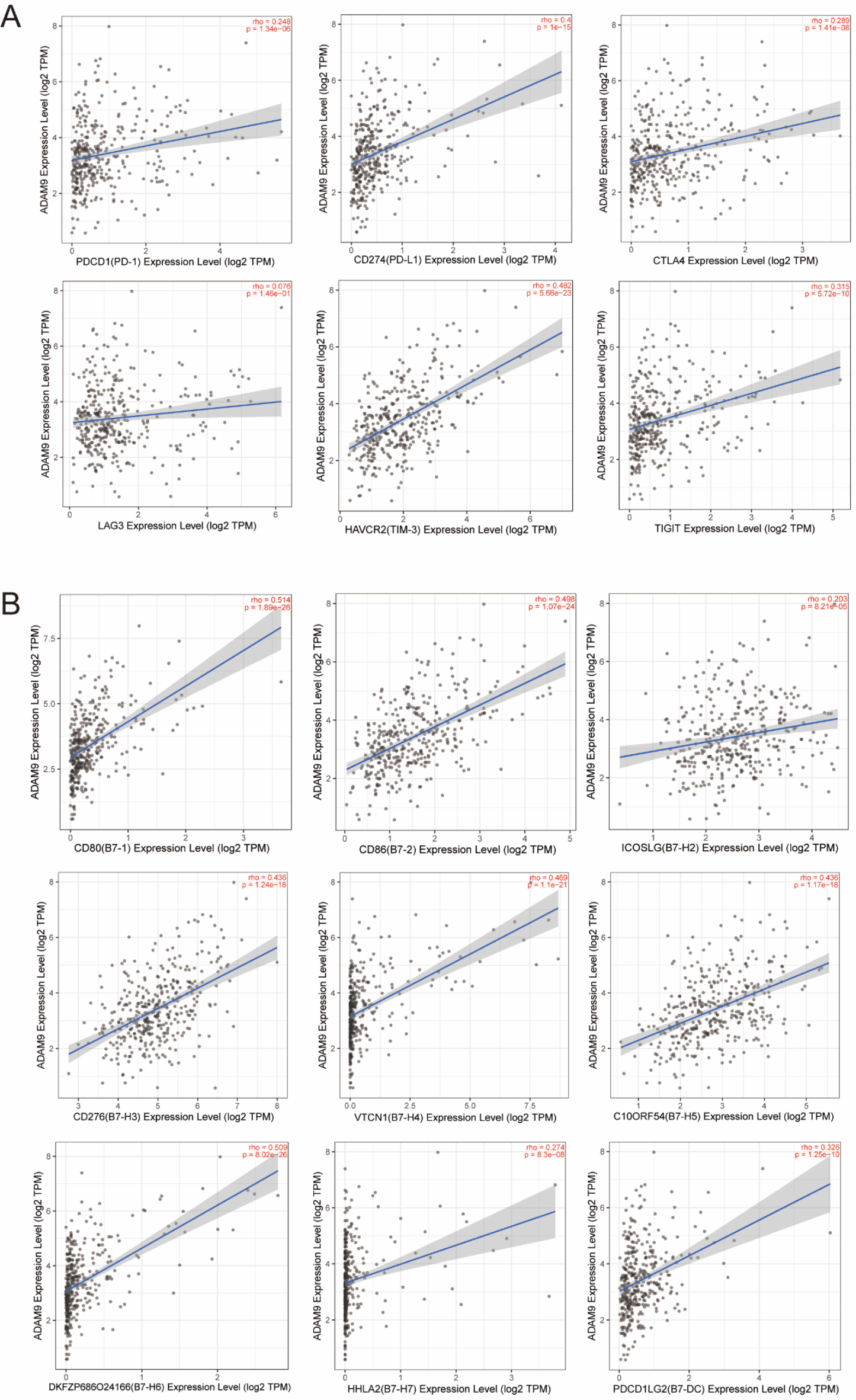
Fig. 7

Associations and correlations of ADAM9 with immune checkpoint genes and B7 family members in HCC. (A) Associations between ADAM9 and immune checkpoint gene. (B) Correlations between ADAM9 and B7 family members.

Associations and correlations of ADAM9 with immune checkpoint genes and B7 family members in HCC. (A) Associations between ADAM9 and immune checkpoint gene. (B) Correlations between ADAM9 and B7 family members.