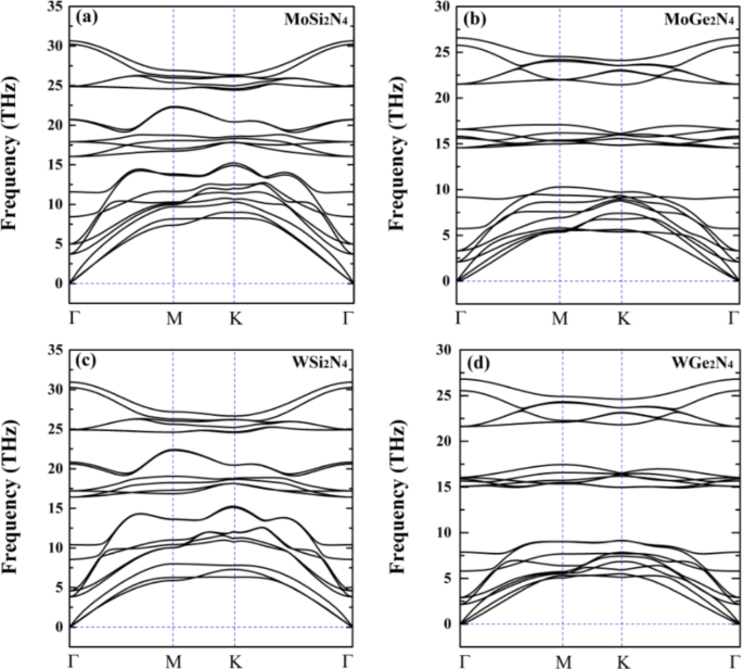
To ensure the structural stability of the optimized configurations, we initially calculated the formation energy and cohesive energy of the β-phase MX2N4 monolayers, with the results presented in Table SI (Supplementary Materials) and Table I, respectively. The formation energies of the β-phase MX2N4 monolayers are comparable to those of the α-phase MX2N4 monolayers, indicating that the β-phase MX2N4 monolayers exhibit stability similar to that of their α-phase counterparts. Additionally, the cohesive energy for these monolayer MX2N4 structures is negative, exhibiting the lowest value for the β-phase MoSi2N4 monolayer at -6.786 eV/atom, which is significantly lower than that of molybdenum disulfide (-4.98 eV/atom)38 and phosphorene (-3.30 eV/atom)39. The structural stability of the β-phase MX2N4 monolayers was further confirmed through calculations of the phonon spectrum and ab initio molecular dynamics (AIMD), as depicted in Figs. 2 and 3, respectively. The absence of imaginary frequencies throughout the Brillouin zone indicates the dynamic stability of the β-phase MX2N4 monolayers. Additionally, AIMD simulations were performed for the β-phase MX2N4 monolayers at 300 K using canonical (NVT) ensembles; the atomic arrangements of the p (4 × 4 × 1) supercell at 5 ps are displayed in the inset of Fig. 3. Notably, no broken bonds or geometrical reconstructions were observed, suggesting the high thermodynamic stability of the MX2N4 monolayers.
To investigate the mechanical stability and elastic properties of β-phase MX2N4 monolayers, we determined the elastic coefficients Cij by fitting the energy-strain relationship using a polynomial approach. For the β-phase MX2N4 monolayers, characterized by hexagonal symmetry, we calculated three independent elastic constants: C11 (with C11 = C22), C12, and C66 (where C66 =(C11 - C12)/2)40, as detailed in Table 2. Importantly, the calculated elastic constants Cij comply with the Born’s criteria for 2D hexagonal structures, which require that C11 > 0, C11 > 0, and C66 > 041, thereby confirming the mechanical stability of the β-phase MX2N4 monolayers. Utilizing these elastic constants, we further examined the mechanical properties of the β-phase MX2N4 monolayers by analyzing two independent parameters: in-plane Young’s modulus (Ys) and Poisson’s ratio (ν). The relationships defining these two parameters (Ys and ν) are expressed as follows41:
The Young’s modulus (Ys) and Poisson’s ratio (ν) of β-phase MX2N4 monolayers are summarized in Table 2. The calculated Ys values for the β-phase MX2N4 monolayers are 510.01, 400.65, 424.74, and 537.62 N/m, respectively. Notably, the Ys value of the β-phase MoSi2N4 monolayer exceeds that of the α-phase MoSi2N4 (490.82 N/m)20, suggesting superior deformation resistance in the β-phase compared to its α-phase counterpart. Moreover, the corresponding ν values for the β-phase MX2N4 monolayers are greater than those observed in graphene42 and TMDs43, specifically MoS2 and WS2.
