Abstract
This meta-analysis investigates the effect of classic psychedelic drugs on empathy and focuses on cognitive and emotional empathy measured using the Multifaceted Empathy Test (MET). Empathy entails the ability to understand and share the feelings of another and is a significant component of social interaction. Several studies have examined the effects of psychedelic drugs such as LSD, psilocybin and ayahuasca on empathy, yet their overall effect has not been studied so far. In this meta-analysis, we reviewed data from studies up to November 2023 with the aim of examining the effects of various psychedelic drugs on empathic abilities broadly. Our findings suggest that classical psychedelics significantly enhance explicit and implicit emotional empathy without affecting measures of cognitive empathy. The results emphasize the need to continue testing the therapeutic potential of classic psychedelic drugs.
Similar content being viewed by others
Introduction
Empathy is a complex psychological construct crucial for human interaction and communication1,2. It encompasses various dimensions, including cognitive and emotional empathy in implicit and explicit forms. Empathy is defined as the understanding of a person from their frame of reference rather than one’s own or vicariously experiencing that person’s feelings, perceptions, and thoughts3. Empathy towards others can aid in creating more meaningful relationships and enhance our social interactions4. Cognitive empathy, also known as the Theory of Mind, involves the mental capacity to comprehend and process the thoughts and emotions of others, enabling us to grasp different perspectives and foster mutual understanding and respect in diverse interactions5. Emotional empathy, on the other hand, goes beyond mere understanding to an emotional resonance, allowing us to share in the joy, sorrow, excitement, or pain of others, and is crucial for building emotional bonds and providing comfort and support6,7.
Emotional empathy can be further divided into implicit and explicit emotional empathy. Implicit empathy, often referred to as “arousal,” includes the automatic, unconscious aspect of emotional empathy in which the sharing of emotions arouses the observing individual. In contrast, explicit emotional empathy is a deliberate and conscious process requiring mental effort and conscious processing, enabling us to respond appropriately and empathetically toward other people’s emotions3,9.
In recent years, the field of social cognition has faced challenges due to the heterogeneous and sometimes inconsistent use of terminology, particularly in the context of concepts like empathy and mental state attribution. As highlighted by Quesque et al.8, there is a growing movement towards harmonizing these terms to improve clarity and comparability across studies and fields. While Quesque et al.8 advocates for the use of standardized terms such as “mentalizing” to encompass what is often referred to as “cognitive empathy”, our study adheres to the terminology used in the specific task we are investigating. This choice is driven by the need for consistency in the interpretation of our findings within the context of the MET task.
It is possible that levels of empathy may be influenced by various psychological and biological interventions10,11,12. One such intervention, pertains to the use of classical psychedelics that can enhance empathic abilities. In recent years, researchers have discovered an interest in the effects of psychedelic drugs on social cognition in general and empathy in particular, and research has been done on the impact of these drugs on various types of empathy13 Classical psychedelics, including Lysergic acid diethylamide (LSD), psilocybin, and ayahuasca, are all agonists at the 5-HT2A receptor, a serotonin receptor subtype14,15. These substances have shown potential in addressing various psychiatric conditions, including depression and anxiety16,17,18, by breaking rigid mental patterns that are resistant to change11,19. LSD is derived from the ergot mushroom, leading to mood and perception changes at doses of 100–200 micrograms20. Psilocybin, derived from psilocybe mushrooms, affects the brain by converting it into psilocin, inducing similar shifts in perception and mood at doses of 20-25mg21,22. Ayahuasca, a South American brew containing N, N-Dimethyltryptamine (DMT) and Monoamine oxidase inhibitors (MAOIs), creates altered states of consciousness and vivid hallucinations23,24. Research presents diverse findings on psychedelics and empathy. LSD was demonstrated to enhance emotional empathy and sociality25. Similarly, psilocybin was found to increase emotional empathy22,23 without affecting moral decision-making23 and increasing well-being and creativity22. Additional research showed that ayahuasca increased cognitive empathy, emotional empathy, and well-being up to one week after the ingestion during a ceremony11,12. Based on our review of the scientific literature, we have yet to find a meta-analysis that synthesizes this literature and examines the overall effect of classical psychedelic drugs on empathy. Therefore, our meta-analysis reviews recent studies in the field by synthesizing data from these studies on several types of empathy. These different forms of empathy collectively influence how we interact, communicate, and build relationships with others and how external factors, such as classical psychedelics use, can impact these forms of empathy, highlighting the complex interplay between psychological processes and biological mechanisms that underlie this social cognitive function25.
In the present meta-analysis, we will examine the existing research literature on the effect of different classical psychedelics on a single task. We focused on the multifaceted empathy test (MET), measuring cognitive and emotional empathy using emotionally charged pictures. Meta-analyzing only one task across different studies leads to a more accurate assessment, allows for direct comparison of results, and provides deeper insights into specific factors associated with that task. It is especially important when comparing several classical psychedelics that are administered in different contexts with different doses and are measured at different times.
The MET was selected for this meta-analysis not only due to its robust psychometric properties and its ability to measure both cognitive and emotional empathy but also because it has been widely used across different studies, providing an opportunity to compare the effects of various drugs and settings through a mutual task. Researchers have consistently highlighted that the MET offers a comprehensive evaluation through a standardized and validated format, with strong internal consistency and convergent validity26 making it a reliable tool for studying the nuanced effects of psychedelics on explicit and implicit empathy. Additionally, the MET includes a diverse representation of ages, genders, cultures, and races, enhancing the diversity and equity of the assessment. This inclusivity ensures a more accurate reflection of the population, further strengthening the relevance of our meta-analysis and ensuring that the findings are applicable to a broad and varied demographic27.
