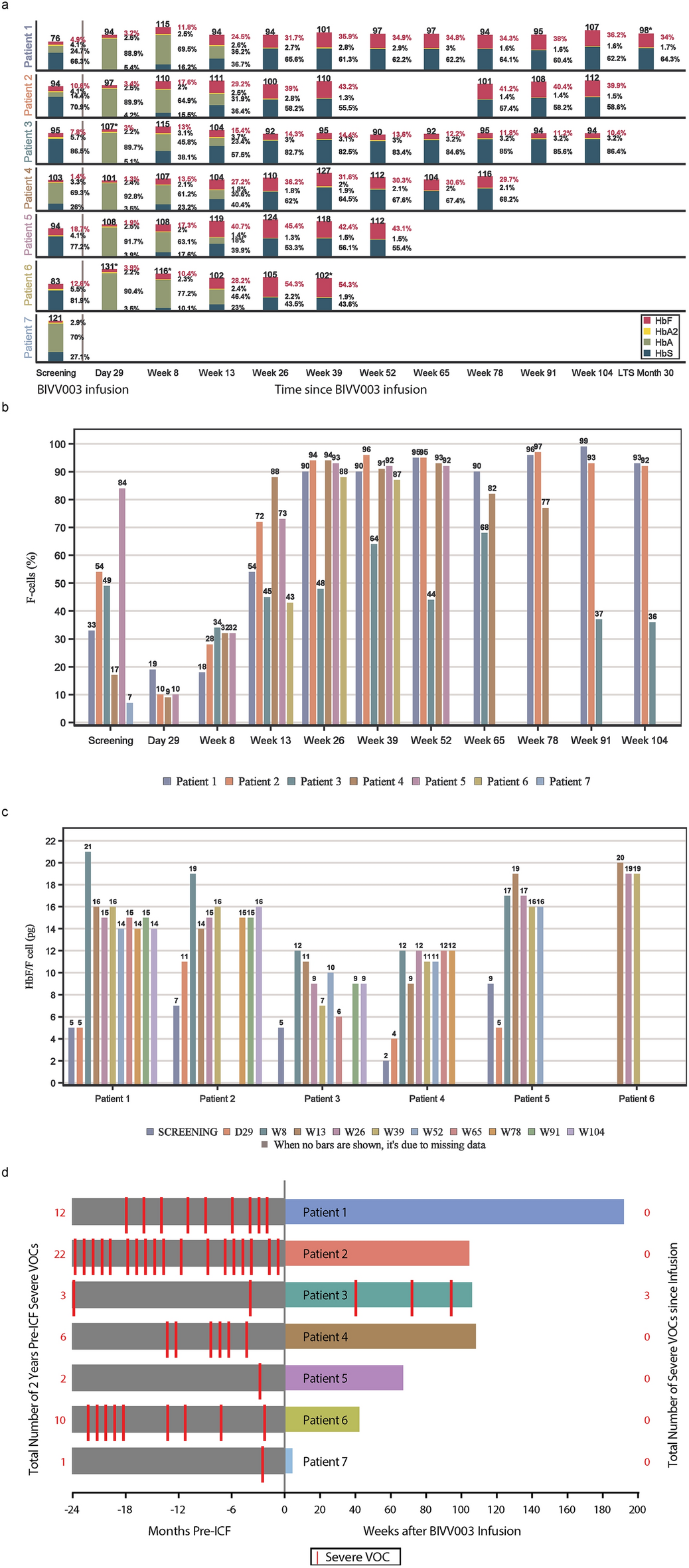
Fig. 6

Preliminary safety and efficacy results from PRECIZN-1: an ongoing Phase 1/2 study of BIVV003, a ZFN-modified autologous CD34 + HSC therapy for SCD. (a) Total Hb and Hb fractionation in all participants (n = 7) following BIVV003 infusion. *Indicates the Hb value from local lab, since the central lab value was not collected. (b) F cells over time for treated participants. (c) HbF/F cell levels above the threshold for preventing HbS polymerization. (d) Number of VOCs (severe pain crises, acute chest syndrome) reported pre- and post-BIVV003 infusion. Note, some participants had back-to-back VOC events. The total number of events is reported in Table S2. Hb, hemoglobin; HbA, adult hemoglobin; HbA2, variant adult hemoglobin; HbF, fetal hemoglobin; HbS, sickle hemoglobin; VOC, vaso-occlusive crisis