The stress required to cause deformation or fracture in materials is commonly referred to as ideal strength. During the manufacturing process, the formation of cracks, dislocations, and vacancies in materials can significantly contribute to potential material failure. The theoretical tensile strength represents the maximum ideal tensile stress of materials. This study focuses on calculating stress-strain curves for β-phase MX2N4 monolayers in various orientations through tensile experimental simulations, as depicted in Fig. 4. Notably, under small external strains, the stress in the β-phase MX2N4 monolayers exhibits a linear increase with the applied strain. However, nonlinear behavior is observed at larger strains, followed by a decline in stress at the critical strain, culminating in structural fracture once the peak tensile stress is surpassed. The tensile strength of MX2N4 monolayers is graeter in the y direction compared to the x direction, while the critical tensile strain in the x direction is higher than that in the y direction. Specifically, the ideal tensile strengths in the y direction for MoSi2N4, MoGe2N4, WSi2N4, and WGe2N4 monolayers are 27.79 GPa, 23.19 GPa, 29.38 GPa, and 24.47 GPa, respectively. In the x direction, the ultimate tensile strains for these materials are 26%, 23%, 25%, and 24%, respectively. The ultimate tensile strains of β-phase MX2N4 monolayers are comparable to those of g-MoS244, indicating that their structure possesses high mechanical flexibility.
To investigate the favorable band gap characteristics required for photoelectric devices, we conducted electronic structure calculations on the proposed β-phase MX2N4 monolayers. It is well-known that conventional density functional theory (DFT) calculations often underestimate the band gaps of semiconductors; thus, we employed the highly accurate HSE06 method, which typically yields more reliable results. Specifically, we analyzed the MoSi2N4 monolayer, observing that the band gap calculated using the PBE functional was 2.11 eV, whereas the HSE06 method provided a significantly higher value of 2.70 eV. Despite minor structural differences between the α-phase and β-phase MoSi2N4 monolayers, their band gaps showed marked discrepancies20. As a result, we chose to utilize the HSE06 method for evaluating the electronic structures of the β-phase MX2N4 monolayers. The calculated band gaps from both the PBE and HSE methods are presented in Table I, clearly indicating that these β-phase MX2N4 monolayers behave as indirect band gap semiconductors. As illustrated in Fig. 5, the band gaps at the HSE level for MoGe2N4, WSi2N4, and WGe2N4 are 1.57 eV, 3.12 eV, and 1.93 eV, respectively. The figure also reveals that the conduction band minimum (CBM) for MoGe2N4 and WGe2N4 occurs at the K point, with the valence band maximum (VBM) positioned between the Γ and M points. For MoSi2N4 and WSi2N4, the VBM is located at the Γ point, while the CBM of MoSi2N4 is found at the K point, and that of WSi2N4 is situated at the M point. Simultaneously, we have considered the spin-orbital coupling (SOC) in the electronic structure calculations of β-phase MX2N4 (M = Mo, W; X = Si, Ge) monolayers. The energy band structures of these monolayers are plotted in Fig. S2 in the Supplementary Materials (SM) using both GGA and GGA + SOC methods. Notably, both approaches indicate that these monolayers behave as indirect gap semiconductors, with the inclusion of SOC leading to the manifestation of the Rashba spin splitting effect. Furthermore, we analyzed the contributions of the CBM and VBM of the β-phase MX2N4 monolayers using the total density of states (TDOS) and partial density of states (PDOS), as depicted in Fig. S3 and Fig. 6, respectively. Our results indicate that the CBM primarily originates from the dz2 orbital of Mo/W atoms, while the VBM is predominantly derived from the dz2 orbital of Mo/W atoms, with a lesser contribution from the pz orbital of N atoms.
