Abstract
Interpersonal Distance (IPD) is defined as the physical distance that individuals maintain between themselves and others during social interactions. While literature has extensively focused on this everyday social behavior, how IPD changes throughout the lifespan remains an open question. In this study, 864 participants, aged 3–89 years, performed the Stop Distance Paradigm in their real-life environments, and we measured the distance they kept from both familiar and unfamiliar others during social interactions. We found that IPD not only differs based on the identity of the other person (familiar versus unfamiliar) but critically declines as a function of age, following two distinct non-linear trends for familiar and unfamiliar others. Moreover, behavioral variability also undergoes a lifetime development, with IPD becoming more stable as age increases. Overall, the present study suggests that IPD is a complex and acquired behavior that changes throughout the lifespan and varies according to individual and situational variables.
Similar content being viewed by others
Introduction
Interpersonal Distance (IPD) is defined as the physical distance that individuals maintain between themselves and others during a social interaction1. Intrusion by others into this personal space can lead to discomfort2,3,4,5, thus individuals dynamically adjust the space around them to establish proxemic boundaries6 and ensure comfort and security during social intercourses3,4,7,8.
The regulation of personal space and proxemic boundaries stems from the complex interplay of individual differences and contextual variables9. For instance, individual social abilities, such as the capacity to understand and respond to social cues, play a significant role in regulating personal space10. Additionally, previous findings have emphasized how IPD varies according to contingent variables, such as the physical and cultural context in which individuals are immersed11,12, and the degree of familiarity among the individuals engaging in the social interaction3,13,14,15,16.
In his pioneering theorization, Hall (1966)3 stated that, on average, adult individuals maintain an IPD of 46–122 cm during everyday interactions with familiar others. Further studies have delved into the role of familiarity on IPD, showing that individuals maintain greater distances from unfamiliar compared to familiar others1,9,13,17,18. However, such studies employed either small samples in high-controlled and artificial experimental designs (i.e., computer monitors, virtual reality scenarios), or large samples within poorly controlled experimental designs. Therefore, current literature still lacks an updated and comprehensive grasp on the role of familiarity in regulating IPD during social interactions, especially across subjects of different age groups, in real-life environments.
Indeed, a wide body of research has proven IPD to be influenced by individuals’ life stage1,11,13,19,20,21,22. For example, Smetana and colleagues (1978)23 observed that 4-year-old children preferentially maintain an IPD of around 60 cm when interacting with their peers. Additional studies have shown that, between 6 and 16 years old, IPD increases with age24. Specifically, from 6 months to 5 years old, as age increases, children increase their distance with respect to their adult caretakers while decreasing it from playmates25. Nonetheless, while these pioneering studies recognize an age-related developmental trend, they mainly employed observational protocols.
On the other hand, studies on IPD within the adult population have yielded significant yet contrasting results. While some observational studies found young adults to prefer shorter IPD than middle-aged adults, and older adults to keep the greatest distances13,26,27, other investigations found that both young and older adults maintain closer distances compared to middle-aged individuals28. Hence, although numerous studies have investigated IPD in different age groups, no study so far has conducted a large-scale comparison of IPD preferences throughout the lifespan, involving a wide sample of subjects in real-life scenarios.
To our knowledge, Kennedy and colleagues (2009)8 were the first to suggest a comparison between IPD following a passive and an active approach to the interaction. While they found IPD to be greater when subjects actively moved closer to the experimenter (i.e., active approach), further investigations observed greater distances when subjects were passively approached by another individual (i.e., passive approach29,30). Nonetheless, these studies employed either a small sample of subjects or virtual reality scenarios, and current research still needs more detailed investigations on the matter.
Additionally, several studies have shown that neurodevelopmental disorders, such as Autism Spectrum Disorder (ASD) and anxiety disorders, can impact IPD. Specifically, research on ASD has examined how individuals perceive and manage personal space throughout their development, but findings are inconsistent15,31. This variability may be related to the heterogeneous nature of ASD that spans across a continuum extending from clinical to neurotypical populations32. More detailed research is needed to understand these differences and to explore the impact of autism-related traits also in the general population. In contrast, research on social anxiety disorder shows a consistent tendency for individuals to prefer larger interpersonal distances as to avoid discomfort during social interactions33. However, a comprehensive analysis of both conditions in a non-clinical population could provide a deeper understanding of their effects on IPD.
To address these issues, in the present study we collected IPD preferences across different age groups, from a wide sample of subjects ranging from 3 to 89 years old. The principal aim of the study was investigating how Interpersonal Distance varies as a function of age when interacting with unfamiliar and familiar others. In order to reach this goal, we implemented the Stop Distance Paradigm1,4,8,14,15,30,34,35,36 and measured IPD preferences after participants approached (Active Approach) or were approached (Passive Approach) by unfamiliar or familiar others, in their natural environments. Moreover, since previous studies have shown IPD to be affected by individual characteristics like neuropsychiatric disorders (e.g., Autism Spectrum Disorder14,15,37 and social anxiety33,38), we administered two questionnaires to investigate whether IPD is modulated by autism-related traits and social anxiety levels.
According to the existing literature, we hypothesized that Interpersonal Distance would vary throughout the lifespan. Specifically, we expected all age groups to keep greater distances from an unfamiliar (Stranger) compared to a familiar (Familiar) individual. Furthermore, consistent with previous findings, we predicted IPD to increase as a function of age. Moreover, in line with prior results29,30, we expected distances in the Passive Approach condition to be greater than in the Active Approach condition, among all age groups. Last, we hypothesized that individuals with more severe autistic traits and social anxiety levels would maintain greater distances, from both unfamiliar and familiar others.