We will examine the effect of LSD, psilocybin and ayahuasca on cognitive empathy and explicit and implicit emotional empathy to determine the effects of these classical psychedelics on various types of empathy.
Methods
This study followed the PRISMA reporting guidelines for systematic reviews and meta-analysis28.
Search strategy and inclusion criteria
From inception up to November 2023, a search for relevant articles was conducted in the PubMed (Medline), PsycINFO, and Scopus bibliographic databases using specific keywords: “LSD” OR “ayahuasca” OR “psychedelic” OR “lysergic acid diethylamide” OR “Psilocybin” OR “DMT” OR “Dimethyltryptamine” AND “empathy” OR “emotion” OR “social cognition” OR “emotional empathy” OR “cognitive empathy” OR “implicit” OR “explicit” OR “implicit emotional empathy” OR “explicit emotional empathy”, AND “MET” OR “multifaceted empathy test”.
After a full-text review, if a study was deemed eligible, its reference list was manually scrutinized for other relevant studies.
Initially, duplicate records were eliminated, and subsequently, the titles and abstracts of the remaining publications were assessed. Any publications that did not meet the inclusion criteria were excluded. The remaining publications were further evaluated by thoroughly reviewing the full text. The inclusion criteria were then applied again. To be considered for inclusion, studies had to meet the following eligibility criteria: (1) they had to be original, peer-reviewed, full-text articles written in English; (2) they had to involve healthy human participants; (3) they had to include a single-dose or more of LSD or ayahuasca or psilocybin intervention; and (4) they had to include an outcome(s) related to the MET tasks, provided that they met the eligibility criteria mentioned above. Studies were excluded if they were reviews and meta-analyses, included non-human subjects, assessed previous classic psychedelics users retrospectively through self-report questionnaires, or were letters, comments, abstracts, or conference papers. There were no exclusions based on the age or sex of the subjects, classic psychedelics dose or frequency, administration routes, or study size (Fig. 1).
The search and selection procedure was used to identify studies for inclusion in this meta-analysis. Template provided by PRISMA (www.prisma-statement.org).
Recorded measures and data extraction
The recorded variables included general information, such as the study’s authors, year of publication, number of subjects, and demographic variables, such as age, gender, and classic psychedelic dosage and kinds of substance (Table 1). For the calculation of effect sizes, means and standard deviations (SD) of the MET task results were collected. If this information was not available in the publication or provided by the authors, effect sizes were estimated using one of the following methods: (1) by extracting mean and SD from published figures (using PlotDigitizer software, available at http://plotdigitizer.sourceforge.net), (2) based on F values, or (3) based on p values.
Statistical analyses
The meta-analyses were conducted using the ‘metaphor’ package29 in RStudio version 2023.06.1 and Comprehensive Meta-Analysis (Version 3.3.070)30. We gathered data for the MET task, which involved obtaining means and standard deviations for three variables: (1) cognitive empathy, which measured the accuracy (measured in percentage) in discerning emotions portrayed in the photos; (2) explicit emotional empathy, reflecting the participants’ ratings indicating their level of self-report explicit empathy towards the person in the photo; and (3) implicit emotional empathy, indicating the arousal levels experienced while viewing the photos. In addition, where available we separately analyzed positive and negative stimuli.
Hedges’ g was used to measure effect size. Hedges’ g corrects for sample size bias and is interpreted according to Cohen’s D guidelines (0.2 for small effect, 0.5 for medium effect, and 0.8 for large effect). Q statistic was used to evaluate heterogeneity across studies based on the random effects model, as significant heterogeneity is expected in meta-analyses of observational studies31. Q assesses the amount of observed dispersion, and a statistically significant Q suggests that the studies do not share a common true effect size. The I2 index was used to assess the proportion of total variability in effect size estimates, with I2 values of approximately 25%, 50%, and 75% indicating low, moderate, and high heterogeneity, respectively. Publication bias due to small study bias was quantitatively tested using Egger’s regression test32 for each outcome. An Egger’s test with a P value less than 0.05 indicated a small study bias. Outlier and influence diagnostics were conducted to determine the impact of any outliers, and sensitivity re-analyses were performed without any identified outliers.
Risk of Bias
This study contains a meta-analysis of both randomized and nonrandomized studies of intervention. Two reviewers (L.P.A and I.L) assessed each study independently with conflicts resolved by discussion. We assessed the risk of bias of included randomized studies using the revised Cochrane risk-of-bias tool for randomized trials (RoB2 tool)33 which scores the risk of bias in five domains namely: randomization process, deviations from the intended interventions, missing outcome data, measurement of the outcome and selection of the reported result. The overall risk of bias was determined based on the reviewers’ judgement for each of the domains. An overall “low risk of bias” score is given when the study is judged to be at low risk of bias for all domains. An overall “some concerns” score is given when the study is judged to raise some concerns in at least one domain, but not to be at high risk for any domain. An overall “high risk of bias” score is given when the study is judged to be at high risk of bias in at least one domain. Three studies were assessed using the Rob2 tool: Dolder et al.25, Pokorny et al.22 and Uthaug et al.11.