Flexible 2D semiconductors with high carrier mobility hold significant promise for advancing high-speed nanoelectronics. High carrier mobility indicates that electrons and holes, generated through photon absorption can quickly participate in the response, resulting in high photoelectric conversion efficiency. In this study, we conducted a comprehensive evaluation of the carrier mobilities of β-phase MX2N4 monolayers at room temperature (300 K) utilizing the deformation potential (DP) method. Table 3 displays the calculated transport parameters, such as effective mass (m*), DP constants (E), elastic modulus (C2D) and the corresponding carrier mobilities in both the x and y transport directions. The results clearly indicate that the DP constants and elastic modulus exhibit distinct directional anisotropy for the β-phase MX2N4 monolayers, as illustrated in Fig. S4-S7. Notably, the findings suggest that the electron mobilities of β-phase MX2N4 monolayers exceed 103 cm2V− 1s− 1, with β-phase WGe2N4 demonstrating exceptionally high mobility up to 104 cm2V− 1s− 1 along the x-direction, surpassing that of the α-phase WGe2N4 monolayer45 and approaching that of black phosphorene (104 cm2V− 1s− 1)46. It is important to note that all electron mobilities significantly exceed the corresponding hole mobilities. This study introduces novel members to the 2D MX2N4 family and elucidates their structural and electronic properties, offering valuable insights into the design and synthesis of advanced functional materials.
Conclusion
In summary, we conducted a systematic investigation of the structural stability, elastic properties, and carrier mobility of a novel family of β-phase MX2N4 (M = Mo, W; X = Si, Ge) monolayers through first-principles calculations. Our findings confirm that β-phase MX2N4 monolayers exhibit remarkable dynamical, thermal, and mechanical stability at room temperature. Specifically, we identified MoSi2N4, MoGe2N4, WSi2N4, and WGe2N4 monolayers as semiconductors with band gaps of 2.70 eV, 1.57 eV, 3.12 eV, and 1.93 eV, respectively, utilizing the HSE06 functional. Additionally, these monolayers demonstrate significant elastic anisotropy, exhibiting high ideal tensile strength and a critical tensile strain that exceeds 25%. Notably, the β-phase MX2N4 monolayers also show impressively high electron mobility, reaching up to 103 cm2V− 1S− 1, with monolayer WGe2N4 achieving an exceptional electron mobility of 104 cm2V− 1S− 1, surpassing that of conventional 2D monolayers such as MoS2, InSe, and BP. These findings suggest that monolayer β-MX2N4 semiconductors hold great potential for applications in high-performance optoelectronic devices.
All data generated or analysed during this study are included in this published article and its supplementary information files.
Data availability
All data generated or analysed during this study are included in this published article and its supplementary information files.
References
Grigorenko, A. N., Polini, M. & Novoselov, K. Graphene plasmonics. Nat. Photonics 6. 749–758. https://doi.org/10.1038/nphoton.2012.262 (2012).
Geim, A. K. Graphene: status and prospects. Sci. 324. 1530–1534. https://doi.org/10.1126/science.1158877 (2009).
Carvalho, A. et al. Phosphorene: from theory to applications. Nat. Rev. Mater. 1, 16061. (2016). https://doi.org/10.1038/natrevmats. 61 (2016).
Kou, L., Chen, C., Smith, S. C. & Phosphorene Fabrication, Properties, and applications. J. Phys. Chem. Lett. 6. 2794–2805. https://doi.org/10.1021/acs.jpclett.5b01094 (2015).
Choi, W. et al. Recent development of two-dimensional transition metal dichalcogenides and their applications. Mater. Today 20. 116–130. https://doi.org/10.1016/j.mattod.2016.10.002 (2017).
Fu, Q. et al. 2D transition metal dichalcogenides: design, modulation, and challenges in Electrocatalysis. Adv. Mater. 33. 1907818. https://doi.org/10.1002/adma.201907818 (2021).