Materials and methods
Participants
A total of 864 Italian participants ranging from 3 to 89 years old were recruited for this study (484 females and 380 males; Mage= 26.75, SD age= 22.62). Participants were divided into six age groups according to their age36: Children (age range 3–10; N = 160, 88 females and 72 males; Mage= 6.50, SD age= 2.29), Pre-Adolescents (age range 11–13; N = 150; 68 females and 82 males; Mage= 12.37, SD age= 0.69), Adolescents (age range 14–18; N = 134; 59 females and 75 males; Mage= 16.13, SD age= 1.44), Emerging Adults (age range 19–24; N = 141; 94 females and 47 males; Mage= 21.19, SD age= 1.74), Middle Adults (age range 25–59; N = 144; 76 females and 68 males; Mage= 36.49, SD age= 11.27), and Older Adults (age range 60–89; N = 135; 99 females and 36 males; Mage= 72.73, SD age= 7.14) (Fig. 1a). Furthermore, with our sample size, a post-hoc power analysis ensured a 99.99% statistical power to detect differences between experimental conditions (G*Power; version 3.1.9.7, Windows 64 bit39).
Participants were recruited voluntarily from local schools, academic institutions, and senior centers. The data collection began in October 2022 and concluded in October 2023, for a total duration of twelve months. Subjects with ambulation issues or impaired capacity for understanding and volition were excluded from the study a priori. All experimental subjects gave written informed consent to participate, which was approved by the University of Turin ethics committee and performed in accordance with the Declaration of Helsinki.
Procedure
Participants completed the Stop Distance Paradigm with both an unfamiliar (Stranger) and a familiar (Familiar) Other in their ecological environments. The role of Stranger was played by a confederate with whom participants had no history of previous interactions, while the Familiar was defined as an acquaintance with whom participants shared recurring interactions. The biological sex of the Stranger matched that of the Familiar. The ethnicity of both the Stranger and the Familiar matched that of the participants.
Participants were positioned 4 m away from the Other. According to the Stop Distance Paradigm, they were asked to alternatively approach (Active Approach) and be approached (Passive Approach) by the Other until reaching a distance where they felt comfortable for an interaction (Fig. 1b). Participants were explicitly instructed to envision a realistic interaction occurring during everyday life with the person in front of them. Each experimental subject completed the procedure five times for the Active Approach and five times for the Passive Approach, with both the Stranger and the Familiar Other. The order of the Other was counterbalanced across subjects. IPD was measured as the physical distance in cm between the tips of participants’ toes and those of the Other’s and assessed via a tape measure at the end of each trial.
After completing the procedure, participants were asked to fill two questionnaires (Autism Spectrum Quotient and Social Interaction Anxiety Scale) aimed at defining their social attitude profile.
Experimental variables. (a) Age Group: Age range, numerosity, and biological sex for each group; (b) Approach: Participants were positioned 4 m away from the Other, and were asked to alternatively approach (Active Approach) and be approached (Passive Approach) by the Other until reaching a comfortable distance for an interaction.
Questionnaires
Autism Spectrum Quotient - AQ
The adult Autism-Spectrum Quotient (AQ) is a 50-item self-report questionnaire that assesses traits typically associated with Autism Spectrum Disorder (ASD) in the adult population40. It includes items related to five domains: social skills [e.g. “I prefer to do things with others rather than on my own”], communication [e.g. “When I talk on the phone, I’m not sure when it’s my turn to speak”], attention switching [e.g. “I frequently get so strongly absorbed in one thing that I lose sight of other things”], attention to detail [e.g. “I am fascinated by numbers”], and imagination [e.g. “When I was young, I used to enjoy playing games involving pretending with other children”]. The items were to be rated on a four-point Likert scale. Total scores range from 0 to 50, with higher scores indicating more autism-related traits. In this study, we employed a translated and validated Italian version of the AQ questionnaire41.
Social Interaction Anxiety Scale - SIAS
The Social Interaction Anxiety Scale (SIAS) is a 20-item scale used to assess levels of fear and anxiety during social interactions [e.g. “I tense up if I meet an acquaintance in the street”], on a five-point Likert Scale42. In this study, we adopted a 19-item validated Italian version of the SIAS43. Total scores range from 0 to 76, with higher scores suggesting more severe levels of social anxiety. The original item 13 [“I have difficulty talking to attractive persons of the opposite sex”] was replaced with a more inclusive, gender-neutral option [i.e., “I have difficulty talking to attractive persons”].
Data analysis
Interpersonal Distance
To investigate how individuals belonging to different age groups regulate their Interpersonal Distance when approaching or being approached by either a familiar or an unfamiliar individual, we ran a three-way mixed-factor ANOVA on Interpersonal Distance with Other (Stranger vs. Familiar) and Approach (Active vs. Passive) as within-subject factors and Age Group (Children, Pre-Adolescents, Adolescents, Emerging Adults, Middle Adults, Older Adults) as between-subject factor. Additionally, to further test the relationship between age and Interpersonal Distance, we fit linear, quadratic, and inverse-quadratic models within our data and determined the models that best explained our data trends according to the Bayesian Information Criterion (BIC). All post-hoc analyses following significant main effects and interactions were performed by running two-tailed pairwise t-tests, and multiple comparisons were corrected using Bonferroni Correction. All p-values < 0.05 were considered significant. Statistical analyses were run on SPSS (Statistical Package for Social Science, version 29.0.1.0) and MATLAB r2023a.