The Risk Of Bias In Non-randomized Studies of Interventions (ROBINS-I) tool34 was used to assess the methodological quality and risk of bias in the included non-randomized studies. ROBINS-I evaluates bias across seven domains: confounding, selection of participants, classification of interventions, deviations from intended interventions, missing data, measurement of outcomes, and selection of the reported result. Each domain is rated as having low, moderate, serious, or critical risk of bias, allowing for a comprehensive assessment of the overall risk of bias in each study. This approach ensures a systematic evaluation of potential biases that could impact the validity of the study findings. Two studies were assessed using the ROBINS-I tool: Kiraga et al.12 and Mason et al.21.
Results
Classical psychedelics effect on cognitive empathy
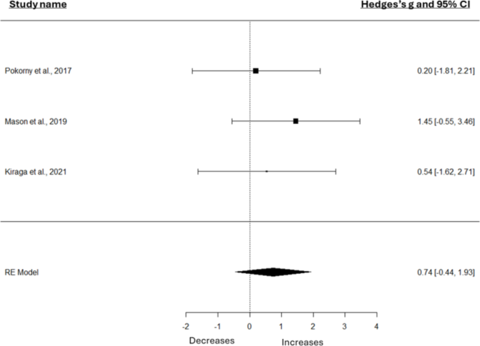
Classical psychedelics did not yield a statistically significant effect on cognitive empathy accuracy measures compared to placebo or baseline measures across the included studies (studies: n = 5 combined overall sample size: n = 158, Hedges’ g= − 0.1153 95% CI from − 2.0316 to 1.8010, p = 0.9061, Z-value=-0.1179). Between-studies heterogeneity was significant (Q = 36.7194, df = 5, I2 = 87.34%, p < 0.0001) (Fig. 2).
Publication Bias
No publication bias was found due to a small study effect, as indicated by Egger’s regression test (p = 0.5628). The funnel plot asymmetry tests, including regression test (z = 0.5786, p = 0.5628) and rank correlation test (Tau = 0.1380, p = 0.7021), did not indicate significant publication bias or small-study effects.
The trim-and-fill analysis, aiming to assess the potential impact of publication bias on the meta-analysis, revealed an estimated number of missing studies on the right side of 3, with a standard error (SE) of 1.5812. This suggests that the asymmetry observed in the funnel plot, indicative of potential publication bias, could have affected other studies. Influence diagnostics did not identify any outliers.
Positive stimuli effect on cognitive empathy
The effect of positive stimuli on cognitive empathy accuracy measures was not statistically significant compared to placebo or baseline measures across the included studies (k = 3, combined overall sample size: n = 106, Hedges’ g = 0.7794, 95% CI from − 0.4135 to 1.9722, p = 0.2003, Z-value = 1.2806). Between-study heterogeneity was not significant (Q(df = 2) = 0.6644, I2 = 0.00%, p = 0.7173). (Fig. 3).
Publication Bias
No publication bias was detected due to a small study effect, as indicated by Egger’s regression test (p = 0.9097). The funnel plot asymmetry test, including the regression test (t = -0.1428, df = 1), did not indicate significant publication bias or small-study effects. The trim-and-fill analysis estimated no missing studies on the right side (SE = 1.4967), suggesting that the symmetry observed in the funnel plot does not reflect potential publication bias. Influence diagnostics did not identify any significant outliers.
Negative stimuli effect on cognitive empathy
The effect of negative stimuli on cognitive empathy accuracy measures was not statistically significant compared to placebo or baseline measures across the included studies (k = 3, combined overall sample size: n = 106, Hedges’ g = 0.7432, 95% CI from − 0.4431 to 1.9295, p = 0.2195, Z-value = 1.2279). Between-study heterogeneity was not significant (Q(df = 2) = 0.7958, I2 = 0.00%, p = 0.6717). (Fig. 4).
Publication Bias
No publication bias was detected due to a small study effect, as indicated by Egger’s regression test (p = 0.8232). The funnel plot asymmetry test, including the regression test (t = − 0.2851, df = 1), did not indicate significant publication bias or small-study effects. The trim-and-fill analysis estimated no missing studies on the right side (SE = 1.4967), suggesting that the symmetry observed in the funnel plot does not reflect potential publication bias. Influence diagnostics did not identify any significant outliers.
Classical psychedelics’ effect on explicit emotional empathy
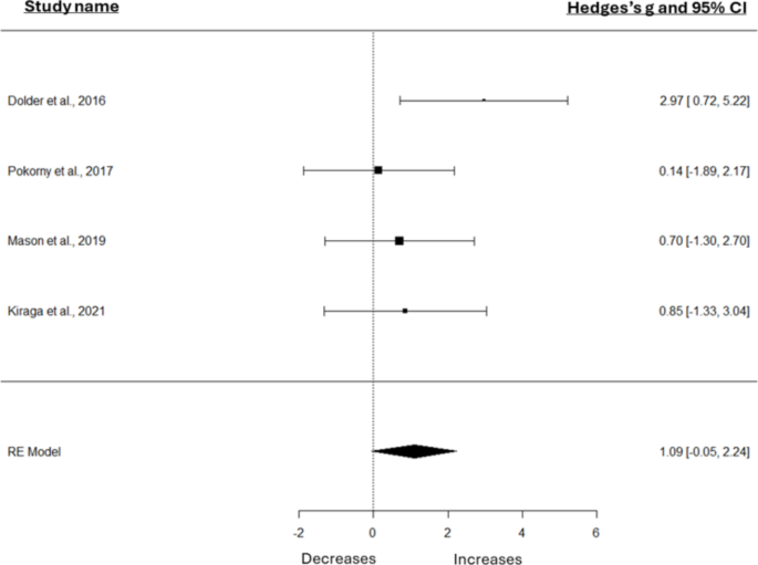
Classical psychedelics were associated with an increase in explicit emotional empathy compared to placebo or baseline measures across the included studies (studies: n = 5; combined overall sample: n = 158, Hedges’ g = 0.7921, 95% CI from 0.1786 to 1.4057, p = 0.0114, Z-value = 2.5304). Between-studies heterogeneity was non-significant (Q = 1.1867, df = 5, I2 = 0.00%, p < 0.9461) (Fig. 5).
