Fig. 3
From: How interpersonal distance varies throughout the lifespan

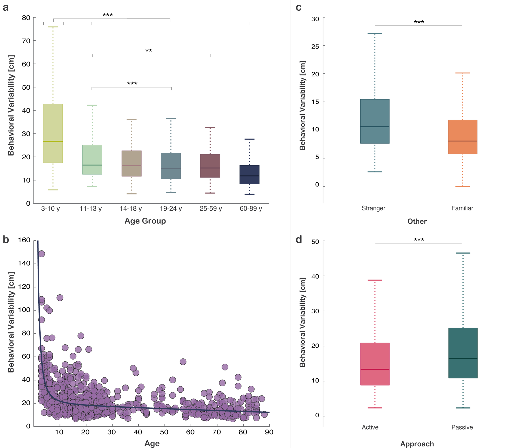
Behavioral Variability. (a) Behavioral Variability across different Age Groups; (b) Behavioral Variability as a function of age for each subject, together with the curve describing the best model fit (y = 351.6*1/(x2) – 0.08x + 19.15); (c) Behavioral Variability for Stranger and Familiar; (d) Behavioral Variability for Active and Passive Approach. Error bars represent 95% confidence intervals. Significant results are indicated by asterisks. ** = p < 0.01. *** = p < 0.001.