Deng, J. et al. Tuning the nanostructure and molecular orientation of high molecular weight diketopyrrolopyrrole-based polymers for high-performance field-effect transistors. Nanoscale 15. 553–561. https://doi.org/10.1039/D2NR05382A (2023).
Fu, Y. et al. Oxygen-Induced Barrier lowering for high-performance Organic Field-Effect transistors. ACS Nano 17. 15044–15052. https://doi.org/10.1021/acsnano.3c04177 (2023).
Novoselov, K. S. et al. Electric Field Effect in Atomically Thin Carbon films. Sci. 306. 666–669. https://doi.org/10.1126/science.110289 (2004).
Chhowalla, M., Jena, D. & Zhang, H. Two-dimensional semiconductors for transistors. Nat. Rev. Mater. 1. 1–15. https://doi.org/10.1038/natrevmats.2016.52 (2016).
Li, L. et al. Black phosphorus field-effect transistors. Nat. Nanotechnol 9. 372–377. https://doi.org/10.1038/nnano.2014.35 (2014).
Long, G. et al. Achieving ultrahigh carrier mobility in two-dimensional hole gas of black phosphorus. Nano Lett. 16. 7768–7773. https://doi.org/10.1021/acs.nanolett.6b03951 (2016).
Chowdhury, T., Sadler, E. C. & Kempa, T. J. Progress and prospects in transition-metal dichalcogenide research beyond 2D. Chem. Rev. 120. 12563–12591. https://doi.org/10.1021/acs.chemrev.0c00505 (2020).
Pi, L. et al. Recent progress on 2D noble-transition‐metal dichalcogenides. Adv. Funct. Mater. 29. 1904932. https://doi.org/10.1002/adfm.201904932 (2019).
Li, Q., Meng, J. & Li, Z. Recent progress on Schottky sensors based on two-dimensional transition metal dichalcogenides. J. Mater. Chem. 10. 8107–8128. https://doi.org/10.1039/D2TA00075J (2022).
Iglesias, J. M. et al. Carrier mobility and high-field velocity in 2D transition metal dichalcogenides: degeneracy and screening. 2D mater. 10, 025011. (2023). https://doi.org/10.1088/2053-1583/acb1c2
Zhang, C., Wang, R., Mishra, H. & Liu, Y. Two-dimensional semiconductors with high intrinsic carrier mobility at room temperature. Phys. Rev. Lett. 130, 087001. https://doi.org/10.1103/PhysRevLett.130.087001 (2023).
Hong, Y. L. et al. Chemical vapor deposition of layered two-dimensional MoSi2N4 materials. Sci. 369. 670–674. https://doi.org/10.1126/science.abb7023 (2020).
Li, Q., Zhou, W., Wan, X. & Zhou, J. Strain effects on monolayer MoSi2N4: Ideal strength and failure mechanism. Phys. E 131. 114753. https://doi.org/10.1016/j.physe.2021.114753 (2021).
Bafekry, A. et al. MoSi2N4 single-layer: a novel two-dimensional material with outstanding mechanical, thermal, electronic and optical properties. J. Phys. D Appl. Phys. 54. 155303. https://doi.org/10.1088/1361-6463/abdb6b (2021).
Zhang, C. et al. Thermoelectric properties of monolayer MoSi2N4 and MoGe2N4 with large Seebeck coefficient and high carrier mobility: a first principles study. J. Solid State Chem. 315. 123447. https://doi.org/10.1016/j.jssc.2022 (2022).
Yin, Y., Gong, Q., Yi, M. & Guo, W. Emerging versatile two-dimensional MoSi2N4 family. Adv. Funct. Mater. 33, 2214050. https://doi.org/10.1002/adfm.202214050 (2023).
Priydarshi, A., Chauhan, Y. S., Bhowmick, S. & Agarwal, A. Large and anisotropic carrier mobility in monolayers of the MA2Z4 series (M = Cr, Mo, W; A = Si, Ge; and Z = N, P). Nanoscale 14, 11988–11997. (2022). https://doi.org/10.1039/D2NR02382B
Cheng, L. R., Lin, Z. Z., Li, X. M. & Chen, X. 2D MoSi2N4 as electrode material of Li-air battery—A DFT study. J. Nanopart. Res. 25. 55. https://doi.org/10.1007/s11051-023-05699-1 (2023).