Publication Bias
There was no significant publication bias. This is evidenced by the absence of a small study effect, as indicated by Egger’s regression test (p = 0.7800). The results from the funnel plot asymmetry tests, including the regression test (z = -0.2793, p = 0.7800) and the rank correlation test (Kendall’s tau = -0.2760, p = 0.4442), consistently do not show significant publication bias or small-study effects. Influence diagnostics did not identify any outliers.
The trim-and-fill analysis, aiming to assess the potential impact of publication bias on the meta-analysis, revealed an estimated number of missing studies on the right side of 2, with a standard error (SE) of 1.7837. This suggests that the asymmetry observed in the funnel plot, indicative of potential publication bias, could have affected other studies. Influence diagnostics did not identify any outliers.
Positive stimuli effect on explicit emotional empathy
The effect of positive stimuli were associated with an increase in explicit empathy accuracy measures compared to placebo or baseline measures across the included studies (k = 3, combined overall sample size: n = 109, Hedges’ g = 1.6016, 95% CI from − 1.0784 to 4.2815, p = 0.0415, Z-value = 1.1713). Between-study heterogeneity was significant (Q(df = 2) = 8.4933, I2 = 78.58%, p = 0.0143) (Fig. 6).
Publication Bias
A significant publication bias was detected, as indicated by Egger’s regression test (p = 0.0391). The funnel plot asymmetry test, including the regression test (t = 16.2536, df = 1), indicated significant publication bias or small-study effects. The trim-and-fill analysis estimated no missing studies on the left side (SE = 1.4967), suggesting that the asymmetry observed in the funnel plot may reflect potential publication bias. Influence diagnostics identified one influential outlier, specifically in the study by Dolder et al.25.
Negative stimuli effect on explicit emotional empathy
The effect of negative stimuli were associated with an increase in explicit empathy accuracy measures compared to placebo or baseline measures across the included studies (k = 3, combined overall sample size: n = 109, Hedges’ g = 0.8142, 95% CI from − 0.3727 to 2.0010, p = 0.0078, Z-value = 1.3445). Between-study heterogeneity was not significant (Q(df = 2) = 0.8966, I2 = 0.00%, p = 0.6387) (Fig. 7).
Publication Bias
No significant publication bias was detected, as indicated by Egger’s regression test (p = 0.3570). The funnel plot asymmetry test, including the regression test (t = 1.5924, df = 1), did not indicate significant publication bias or small-study effects. The trim-and-fill analysis estimated no missing studies on the left side (SE = 1.4967), suggesting that the symmetry observed in the funnel plot does not reflect potential publication bias. Influence diagnostics did not identify any significant outliers.
Classical psychedelics effect on implicit emotional empathy
Classical psychedelics were associated with an increase in implicit emotional empathy ratings compared to placebo within the analyzed studies (studies: n = 5; combined overall sample: n = 158, Hedges’ g = 0.7635, 95% CI from − 0.0191 to 1.5461, p = 0.05, Z-value = 1.9121).
The analysis revealed non-significant between-studies heterogeneity (Q = 0.4442, df = 5, I2 = 0.00%, p < 0.9940) (Fig. 8).
Publication Bias
Non significant publication bias was found, due to a small study effect as indicated by Egger’s regression test (p = 0.6427). The funnel plot asymmetry tests, including the regression test (z = − 0.4639, p = 0.6427) and The Rank Correlation Test for Funnel Plot Asymmetry (Kendall’s tau of − 0.2000 with a p-value of 0.7194), did not indicate significant publication bias or small-study effects.
The trim-and-fill analysis, aiming to assess the potential impact of publication bias on the meta-analysis, revealed an estimated number of missing studies on the right side of 3, with a standard error (SE) of 1.6385. This suggests that the asymmetry observed in the funnel plot, indicative of potential publication bias, could have affected other studies. Influence diagnostics did not identify any outliers.
Positive stimuli effect on implicit emotional empathy
The effect of positive stimuli were associated with an increase in implicit empathy accuracy measures compared to placebo or baseline measures across the included studies (k = 4, combined overall sample size: n = 128, Hedges’ g = 1.0934, 95% CI from − 0.0528 to 2.2397, p = 0.0415, Z-value = 1.8696). Between-study heterogeneity was not significant (Q(df = 3) = 3.7139, I2 = 15.32%, p = 0.2941) (Fig. 9).
Publication Bias
No significant publication bias was detected, as indicated by Egger’s regression test (p = 0.1890). The funnel plot asymmetry test, including the regression test (t = 1.9607, df = 2), did not indicate significant publication bias or small-study effects. The trim-and-fill analysis estimated no missing studies on the left side (SE = 1.3802), suggesting that the asymmetry observed in the funnel plot does not reflect potential publication bias. Influence diagnostics identified one influential outlier, specifically in the study by Dolder et al.25.