Behavioral Variability
To assess whether individuals of different age groups are consistent in their Interpersonal Distance preferences when approaching or being approached by an unfamiliar and a familiar other, we ran a three-way mixed-factor ANOVA on Behavioral Variability with Other (Stranger vs. Familiar) and Approach (Active vs. Passive) as within-subject factors, and Age Group (Children, Pre-Adolescents, Adolescents, Emerging Adults, Middle Adults, Older Adults) as between-subject factor. Behavioral Variability was quantified as the standard deviation of Interpersonal Distance data points for each condition within each subject. Furthermore, to quantify developmental trends in Behavioral Variability, we fit linear, quadratic, and inverse quadratic models within our data and determined the models that best explained our data trends according to the Bayesian Information Criterion (BIC). All post-hoc analyses following significant main effects and interactions were performed by running two-tailed pairwise t-tests, and multiple comparisons were corrected using Bonferroni Correction. All p-values < 0.05 were considered significant. Statistical analyses were run on SPSS (Statistical Package for Social Science, version 29.0.1.0) and MATLAB r2023a.
Relation between Interpersonal Distance and Behavioral Variability
Last, to further investigate the relationship between individuals’ Interpersonal Distance and Behavioral Variability across the lifespan, we conducted a linear regression between these two variables. To investigate whether the relation between these two variables changes within each Age Group, we performed separate linear regressions. We next computed a bootstrap procedure with 1000 repetitions to contrast the regression slopes of pairs of Age Group subsets. Multiple comparisons were corrected using False Discovery Rate (FDR)44. Statistical analyses were run on MATLAB r2023a.
Questionnaires
To investigate how individuals’ social profile affects Interpersonal Distance preferences, we computed four bivariate correlations between individual scores to the AQ and SIAS questionnaires (i.e., AQ Score and SIAS Score), and Interpersonal Distance with Stranger and Familiar. Statistical analyses were run on SPSS (Statistical Package for Social Science, version 29.0.1.0) and MATLAB r2023a.
Results
Interpersonal Distance
First, we analyzed how Interpersonal Distance varies within different Age Groups (Children, Pre-Adolescents, Adolescents, Emerging Adults, Middle Adults, Older Adults) as a function of both the identity of the Other (Stranger vs. Familiar) and the type of Approach (Active vs. Passive). The three-way mixed-factor ANOVA on Interpersonal Distance yielded a significant main effect of Age Group [F(5, 858) = 56.66, p < 0.001, η2p = 0.25; Fig. 2a], suggesting that individuals of different ages differ in their Interpersonal Distance preferences. Also, the three-way mixed-factor ANOVA yielded a significant main effect of Other [F(1, 858) = 548.00, p < 0.001, η2p = 0.40; Fig. 2b], indicating that individuals maintain greater distances with an unfamiliar compared to a familiar other, and a significant main effect of Approach [F(1, 858) = 72.83, p < 0.001, η2p = 0.08; Fig. 2c], suggesting that individuals maintain shorter distances when they approach someone, compared to when someone looms towards them. Additionally, a significant interaction Other*Age Group [F(5, 858) = 6.68, p < 0.001, η2p = 0.04; Fig. 2d-e] emerged, suggesting that age-related variations in Interpersonal Distance differ depending on the identity of the Other. To better characterize these effects, we fitted different models to our data. We found that an inverse-quadratic model best explained age-related changes of Interpersonal Distance with a Stranger (BIC = 8.55e + 03), suggesting that Interpersonal Distance preferences with an unfamiliar individual decline as a function of age, with a steeper decrease during the early stages of life (inset Fig. 2d). Conversely, we found that a quadratic model best explained age-related changes of Interpersonal Distance with a Familiar (BIC = 8.24e + 03), indicating that the distance kept from a familiar individual gradually diminishes as a function of age and then exhibits a slight rebound in the later stages of life, following a u-shape trend (inset Fig. 2e). Also, the three-way mixed-factors ANOVA revealed a significant interaction Approach*Age Group [F(5, 858) = 6.51, p < 0.001, η2p = 0.04] indicating that the difference between the type of Approach varies depending on age. Lastly, a significant interaction Other*Approach [F(1, 858) = 21.69, p < 0.001, η2p = 0.03] suggested that individuals vary their Interpersonal Distance according to both the identity of the Other and the type of Approach. For post-hoc comparisons and non-significant effects see Supplementary Results. Additionally, to control for potential sex differences in Interpersonal Distance preferences among different age groups, we added Biological Sex as a between-subject factor in all our previous analyses and found no significant interaction between Age Group and Biological Sex. Results regarding the role of sex differences in Interpersonal Distance are thoroughly described in the Supplementary Results.
Interpersonal Distance. (a) Interpersonal Distance across different Age Groups; (b) Interpersonal Distance with Stranger and Familiar; (c) Interpersonal Distance with Active and Passive Approach; (d) Mean Interpersonal Distance with a Stranger across different Age Groups. The inset shows Interpersonal Distance as a function of age for each subject, together with the curve describing the best model fit (y = 478.1*1/(x2) – 0.43x + 79.13) for a Stranger Other; (e) Mean Interpersonal Distance with a Familiar across different Age Groups. The inset shows Interpersonal Distance as a function of age for each subject, together with the curve describing the best model fit (y = 0.03 × 2 – 2.54x + 84.15) for a Familiar Other. Error bars represent 95% confidence intervals. Significant results are indicated by asterisks * = p < 0.05. *** = p < 0.001.
