Figure 2
From: Validation of sampling points for airborne radioactivity in particulate-generating operations

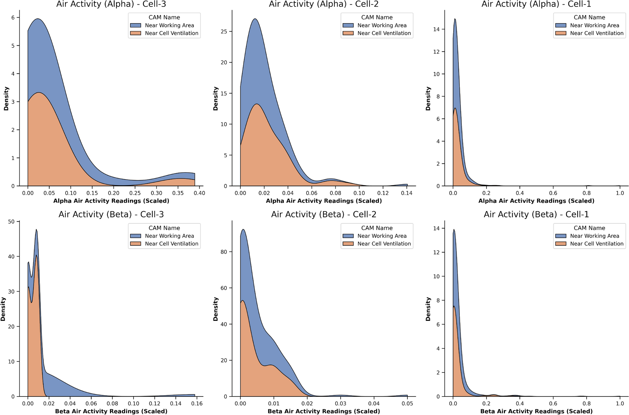
KDE plots for DAC-h(\(\alpha\)) and DAC-h (\(\beta\)) for different process cells.
From: Validation of sampling points for airborne radioactivity in particulate-generating operations

KDE plots for DAC-h(\(\alpha\)) and DAC-h (\(\beta\)) for different process cells.