Negative stimuli effect on implicit emotional empathy
The effect of negative stimuli were associated with an increase in implicit empathy accuracy measures compared to placebo or baseline measures across the included studies (k = 5, combined overall sample size: n = 158, Hedges’ g = 0.9082, 95% CI from − 0.0189 to 1.8353, p = 0.0500, Z-value = 1.9199). Between-study heterogeneity was not significant (Q(df = 4) = 0.9942, I² = 0.00%, p = 0.9107) (Fig. 10).
Publication Bias
No significant publication bias was detected, as indicated by Egger’s regression test (p = 0.4036). The funnel plot asymmetry test, including the regression test (t = 0.9699, df = 3), did not indicate significant publication bias or small-study effects. The trim-and-fill analysis estimated no missing studies on the left side (SE = 1.5965), suggesting that the symmetry observed in the funnel plot does not reflect potential publication bias. Influence diagnostics did not identify any significant outliers.
Risk of Bias assessments
The risk of bias (Fig. 11) was assessed using the RoB 2 tool across three studies included in this analysis and found low risk of bias for two studies and a high risk of bias for one study. Specifically, Dolder et al.25 exhibited a low risk of bias across all domains. The robust double-blind, placebo-controlled, crossover design and meticulous execution contributed to this favorable assessment. Pokorny et al.22 was judged to have some concerns regarding the randomization process, primarily due to a lack of detailed reporting on baseline characteristics, which raised questions about the comparability of the groups. However, the study maintained a low risk of bias in all other domains, suggesting that the overall results are likely reliable despite these concerns. In contrast, Uthaug et al.11 was found to have a high overall risk of bias. While randomization was adequately handled, significant deviations from intended interventions were noted, primarily due to variability in dosages across retreats and a lack of control by the research team over the intervention environment (which was administered by facilitators). Additionally, concerns regarding outcome measurement, particularly the reliance on self-reported data in a psychedelic study, further contributed to the high-risk rating (Table 2).
The ROBINS-I assessment was used across two studies included in this analysis and found a low to moderate risk of bias for one study and a serious risk of bias for the other study. The tool categorized Mason et al.21 as having a low to moderate risk of bias. While the study had moderate risks related to confounding and participant selection—due to the volunteer nature of the psilocybin retreats—the classification of interventions and measurement of outcomes were well-controlled and consistent. The study experienced some dropouts, but the overall impact on results was mitigated using validated measures and comprehensive outcome reporting (Table 3).
For Kiraga et al.12, the analysis identified a serious overall risk of bias. The study faced substantial issues, including serious risks due to confounding variables, selection bias from self-selected participants, and variability in intervention application due to differences in facilitator practices and settings. The study also reported significant dropout rates, with unclear handling of missing data, which exacerbates concerns. Despite using validated measurement tools and reporting all relevant outcomes, the significant issues in confounding, selection, and intervention application suggest that the study’s results should be interpreted with caution.
Discussion
The results of this meta-analysis indicate that classical psychedelics are associated with an increase in explicit and implicit emotional empathy and are not associated overall with any change in cognitive empathy (no significant increase or decrease was demonstrated in the meta analysis). Our research aligns with previous studies showing that psychedelics increase emotional empathy26,27. The findings suggest that classic psychedelics may increase the emotional components of empathy, while further research is necessary to understand their impact on the cognitive components of empathy.
There are several potential interpretations for the demonstrated increase in emotional empathy. When using psychedelic substances, users have reported changes in perception22, including hallucinations, subjective perception of time and space and perception of the body35. Specifically, distorted perception of the body might lead to blurring of the boundaries between self and other, which might lead to an increased ability to share the emotions of another, i.e., emotional empathy4.
On a related note, psychedelic drugs can lead to a feeling of ego dissolution19. Ego dissolution entails the dismantling of the experience of the ego19 and is accompanied by the lowering of the boundaries between the self and other people11,19. At the neural level, ego dissolution has been linked to reduced alpha power in the posterior cortex36, which has been associated with increased emotional empathy levels37,38. It is possible that due to the effect of psychedelic drugs on the dissolution of the ego, there may be an effect on emotional empathy, and this is due to an increase in the ability to merge with another person and, through that, to understand and share the feelings of others.
Another mechanism through which classical psychedelics could affect emotional empathy is personality traits. Psychedelics were found to increase the personality trait of openness38,39,40,41,42, and higher levels of openness have been associated with higher levels of general empathy43. Thus, it is possible that through an increase in openness to the experience of other individuals, the users can become more emotionally empathic to their surroundings. To get a deeper understanding of the relationship between psychedelics, empathy, and personality traits, further research is necessary.
A similar pattern of results was also observed with 3,4-methylenedioxymethamphetamine (MDMA), a compound with strong empathogenic properties44,45. Specifically, MDMA was also found to enhance emotional empathy25,44. Its action as a serotonin-enhancing agent shares common neurochemical pathways with classical psychedelics’ neural effects. This similarity suggests a potential overlap in how these substances modulate social and emotional processing, specifically through the enhancement of serotonin that affects emotional empathy. Interestingly, when a 5-HT2a receptor antagonist (Ketanserin) was administered with 200 mg of LSD, emotional empathy was still elevated compared to placebo, which points to a different mechanism that might be involved in the LSD associated increase of emotional empathy other than the 5HT2A receptor46. Indeed, LSD demonstrates a high affinity for nearly all 14 serotonin receptors47. In addition, LSD binds to dopamine receptors such as D148 Future research should closely discern the effects of different serotonin and dopamine receptors that underpin this increase in emotional empathy.