Behavioral Variability
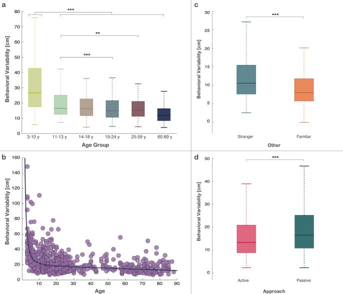
Next, we investigated whether individuals of different Age Group (Children, Pre-Adolescents, Adolescents, Emerging Adults, Middle Adults, Older Adults) were consistent in their Interpersonal Distance preferences when interacting with either a Stranger or a Familiar Other, after an Active and Passive Approach. The three-way mixed-factor ANOVA on Behavioral Variability yielded a significant main effect of Age Group [F(5, 858) = 93.64, p < 0.001, η2p = 0.35; Fig. 3a], suggesting that Behavioral Variability varies as a function of age. To better characterize this effect, we fitted different models to the Behavioral Variability data. Notably, we found that an inverse-quadratic model best fitted the relationship between age and Behavioral Variability (BIC = 6.92e + 03), indicating that individuals become more consistent in their Interpersonal Distance preferences as a function of age, with a steeper decrease during early stages of life (Fig. 3b). Also, a significant main effect of Other [F(1, 858) = 66.43, p < 0.001, η2p = 0.07; Fig. 3c] emerged, indicating that individuals show greater variability when interacting with a Stranger compared to a Familiar Other, and a significant main effect of Approach [F(1, 858) = 56.09, p < 0.001, η2p = 0.06; Fig. 3d], suggesting that individuals show more variability in their Interpersonal Distance preferences during the Passive Approach compared to the Active Approach. Also, a significant interaction Approach*Age Group [F(5, 858) = 7.46, p < 0.001, η2p = 0.04] emerged, revealing that individuals of different age groups show differences in Behavioral Variability between Active Approach and Passive Approach. For post-hoc comparisons and non-significant effects see Supplementary Results.
Behavioral Variability. (a) Behavioral Variability across different Age Groups; (b) Behavioral Variability as a function of age for each subject, together with the curve describing the best model fit (y = 351.6*1/(x2) – 0.08x + 19.15); (c) Behavioral Variability for Stranger and Familiar; (d) Behavioral Variability for Active and Passive Approach. Error bars represent 95% confidence intervals. Significant results are indicated by asterisks. ** = p < 0.01. *** = p < 0.001.
Relation between Interpersonal Distance and Behavioral Variability
Taken together, our findings so far highlight that not only do younger individuals keep greater distances when interacting with others, but they also exhibit greater variability in their distance preferences, with the age increase resulting in a decline in both tendencies according to a non-linear trend. To further investigate the relationship between individuals’ Interpersonal Distance and Behavioral Variability across the lifespan, we conducted a linear regression between Interpersonal Distance and Behavioral Variability. We found Behavioral Variability to vary significantly as a function of Interpersonal Distance [F(1, 862) = 423.17, p < 0.001], suggesting the presence of a linear relation between the distance that individuals maintain from others, and the variability of their Interpersonal Distance preferences. Interestingly, we found linear regressions to be significant within each Age Group (all ps < 0.001), but regression slopes to change across the different age groups. Specifically, we found Children to show a greater regression slope compared to all the other age groups (all ps < 0.05), and Pre-Adolescents to show a greater regression slope compared to all the older age groups (all ps < 0.05), except for Adolescents (p > 0.05), suggesting that, in early stages of life, individuals who maintain greater distances from others also exhibit more inconsistent behavior (Fig. 4).
Relation between Interpersonal Distance and Behavioral Variability. Linear regression analyses between Interpersonal Distance (on the x axis) and Behavioral Variability (on the y axis) within each Age Group. The slopes of the lines indicate positive linear relations, and the dots represent the mean values for each subject.
Questionnaires
As we were interested in investigating how individuals’ social profile affected Interpersonal Distance, we computed two Pearson correlations (one for Familiar and one for Stranger) between AQ (n = 363) and Interpersonal Distance, and two Pearson correlations (one for Familiar and one for Stranger) between SIAS (n = 365) and Interpersonal Distance. We found significant positive correlations between AQ scores and Interpersonal Distance with both Stranger [r = 0.22, r2 = 0.05, p = 0.005; Fig. 5a] and Familiar [r = 0.22, r2 = 0.05, p = 0.005; Fig. 5b], suggesting that individuals with more severe autistic traits maintain greater distances from both unfamiliar and familiar individuals during a social interaction. We also found significant positive correlations between SIAS scores and Interpersonal Distance with both Stranger [r = 0.22, r2 = 0.05, p = 0.005; Fig. 5c] and Familiar [r = 0.15, r2 = 0.02, p = 0.01; Fig. 5d], indicating that individuals with more severe levels of social anxiety in general keep greater distances from others during social interactions.
Questionnaires Correlations. (a) Correlation between AQ Scores and Interpersonal Distance with Stranger; (b) Correlation between AQ Scores and Interpersonal Distance with Familiar; (c) Correlation between SIAS scores and Interpersonal Distance with Stranger; (d) Correlation between SIAS scores and Interpersonal Distance with Familiar. The slopes of the lines indicate positive Pearson correlations, and the dots represent values for each subject.
Discussions
In the present study, we aimed to investigate how Interpersonal Distance varies as a function of age when interacting with unfamiliar and familiar others. Overall, our results show that Interpersonal Distance changes throughout the lifespan, with individuals of all ages maintaining greater distances from unfamiliar compared to familiar others. However, contrary to our hypothesis and previous literature, our results revealed Interpersonal Distance to diminish as a function of age, and that such decrease is different depending on the other’s identity. Furthermore, we discovered that individuals maintain greater distances when being approached than when actively approaching others and that this effect is present only within the first stages of life. Remarkably, our results showed that not only Interpersonal Distance declines as a function of age but also behavioral variability changes throughout the lifespan, with Interpersonal Distance preferences becoming more stable as individuals grow older. Last, we found that Interpersonal Distance is shaped by individual profiles in terms of autism-related traits and social anxiety levels.
Our results mainly indicate that Interpersonal Distance decreases as a function of age and that individuals maintain greater distances to unfamiliar compared to familiar individuals, within all stages of life. Human life revolves around social interactions, and social categorization represents a core component of human cognition that allows for the efficient identification of others as own-group or other-group members45. Indeed, from the very early stages of life, the ability to discern between unfamiliar and familiar others represents a pivotal feature of human existence46,47, and previous studies have demonstrated humans’ differentiated responses to unfamiliar and familiar others at either the behavioral48,49, physiological49,50 and neural51,52 levels. The present study adds a novel contribution to the existing literature by revealing the presence of different preferences in terms of Interpersonal Distance throughout the lifespan when interacting with either a stranger or a familiar other.
