Figure 4

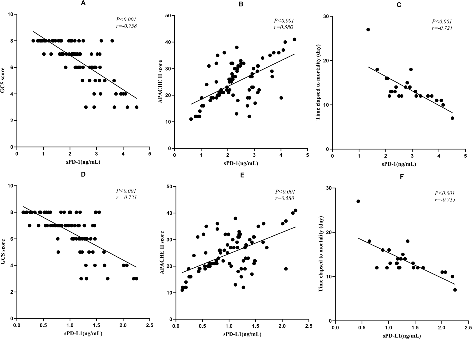
Correlation of sPD-1 and sPD-L1 levels with other variables. The levels of sPD-1 and sPD-L1 were correlated with the GCS scores at admission (A and D), APACHE II scores (B and E), and time elapsed to mortality (C and F).

Correlation of sPD-1 and sPD-L1 levels with other variables. The levels of sPD-1 and sPD-L1 were correlated with the GCS scores at admission (A and D), APACHE II scores (B and E), and time elapsed to mortality (C and F).