Our meta-analysis groups together different substances: LSD, psilocybin and ayahuasca. While our meta-analysis provides valuable insights into the effects of classical psychedelics on empathy, it is important to acknowledge the limitations and differences in their mechanisms of action. LSD, psilocybin, and ayahuasca all act on the 5-HT2A receptor but have different pharmacological profiles. For example, LSD has increased dopaminergic activity compared to psilocybin, potentially affecting cognitive and emotional processes differently49. Psilocybin and ayahuasca primarily affect serotonergic pathways, with ayahuasca also involving monoamine oxidase inhibitors (MAOIs)50. In addition, the β-carbolines found in ayahuasca, such as harmine, interact with glutamatergic and dopaminergic systems. This sets ayahuasca apart from other psychedelics. Harmine, specifically, also inhibits the enzyme monoamine oxidase (MAO), which not only extends the psychoactive effects of DMT but may also contribute to its antidepressant and neuroprotective properties51. Additionally, LSD’s interaction with dopamine D2 receptors could explain its distinct cognitive and emotional effects compared to other psychedelics, adding another layer of complexity to its impact on empathy52.
Despite these differences, we grouped these substances to provide a comprehensive overview of their general effects on empathy due to their common 5-HT2A receptor agonism. Future research should explore the specific mechanisms and differential effects of each psychedelic, particularly the unique contributions of serotonergic and dopaminergic systems.
The results of this meta analysis suggest that classical psychedelics are not associated with either an increase or decrease in cognitive empathy. We did not demonstrate an effect of classical psychedelics on cognitive empathy. This could be due to the small number of studies included in this meta analysis, yet perhaps the task used (MET) might not capture the intricate effects of classical psychedelics on cognitive empathy. Other than the MET, there are several metrics that are commonly used to investigate the effects of psychedelics on empathy, particularly cognitive empathy. These include Reading the Mind in the Eyes Test (RMET)53, the Movie for the Assessment of Social Cognition (MASC)54 and various versions of the Facial Emotion Recognition Test (FERT)55. The RMET assesses cognitive empathy by measuring the ability to infer others’ mental states from images of their eyes53. For example, a study found that psilocybin decreases the ability to interpret negative emotions in the RMET56. The MASC is a test with several video clips featuring social situations that require mentalizing abilities. Thus, this test is focusing on cognitive empathy. Long term use of MDMA (as measured in hair strands) was associated with higher cognitive empathy levels as measured with the MASC57. The FERT measures identification of emotions from facial expressions with the ability to measure the level of intensity required to identify the emotion55. LSD impairs the recognition of negative emotions like fear and sadness while enhancing the recognition of positive emotions such as happiness measured with the FERT25. In contrast, a pilot study found no effects of ayahuasca on recognition of emotions from facial expressions using a version of the FERT58 Therefore, future studies should consider comparing different measures of cognitive empathy to further deepen our understanding of the effects of classical psychedelics on cognitive empathy.
As detailed above, several studies found differences in the effects of psychedelics on positive and negative stimuli in various empathy tasks. We therefore examined the differential effect of positive and negative stimuli here on changes in cognitive and emotional empathy. Our additional analysis yielded intriguing results. For cognitive empathy, we found that classical psychedelics neither increased nor decreased performance, regardless of whether the stimuli were positive or negative. This suggests that the ability to accurately identify others’ states remains stable under the influence of these substances, irrespective of the emotional valence of the content being processed. In line with this result, both implicit and explicit emotional empathy were unaffected by the valence of the stimuli and were elevated by classical psychedelics for both positive and negative stimuli. This indicates that the emotional empathy-enhancing effects of classical psychedelics are robust across different emotional contexts. Future research could explore whether this valence-independent enhancement of emotional empathy translates to improved interpersonal relationships and social functioning in both clinical and non-clinical populations.
This meta-analysis has several limitations that must be acknowledged, primarily the small sample size of only five studies. The limited number of studies impacts the robustness and generalizability of our findings, as conclusions drawn from such a small sample may not fully represent the broader effects of classical psychedelics on empathy. Additionally, the heterogeneity observed across the included studies suggests variability in experimental protocols, including differences in drug types, doses, settings (e.g., laboratory vs. retreat environments), and the timing of task administration relative to psychedelic ingestion. These variations may introduce inconsistencies in the results, complicating the ability to draw definitive conclusions.
We chose to conduct a risk of bias analysis in this meta-analysis to ensure the robustness and reliability of our findings. Given the variability in study designs, participant characteristics, and experimental conditions, it was crucial to assess the potential biases that could influence the results. By evaluating the risk of bias, we aimed to identify and address any methodological weaknesses in the included studies, providing a more accurate interpretation of the overall effects of classical psychedelics on empathy. We conducted a Risk of Bias assessment using the RoB 2 and ROBINS-I tools. This analysis reveals a range of concerns across the studies included in this meta-analysis, emphasizing the need for careful interpretation of the findings. Overall, studies exhibited a spectrum of bias risks, from low to high, affecting the reliability of their results. Studies with low risk of bias benefited from rigorous methodological approaches, such as double-blind, placebo-controlled designs and well-defined interventions. However, even these studies were not immune to concerns, particularly regarding randomization processes and adherence to intervention protocols.
In contrast, studies with higher risk of bias faced significant challenges, including variability in intervention administration, lack of control over confounding variables, and issues with handling missing data. These factors introduced uncertainty into the findings, necessitating cautious interpretation. Despite these limitations, this meta-analysis is crucial for synthesizing existing evidence and identifying areas for future research of the effects of classical psychedelics on empathy.