Moreover, in contrast with our expectations and previous literature13, we found Interpersonal Distance to decline across the lifespan. Notably, our results highlight the existence of two different developmental tendencies in Interpersonal Distance when dealing with an unfamiliar and a familiar other. Specifically, distances with strangers follow a non-linear decline as a function of age, with distances progressively decreasing from childhood to late adulthood and with a steady decrease during the first years of life. Conversely, when interacting with a familiar other, we observed the occurrence of a stepped decline, with Interpersonal Distance abruptly decreasing from pre-adolescence to adolescence, and remaining stable until late adulthood. Interestingly, we also observed a slight rebound in the elderly group. This tendency can be explained by the heightened sense of vulnerability perceived by older individuals due to a reduction in sensory perception, which can negatively impact their ability to respond to relevant environmental and social stimuli22. Therefore, given that personal space inherently serves as an unconscious zone of protection27, it is plausible that older individuals may show a tendency to slightly enlarge their personal space, maintaining greater distances even with familiar individuals.
In the present study, we explored how two different types of daily approaches to social intercourses affect Interpersonal Distance. Specifically, we compared Interpersonal Distance preferences after individuals either approached or were approached by another individual. We found that individuals maintain greater distances when someone looms towards them for an interaction, compared to when they actively move closer to their interlocutor. Iachini and colleagues (2014)30 suggested that, when dealing with social situations that are not actively under their control, individuals feel more comfortable at larger distances, to mitigate the unpredictability of a potentially threatening situation. Overall, our findings support this idea. However, we found that such an effect only exists during the early stages of life (i.e., from childhood to early adulthood), and tends to vanish from late adulthood onward. A recent study by De Lillo and Ferguson (2023)53 has demonstrated that the ability to infer others’ beliefs and intentions linearly increases from adolescence to older adulthood. We speculate that the difference between passive and active approaches within the first stages of life may be ascribed to such not fully developed ability to infer and predict others’ behavior, which may hinder the predictability of social interactions in younger individuals, thus leading them to maintain greater distances in passive approach situations.
Remarkably, we also observed a decline in behavioral variability over age, depicting younger individuals to exhibit greater behavioral variability compared to older individuals, with Interpersonal Distance preferences becoming more stable as age increases. To our knowledge, no study so far has shed light on the development of the individual variability of such behavior throughout the lifespan. Social cognition undergoes a process of maturation across the lifespan, with social cognitive domains (e.g., social perception, Theory of Mind, emotion regulation, social behavior) developing and consolidating during the lifetime, at both the neural and behavioral level53,53,54,55,56,57. Notably, during the first years of life, children develop social skills through interactions with parents and family members, and later begin to employ them outside their domestic context, as their involvement with peers increases58. Therefore, the acquisition and stabilization of social skills go through a particularly sensitive period that lasts until the elementary school years, where children’s relational world progressively becomes more complex and pivotal59. Thus, it is likely that the observed inconsistency in the behavior of the youngest may reflect the critical evolutionary challenges that characterize this fragile time window as well.
Crucially, we also found that behavioral variability is greater in passive compared to active approach conditions only in the early stages of life (i.e., in children and pre-adolescents), providing further evidence of younger individuals being generally less consistent and stable than the older age groups. Collectively, we speculate that the observed stabilization of individual preferences throughout the lifespan may reflect the maturation of social cognition along with the consolidation of individuals’ social preferences and behaviors.
Interestingly, our study also shed light on the impact of individual characteristics, namely autism-related traits and social anxiety, on Interpersonal Distance. As previously mentioned, although extensive research on this important topic exists, findings on personal space regulation in ASD are still inconsistent. While some authors have reported that ASD individuals are more inclined to maintain closer proximity to others than what is commonly observed in typical development subjects31,60, other studies have observed the opposite pattern where ASD individuals tend to avoid social contact and maintain greater Interpersonal Distance from others15. Our results add a further contribution to the existing literature by showing that more severe autism-related traits are associated with greater Interpersonal Distance also in the non-clinical population. We also expanded existing literature on Interpersonal Distance and social anxiety33, by showing that individuals with higher levels of social anxiety also maintain greater Interpersonal Distances with both unfamiliar and familiar others.