Tho, C. C. et al. MA2Z4 family heterostructures: promises and prospects. Appl. Phys. Rev. 10. 041307. https://doi.org/10.1063/5.0156988 (2023).
Novoselov, K. S. Discovery of 2D Van Der Waals layered MoSi2N4 family. Natl. Sci. Rev. 7. 1842–1844. https://doi.org/10.1093/nsr/nwaa272 (2020).
Wang, X., Ju, W., Wang, D., Li, X. & Wan, J. Flexible MA2Z4 (M = Mo, W; A = Si, Ge and Z = N, P, As) monolayers with outstanding mechanical, dynamical, electronic, and piezoelectric properties and anomalous dynamic polarization. Phys. Chem. Chem. Phys. 25, 18247–18258. (2023). https://doi.org/10.1039/D3CP01452E
Rezavand, A., Ghobadi, N. & Behnamghader, B. Electronic and spintronic properties of Janus MSi2PxAsy (M = Mo, W) monolayers. Phys. Rev. B 106. 035417. https://doi.org/10.1103/PhysRevB.106.035417 (2022).
Yadav, A., Kangsabanik, J., Singh, N. & Alam, A. Novel two-dimensional MA2N4 materials for photovoltaic and spintronic applications. J. Phys. Chem. Lett. 12. 10120–10127. https://doi.org/10.1021/acs.jpclett.1c02650 (2021).
Mortazavi, B. et al. Exceptional piezoelectricity, high thermal conductivity and stiffness and promising photocatalysis in two-dimensional MoSi2N4 family confirmed by first-principles. Nano Energy 82. 105716. https://doi.org/10.1016/j.nanoen.2020.105716 (2021).
Sheoran, S., Monga, S., Phutela, A. & Bhattacharya, S. Coupled spin-valley, Rashba effect, and hidden spin polarization in WSi2N4 family. J. Phys. Chem. Lett. 14. 1494–1503. https://doi.org/10.1021/acs.jpclett.2c03108 (2023).
Wang, L. et al. Intercalated architecture of MA2Z4 family layered Van Der Waals materials with emerging topological, magnetic and superconducting properties. Nat. Commun. 12. 2361. https://doi.org/10.1038/s41467-021-22324-8 (2021).
Perdew, J. P. et al. Atoms, molecules, solids, and surfaces: applications of the generalized gradient approximation for exchange and correlation. Phys. Rev. B 46. 6671. https://doi.org/10.1103/PhysRevB.46.6671 (1992).
Hafner, J. Ab-initio simulations of materials using VASP: density‐functional theory and beyond. J. Comput. Chem. 29. 2044–2078. https://doi.org/10.1002/jcc.21057 (2008).
Ernzerhof, M. & Scuseria, G. E. Assessment of the Perdew–Burke–Ernzerhof exchange-correlation functional. J. Chem. Phys. 110, 5029–5036. https://doi.org/10.1063/1.478401 (1999).
Krukau, A. V., Vydrov, O. A., Izmaylov, A. F. & Scuseria, G. E. Influence of the exchange screening parameter on the performance of screened hybrid functionals. J. Chem. Phys.125(22), 224106. https://doi.org/10.1063/1.2404663 (2006).
Monkhorst, H. J. & Pack, J. D. Special points for Brillouin-Zone integrations. Phys. Rev. B 13. 5188. https://doi.org/10.1103/PhysRevB.13.5188 (1976).
Ahma d, S. & Mukherjee, S. A comparative study of electronic properties of bulk MoS2 and its monolayer using DFT technique: application of mechanical strain on MoS2 monolayer. Graphene3, 52. https://doi.org/10.4236/graphene.2014.34008 (2014).
Guan, J., Zhu, Z. & Tománek, D. Phase coexistence and metal-insulator transition in few-layer phosphorene: a computational study. Phys. Rev. Lett. 113. 046804. https://doi.org/10.1103/PhysRevLett.113.046804 (2014).