To improve the robustness and reliability of future studies on psychedelics and empathy, it is crucial to enhance methodological rigor by ensuring proper randomization, standardizing interventions, and minimizing dropout rates. Future research should also prioritize the inclusion of control groups and placebos, as well as the administration of consistent doses across participants, to facilitate more accurate comparisons. Placebo-controlled experimental studies are particularly important for controlling the potential influence of non-pharmacological factors, such as the environment and participant expectations, which can significantly impact outcomes. Additionally, incorporating objective measures and neuroimaging techniques will help to explore the neural correlates of empathy under the influence of psychedelics. Longitudinal clinical research, especially in clinical populations, is needed to investigate the therapeutic mechanisms of psychedelics like psilocybin and to further assess the role of empathy in symptom alleviation. Addressing these methodological considerations will be essential for advancing our understanding of how classical psychedelics influence empathy across diverse contexts and for enhancing the generalizability and application of findings in therapeutic settings.
Despite all these limitations it is important to note that our meta-analysis used a comprehensive and systematic approach to gather and analyze data. We examined the Multifaceted Empathy Test (MET), a standardized tool to measure empathy, across various studies. The use of the MET tool across all studies provided a consistent and specific measurement of empathy, enhancing the comparability and reliability of our results, which was the strength of this meta-analysis.
Moreover, our meta-analysis has a high ecological value since we took into consideration different settings and ways of administration of these substances. Specifically, the setting of a ceremony in cases of an ayahuasca ceremony and different physical, social and cultural environments in which the drug was taken may change the mental experience of their effect59. For example, one study reported that the ceremonies were held in a supportive group environment11, which may affect the experience of the participants positively and may have contributed to improvements in the effect60 compared to studies that examined the effects of the substance on individuals who were alone or with a therapist when they were administered the substance. Therefore, conducting a meta-analysis that analyzes results across these different settings contributes to understanding the effect of these substances on empathy.
Moreover, the research includes different classical psychedelics, which enables us to generalize beyond one specific substance. The way psychedelics are reported in studies can be varied and complex due to differences in the types, doses, and timing of administration. In our research, the sample sizes ranged from 19 to 55)11,21, ages from 25 to over 40 years11,25, and dosage levels of psychedelics are different and depend on the type of drugs.
These results offer new possibilities for therapeutic applications. Empathy is crucial in psychotherapy because enhanced empathy can deepen the therapist-patient connection and improve therapy outcomes10. Specifically in disorders characterized by empathy deficits, such as certain personality disorders21, psychedelics might aid in developing better social skills and emotional connections. Indeed, early studies suggested the use of psychedelic drugs as a treatment for criminals with antisocial personality disorders and psychopaths61,62,63.
Importantly, we would like to acknowledge that all of the studies examined in this meta-analysis were done on healthy participants. Studying the effects of these substances on clinical populations could provide valuable insights into their therapeutic potential, such as depression and anxiety16,17,18. Moreover, to better understand the neurological effects of psychedelics, it is important to examine their acute and prolonged neural effect on empathy using imaging techniques such as electroencephalography (EEG) and functional magnetic resonance imaging (fMRI). These methods will provide insight into the neurological correlates of the empathy-enhancing effects of psychedelics. Lastly, exploring individual differences in the subjective response to psychedelics and addressing ethical considerations surrounding their use are also crucial aspects of this field of research.
In conclusion, continued research on the effects of classical psychedelics on empathy is necessary for understanding their complex effects and potential therapeutic applications in fostering empathy and promoting prosocial behavior. Continued research in this domain is not just a scientific imperative but also a moral one, as it promises to look for new therapeutic modalities that could profoundly benefit individuals and society at large.
Data availability
Data Availability StatementThe datasets generated and/or analyzed during the current study are available from the corresponding author upon request. All data supporting this study’s findings are contained within the article and in supplementary information files.
References
de Vignemont, F. & Singer, T. The empathic brain: how, when and why? Trends Cogn. Sci. 10(10), 435–441. https://doi.org/10.1016/j.tics.2006.08.008 (2006).
Quesque, F. & Rossetti, Y. What do theory-of-mind tasks actually measure? Theory and practice. Perspect. Psychol. Sci. 15(2), 384–396. https://doi.org/10.1177/1745691619896607 (2020).
VandenBos, G. R. (ed) APA Dictionary of Psychology (American Psychological Association, 2007).
Shamay-Tsoory, S. G. The neural bases for Empathy. Neuroscientist. 17(1), 18–24. https://doi.org/10.1177/1073858410379268 (2011).
Goodhew, S. C. & Edwards, M. The relationship between cognitive failures and empathy. Pers. Indiv. Differ. 186, 111384. https://doi.org/10.1016/j.paid.2021.111384 (2022).
Uzefovsky, F. & Knafo-Noam, A. Empathy develops throughout the life span. In Social cognition (89–115). Routledge. (2016).
Zaki, J. & Ochsner, K. N. The neuroscience of empathy: Progress, pitfalls and promise. Nat. Neurosci. 15(5), 675–680 (2012).
Quesque, F. et al. Defining key concepts for mental state attribution. Nat. Revi. Psychol. https://doi.org/10.1038/s44271-024-00077-6 (2024).
Braunstein, L. M., Gross, J. J. & Ochsner, K. N. Explicit and implicit emotion regulation: A multi-level framework. Soc. Cognit. Affect. Neurosci. 12(10), 1545–1557 (2017).
Greenberg, L. S., Elliott, R., Watson, J. C. & Bohart, A. C. Empathy. Psychother. Theory Res. Pract. Train. 38(4), 380–384. https://doi.org/10.1037/0033-3204.38.4.380 (2001).