It is important to acknowledge some of the main limitations of our study and consider potential avenues for future research. First, to enhance the ecology of our study, the age of Familiar Other was not experimentally controlled. Indeed, for the earlier stages of life (i.e., Children and Pre-Adolescents) an educational figure (e.g., a teacher) played the role of Familiar, while from high school onwards (i.e., Adolescents), participants were free to choose their Familiar. On the contrary, we kept the age of the Stranger Other constant (Mage= 26.2, SD age= 2.70). Future studies should replicate our paradigm and match the age of the Other (Stranger and Familiar) with that of the participants, to better compare Interpersonal Distance with peers and non-peer individuals. Second, since our sample was composed entirely of Italian participants, future studies should explore the role of ethnical differences in modulating social interactions, specifically during tasks involving Interpersonal Distance61. Third, in our study we investigated the impact of the individuals’ social profile on Interpersonal Distance, in terms of autism-related traits and social anxiety levels. However, additional individual differences and personality traits can impact individuals’ openness to others, and their Interpersonal Distance regulation. For instance, previous studies have demonstrated that individuals with secure attachment styles often feel more comfortable with closer proximity, while those with insecure attachment styles might prefer to maintain greater distances62. Future studies should consider measuring social bonding between participants and their familiar others by means of ad-hoc questionnaires and interviews, such as the Adult Attachment Interview (AAI;63), or the Parental Bonding Instrument (PBI;64,65). Additionally, although our study involved a non-clinical, healthy population, we did not account for possible mild cognitive impairments in the Older Adults group. Therefore, given that some subjects with dementia also present behaviors indicative of personal space invasion66, future studies should use a clinical exclusion criterion (e.g. MMSE67) and make a controlled comparison in the elderly population between healthy, mild cognitive impairment, and dementia individuals. Furthermore, since in the older age group sensorial and mobility capabilities may be impaired, future analyses should better investigate how these sensory-motor components may impact Interpersonal Distance in the elderlies. Finally, integrating brain measures (e.g., functional Near-Infrared Spectroscopy, fNIRS) or physiological indicators (e.g., Electrocardiogram, Skin Conductance Response) during the Stop Distance Paradigm could uncover neural and physiological correlates of interpersonal space regulation. It would be also interesting for future studies to explore the role of synchronization within dyads (e.g., co-parenting couples68), with a specific focus on Interpersonal Distance, as to unveil the behavioral and neurophysiological underpinnings of dyadic synchronization during the Stop Distance Paradigm. Last, future research should explore the use of Bluetooth or infrared devices to detect Interpersonal Distance which could avoid possible influences due to the near presence of the experimenter and therefore enhance the ecological validity of the findings.
In conclusion, our findings reveal that not only preferred Interpersonal Distance among individuals varies according to the identity of the interacting person, but also that both Interpersonal Distance and behavioral variability change throughout the lifespan according to age. Collectively, our results suggest that Interpersonal Distance is an acquired behavior that exhibits flexibility and adaptability throughout the lifespan, dynamically changing according to individual and situational variables.
Data availability
The data that support the findings of this study are available from the corresponding author upon reasonable request.
References
Aiello, J. R. Human spatial behavior. Handbook of environmental psychology 1, 389–504 (1987).
Candini, M., Battaglia, S., Benassi, M., Di Pellegrino, G. & Frassinetti, F. The physiological correlates of interpersonal space. Sci. Rep. 11, 2611 (2021).
Hall, E. The hidden dimension. New York, NY, US. (1966).
Hayduk, L. A. Personal space: Where we now stand. Psychol. Bull. 94, 293–335 (1983).
Welsch, R., von Castell, C. Hecht, H. The anisotropy of personal space. PLoS ONE 14, e0217587 (2019).
Lloyd, D. M. The space between us: A neurophilosophical framework for the investigation of human interpersonal space. Neurosci. Biobehav. Rev. 33, 297–304 (2009).
Holt, D. J. et al. Neural Correlates of Personal Space Intrusion. J. Neurosci. 34, 4123–4134 (2014).
Kennedy, D. P., Gläscher, J., Tyszka, J. M. & Adolphs, R. Personal space regulation by the human amygdala. Nat. Neurosci. 12, 1226–1227 (2009).
Cristani, M. et al. Towards computational proxemics: inferring social relations from interpersonal Distances. in 2011 IEEE Third International Conference on Privacy, Security, Risk and Trust and 2011 IEEE Third International Conference on Social Computing 290–297 (2011).
Frith, C. D. & Frith, U. Mechanisms of social cognition. Annu Rev Psychol. 63, 287–313 (2012).
Ozdemir, A. Shopping Malls: Measuring Interpersonal Distance under Changing Conditions and across Cultures. Field Methods 20, 226–248 (2008).
Sorokowska, A. et al. Preferred Interpersonal Distances: A Global Comparison. J. Cross-Cult. Psychol. 48, 577–592 (2017).
Burgess, J. W. Developmental trends in proxemic spacing behavior between surrounding companions and strangers in casual groups. J. Nonverbal Behav. 7, 158–169 (1983).
Candini, M. et al. Personal space regulation in childhood autism: Effects of social interaction and person’s perspective. Autism Res. 10, 144–154 (2017).
Gessaroli, E., Santelli, E., Di Pellegrino, G. & Frassinetti, F. Personal Space Regulation in Childhood Autism Spectrum Disorders. PLoS ONE 8, e74959 (2013).
Sommer, R. Personal space in a digital age. in Handbook of environmental psychology 647–660 (John Wiley & Sons, Inc., Hoboken, NJ, US, 2002).
Evans, G. W. & Howard, R. B. Personal space. Psychol. Bull. 80, 334–344 (1973).
Lough, E., Flynn, E. & Riby, D. M. Personal Space Regulation in Williams Syndrome: The Effect of Familiarity. J Autism Dev Disord. 46, 3207–3215 (2016).
Bar-Haim, Y., Aviezer, O., Berson, Y. & Sagi, A. Attachment in infancy and personal space regulation in early adolescence. Attach. Hum. Dev. 4, 68–83 (2002).
Gérin-Lajoie, M., Richards, C. L. & McFadyen, B. J. The circumvention of obstacles during walking in different environmental contexts: A comparison between older and younger adults. Gait Posture 24, 364–369 (2006).
Rapp, M. A. & Gutzmann, H. Invasions of personal space in demented and nondemented elderly persons. Int Psychogeriatr 12, 345–352 (2000).
Webb, J. D. & Weber, M. J. Influence of Sensory Abilities on the Interpersonal Distance of the Elderly. Environ. Behav. 35, 695–711 (2003).
Smetana, J., Bridgeman, D. L. & Bridgeman, B. A Field Study of Interpersonal Distance in Early Childhood. Pers. Soc. Psychol. Bull. 4, 309–313 (1978).
Aiello, J. R. & De Carlo Aiello, T. The development of personal space: Proxemic behavior of children 6 through 16. Hum. Ecol. 2, 177–189 (1974).