Zhou, J. & Huang, R. Internal lattice relaxation of single-layer graphene under in-plane deformation. J. Mech. Phys. Solids. 56, 1609–1623. https://doi.org/10.1016/j.jmps.2007.07.013 (2008).
Thomas, S., Ajith, K. & Valsakumar, M. Directional anisotropy, finite size effect and elastic properties of hexagonal boron nitride. J. Phys. Condens. Mat. 28. 295302. https://doi.org/10.1088/0953-8984/28/29/295302 (2016).
Lee, C., Wei, X., Kysar, J. W. & Hone, J. Measurement of the elastic properties and intrinsic strength of monolayer graphene. Sci. 321. 385–388. https://doi.org/10.1126/science.1157996 (2008).
Liu, K. et al. Elastic properties of chemical-vapor-deposited monolayer MoS2, WS2, and their bilayer heterostructures. Nano Lett.14(9), 5097–5103. https://doi.org/10.1021/nl501793a (2014).
Peng, Q. & De, S. Outstanding mechanical properties of monolayer MoS2 and its application in elastic energy storage. Phys. Chem. Chem. Phys. 15. 19427–19437. https://doi.org/10.1039/C3CP52879K (2013).
Xiao, W. H. et al. High-mobility two-dimensional MA2N4 (M = Mo, W; A = Si, Ge) family for transistors. Phys. Rev. B 109. 115427. https://doi.org/10.1103/PhysRevB.109.115427 (2024).
He, J. et al. Exceptional and anisotropic transport properties of photocarriers in black phosphorus. ACS Nano,9, 6436–6442. https://doi.org/10.1021/acsnano.5b02104 (2015).
Acknowledgements
This work is supported by the National Natural Science Foundation of China (No. 11772285), Education Department of Hunan Province (No.22C0562) and the Applied Characteristic Disciplines of Electronic Science and Technology of Xiangnan University.
Author information
Authors and Affiliations
Contributions
Data curation: Yi Peng. Formal analysis: Yi Peng. Investigation: Yi Peng, Hongyan Tian, Mingjia Yao, Xuli Li, Xinyi Tang, Ju Jiao. Methodology: Yi Peng, Qianqian Zhu. Project administration: Yi Peng, Juexian Cao. Software: Yi Peng. Writing—original draft: Yi Peng. Writing—review & editing: Qianqian Zhu; Juexian Cao. Q.Q.Z provided the ideal essay and revised the manuscript. All authors reviewed the manuscript.
Corresponding author
Ethics declarations
Competing interests
The authors declare no competing interests.
Additional information
Publisher’s note
Springer Nature remains neutral with regard to jurisdictional claims in published maps and institutional affiliations.
Electronic supplementary material
Below is the link to the electronic supplementary material.
Rights and permissions
Open Access This article is licensed under a Creative Commons Attribution-NonCommercial-NoDerivatives 4.0 International License, which permits any non-commercial use, sharing, distribution and reproduction in any medium or format, as long as you give appropriate credit to the original author(s) and the source, provide a link to the Creative Commons licence, and indicate if you modified the licensed material. You do not have permission under this licence to share adapted material derived from this article or parts of it. The images or other third party material in this article are included in the article’s Creative Commons licence, unless indicated otherwise in a credit line to the material. If material is not included in the article’s Creative Commons licence and your intended use is not permitted by statutory regulation or exceeds the permitted use, you will need to obtain permission directly from the copyright holder. To view a copy of this licence, visit http://creativecommons.org/licenses/by-nc-nd/4.0/.
About this article
Cite this article
Peng, Y., Tian, H., Yao, M. et al. First-principles prediction of high carrier mobility for β-phase MX2N4 (M = Mo, W; X = Si, Ge) monolayers. Sci Rep 14, 22548 (2024). https://doi.org/10.1038/s41598-024-74256-0
Received:
Accepted:
Published:
Version of record:
DOI: https://doi.org/10.1038/s41598-024-74256-0
Keywords
This article is cited by
-
Enhanced long-range quadrupole effects in 2D MSi2N4: impacts on electric and thermal transport
npj Computational Materials (2025)