Burgess, J. W. & McMurphy, D. The development of proxemic spacing behavior: children’s distances to surrounding playmates and adults change between 6 months and 5 years of age. Dev. Psychobiol. 15, 557–567 (1982).
Leibman, M. The Effects of Sex and Race Norms On Personal Space. Environ. Behav. 2, 208–246 (1970).
Winogrond, I. R. A Comparison of Interpersonal Distancing Behavior in Young and Elderly Adults. Int. J. Aging Hum. Dev. 13, 53–60 (1981).
Heshka, S. & Nelson, Y. Interpersonal Speaking Distance as a Function of Age, Sex, and Relationship. Sociometry 35, 491–498 (1972).
Fusaro, M., Fanti, V. & Chakrabarti, B. Greater interpersonal distance in adults with autism. Autism Res. 16, 2002–2007 (2023).
Iachini, T., Coello, Y., Frassinetti, F. & Ruggiero, G. Body Space in Social Interactions: A Comparison of Reaching and Comfort Distance in Immersive Virtual Reality. PLoS ONE 9, e111511 (2014).
Kennedy, D. P. & Adolphs, R. Violations of personal space by individuals with autism spectrum disorder. PLoS ONE 9, e103369 (2014).
Masi, A., DeMayo, M. M., Glozier, N. & Guastella, A. J. An Overview of Autism Spectrum Disorder, Heterogeneity and Treatment Options. Neurosci. Bull. 33, 183–193 (2017).
Perry, A., Rubinsten, O., Peled, L. & Shamay-Tsoory, S. G. Don’t stand so close to me: A behavioral and ERP study of preferred interpersonal distance. NeuroImage 83, 761–769 (2013).
Dosey, M. A. & Meisels, M. Personal space and self-protection. J. Personal. Soc. Psychol. 11, 93–97 (1969).
Patané, I., Farnè, A. & Frassinetti, F. Cooperative tool-use reveals peripersonal and interpersonal spaces are dissociable. Cognition 166, 13–22 (2017).
Pellencin, E., Paladino, M. P., Herbelin, B. & Serino, A. Social perception of others shapes one’s own multisensory peripersonal space. Cortex 104, 163–179 (2018).
Asada, K. et al. Reduced Personal Space in Individuals with Autism Spectrum Disorder. PLoS ONE 11, e0146306 (2016).
Givon-Benjio, N., Oren-Yagoda, R., Aderka, I. M. & Okon-Singer, H. Biased distance estimation in social anxiety disorder: A new avenue for understanding avoidance behavior. Depression Anxiety 37, 1243–1252 (2020).
Faul, F., Erdfelder, E., Lang, A.-G. & Buchner, A. G*Power 3: A flexible statistical power analysis program for the social, behavioral, and biomedical sciences. Behav. Res Methods 39, 175–191 (2007).
Baron-Cohen, S., Wheelwright, S., Skinner, R., Martin, J. & Clubley, E. The Autism-Spectrum Quotient (AQ): Evidence from Asperger Syndrome/High-Functioning Autism, Males and Females, Scientists and Mathematicians. J. Autism Dev. Disord. 31, 5–17 (2001).
Ruta, L., Mazzone, D., Mazzone, L., Wheelwright, S. & Baron-Cohen, S. The Autism-Spectrum Quotient—Italian Version: A Cross-Cultural Confirmation of the Broader Autism Phenotype. J. Autism Dev. Disord. 42, 625–633 (2012).
Mattick, R. P. & Clarke, J. C. Development and validation of measures of social phobia scrutiny fear and social interaction anxiety. Behav. Res. Ther. 36, 455–470 (1998).
Sica, C. et al. Social Phobia Scale (SPS) e Social Interaction Anxiety Scale (SIAS): traduzione ed adattamento italiano. (Social Phobia Scale (SPS) and Social Interaction Anxiety Scale (SIAS): theit psycometric properties on italian population). Bollettino di psicologia applicata 59–71 (2007).
Benjamini, Y. & Hochberg, Y. Controlling the False Discovery Rate: A Practical and Powerful Approach to Multiple Testing. J. R. Stat. Soc.: Ser. B (Methodological) 57, 289–300 (1995).
Macrae, C. N. & Bodenhausen, G. V. Social Cognition: Thinking Categorically about Others. Ann. Rev. Psychol. 51, 93–120 (2000).
Liberman, Z., Woodward, A. L. & Kinzler, K. D. The Origins of Social Categorization. Trends Cogn. Sci. 21, 556–568 (2017).
Rhodes, M. & Baron, A. The Development of Social Categorization. Annu. Rev. Dev. Psychol. 1, 359–386 (2019).
Ennis, E., Vrij, A. & Chance, C. Individual differences and lying in everyday life. J. Soc. Person. Relationsh. 25, 105–118 (2008).
Peng, M., Chang, L. & Zhou, R. Physiological and behavioral responses to strangers compared to friends as a source of disgust. Evol. Hum. Behav. 34, 94–98 (2013).
Mazza, A. et al. Hedonic and autonomic responses in promoting affective touch. Sci. Rep. 13, 11201 (2023).
Li, M. et al. Interpersonal distance modulates the influence of social observation on prosocial behaviour: An event-related potential (ERP) study. Int. J. Psychophysiol. 176, 108–116 (2022).
Meyer, M. L. et al. Empathy for the social suffering of friends and strangers recruits distinct patterns of brain activation. Soc. Cogn. Affect. Neurosci. 8, 446–454 (2013).
De Lillo, M. & Ferguson, H. J. Perspective-taking and social inferences in adolescents, young adults, and older adults. J. Exp. Psychol. Gen. 152, 1420–1438 (2023).
Grainger, T. et al. An Empiricist’s Guide to Using Ecological Theory. Am. Nat. 199, (2022).
Kilford, E. J., Garrett, E. & Blakemore, S.-J. The development of social cognition in adolescence: An integrated perspective. Neurosci. Biobehav. Rev. 70, 106–120 (2016).
Moran, J. M. Lifespan development: The effects of typical aging on theory of mind. Behav. Brain Res. 237, 32–40 (2013).
Roheger, M. et al. Progression of socio-cognitive impairment from healthy aging to Alzheimer’s dementia: A systematic review and meta-analysis. Neurosci. Biobehav. Rev. 140, 104796 (2022).
Kingery, J. N., Erdley, C. A. & Scarpulla, E. Developing social skills. in Social skills across the life span: Theory, assessment, and intervention 25–45 (Elsevier Academic Press, San Diego, CA, US, 2020).
Bukowski, W. M., Buhrmester, D. & Underwood, M. K. Peer relations as a developmental context. in Social development: Relationships in infancy, childhood, and adolescence 153–179 (The Guilford Press, New York, NY, US, 2011).
Parsons, S., Mitchell, P. & Leonard, A. The use and understanding of virtual environments by adolescents with autistic spectrum disorders. J. Autism Dev. Disord. 34, 449–466 (2004).
Neoh, M. J. Y. et al. A cross-cultural study of the effect of parental bonding on the perception and response to criticism in Singapore, Italy and USA. PLoS ONE 16, e0257888 (2021).
Akbarian, H., Mazaheri, M. A., Zabihzadeh, A. & Green, J. Attachment-related anxiety and avoidance and regulation of interpersonal distance in close relationships. Curr. Psychol. 41, (2022).
George, C., Main, M. & Kaplan, N. Adult attachment interview. Interpersonal: An International Journal on Personal Relationships., (1996).
Parker, G., Tupling, H. & Brown, L. B. A parental bonding instrument. Br. J. Med. Psychol. 52, 1–10 (1979).
Scinto, A., Marinangeli, M. G., Kalyvoka, A., Daneluzzo, E. & Rossi, A. The use of the Italian version of the Parental Bonding Instrument (PBI) in a clinical sample and in a student group: an exploratory and confirmatory factor analysis study. Epidemiol. Psychiatr. Sci. 8, 276–283 (1999).
Perry, A. et al. The role of the orbitofrontal cortex in regulation of interpersonal space: evidence from frontal lesion and frontotemporal dementia patients. Soc. Cogn. Affect. Neurosci. 11, 1894–1901 (2016).
Folstein, M. F., Folstein, S. E. & McHugh, P. R. “Mini-mental state”: A practical method for grading the cognitive state of patients for the clinician. J. Psychiatr. Res. 12, 189–198 (1975).
Azhari, A. et al. Physical presence of spouse enhances brain-to-brain synchrony in co-parenting couples. Sci. Rep. 10, 7569 (2020).
Acknowledgements
We heartfelt thank every participant involved in this study alongside the organizations distributed throughout the territory that supported this study with a special acknowledgment to ‘Istituto Comprensivo Statale “Niccolò Tommaseo” - Torino’, ‘Associazione Unitre Università delle tre Età di Fossano’, ‘Asilo Nel Bosco Pianfei’ and ‘Scuoletta Montessori Orbassano’. Also, we would like to thank Giada Cordoni, Monica Mazza, Alessandro Vicario, Silvia Russo, Alessandro Dell’Anna, Ivan Ferrari and Giovanni Barbero for their help in recruiting experimental subjects. Finally, we want to thank Emanuele Piccione, Marta Campagnola, Francesco Campaci, Giorgia Ferrero, Federico Di Bono, and Rosy Bolognesi for their contribution to data collection. This research was supported by MIUR (DALO_RILO_20_01) and Fondazione Compagnia San Paolo (DALO_TRAPEZIO_22_01).
Author information
Authors and Affiliations
Contributions
I.M., G.B., and O.D.M. designed the study, I.M., G.B., F.C., G.R.C., A.V., M.C., L.D.F performed the experiment, I.M., A.M., analyzed the data, and I.M., G.B., A.M. and O.D.M. wrote the paper. All authors reviewed the manuscript.
Corresponding author
Ethics declarations
Ethics approval
This research complies with the Declaration of Helsinki (2023), aside from the requirement to preregister human subjects research, and received approval from the University of Turinethics board (ID: 0183596).
Competing interests
The authors declare no competing interests.
Additional information
Publisher’s note
Springer Nature remains neutral with regard to jurisdictional claims in published maps and institutional affiliations.
Electronic supplementary material
Below is the link to the electronic supplementary material.
Rights and permissions
Open Access This article is licensed under a Creative Commons Attribution-NonCommercial-NoDerivatives 4.0 International License, which permits any non-commercial use, sharing, distribution and reproduction in any medium or format, as long as you give appropriate credit to the original author(s) and the source, provide a link to the Creative Commons licence, and indicate if you modified the licensed material. You do not have permission under this licence to share adapted material derived from this article or parts of it. The images or other third party material in this article are included in the article’s Creative Commons licence, unless indicated otherwise in a credit line to the material. If material is not included in the article’s Creative Commons licence and your intended use is not permitted by statutory regulation or exceeds the permitted use, you will need to obtain permission directly from the copyright holder. To view a copy of this licence, visit http://creativecommons.org/licenses/by-nc-nd/4.0/.
About this article
Cite this article
Mirlisenna, I., Bonino, G., Mazza, A. et al. How interpersonal distance varies throughout the lifespan. Sci Rep 14, 25439 (2024). https://doi.org/10.1038/s41598-024-74532-z
Received:
Accepted:
Published:
Version of record:
DOI: https://doi.org/10.1038/s41598-024-74532-z
Keywords
This article is cited by
-
Developmental trajectories of head and eye cue integration in gaze perception
Scientific Reports (2026)