Uthaug, M. V. et al. A placebo-controlled study of the effects of ayahuasca, set and setting on mental health of participants in ayahuasca group retreats. Psychopharmacology, 238(7), 1899–1910. (2021). https://doi.org/10.1007/s00213-021-05817-8
Kiraga, M. K. et al. Persisting effects of ayahuasca on empathy, creative thinking, decentering, personality, and well-being. Front. Pharmacol. 12, 721537. https://doi.org/10.3389/fphar.2021.721537 (2021).
Preller, K. H. & Vollenweider, F. X. Modulation of social cognition via hallucinogens and entactogens. Front. Psychiatry. 10, 881. https://doi.org/10.3389/fpsyt.2019.00881 (2019).
Vollenweider, F. X., Vollenweider-Scherpenhuyzen, M. F., Bäbler, A., Vogel, H. & Hell, D. Psilocybin induces schizophrenia-like psychosis in humans via a serotonin-2 agonist action. Neuroreport. 9, 3897–3902 (1998).
Halberstadt, A. L. & Geyer, M. A. Multiple receptors contribute to the behavioral effects of indoleamine hallucinogens. Neuropharmacology. 61, 364–381 (2011).
Johnson, M. W. & Griffiths, R. R. Potential therapeutic effects of Psilocybin. Neurotherapeutics. 14(3), 734–740. https://doi.org/10.1007/s13311-017-0542-y (2017).
Thomas, G., Lucas, P., Capler, N., Tupper, K. & Martin, G. Ayahuasca-assisted therapy for addiction: Results from a preliminary observational study in Canada. Curr. Drug Abuse Rev. 6(1), 30–42. https://doi.org/10.2174/15733998113099990003 (2013).
Oehen, P., Traber, R., Widmer, V. & Schnyder, U. A randomized, controlled pilot study of MDMA (± 3, 4-Methylenedioxymethamphetamine)-assisted psychotherapy for treatment of resistant, chronic post-traumatic stress disorder (PTSD). J. Psychopharmacol. 27(1), 40–52 (2013).
Nour, M. M., Evans, L., Nutt, D. & Carhart-Harris, R. L. Ego-dissolution and psychedelics: Validation of the ego-dissolution inventory (EDI). Front. Hum. Neurosci. 10, 269 (2016).
Yockey, R. A., Vidourek, R. A. & King, K. A. Trends in LSD use among US adults: 2015–2018. Drug Alcohol Depend. 212, 108071. https://doi.org/10.1016/j.drugalcdep.2020.108071 (2020).
Mason, N. L., Mischler, E., Uthaug, M. V. & Kuypers, K. P. C. Sub-acute effects of psilocybin on empathy, creative thinking, and subjective well-being. J. Psychoactive Drugs. 51(2), 123–134. https://doi.org/10.1080/02791072.2019.1580804 (2019).
Pokorny, T., Preller, K. H., Kometer, M., Dziobek, I. & Vollenweider, F. X. Effect of psilocybin on empathy and moral decision-making. Int. J. Neuropsychopharmacol. 20(9), 747–757. https://doi.org/10.1093/ijnp/pyx047 (2017).
Strassman, R. J. Human psychopharmacology of N,N-dimethyltryptamine. Behav. Brain. Res. 73(1–2), 121–124. https://doi.org/10.1016/0166-4328(96)00081-2 (1995).
Domínguez-Clavé, E. et al. Ayahuasca: Pharmacology, neuroscience and therapeutic potential. Brain Res. Bull. 126, 89–101. https://doi.org/10.1016/j.brainresbull.2016.03.002 (2016).
Dolder, P. C., Schmid, Y., Müller, F., Borgwardt, S. & Liechti, M. E. LSD acutely impairs fear recognition and enhances emotional empathy and sociality. Neuropsychopharmacology. 41(11), 2638–2646. https://doi.org/10.1038/npp.2016.82 (2016).
Dziobek, I. et al. Dissociation of cognitive and emotional empathy in adults with Asperger syndrome using the Multifaceted Empathy Test (MET). J. Autism Dev. Disord. 38, 464–473 (2008).
Lima, F. F. D. & Osório, F. D. L. Empathy: Assessment instruments and psychometric quality–a systematic literature review with a meta-analysis of the past ten years. Front. Psychol. 12, 781346 (2021).
Moher, D. et al. Preferred reporting items for systematic review and meta-analysis protocols (PRISMA-P) 2015 statement. Syst. Rev.. 4, 1–9 (2015).
Viechtbauer, W. Conducting meta-analyses in R with the metafor package. J. Stat. Softw. 36(3), 1–48 (2010).
Borenstein, M. Comprehensive meta-analysis software. Syst. Rev. Health Res. Meta-Anal. Context. 535, 548 (2022).
Cooper, N. J., Sutton, A. J., Morris, D., Ades, A. E. & Welton, N. J. Addressing between-study heterogeneity and inconsistency in mixed treatment comparisons: Application to stroke prevention treatments in individuals with non-rheumatic atrial fibrillation. Stat. Med. 28(14), 1861–1881. https://doi.org/10.1002/sim.3594 (2009).
Egger, M., Smith, G. D., Schneider, M. & Minder, C. Bias in meta-analysis detected by a simple, graphical test. Bmj. 315(7109), 629–634 (1997).
Sterne, J. A., Savović, J., Page, M. J., Elbers, R. G., Blencowe, N. S., Boutron, I. & Higgins, J. P. (2019). RoB 2: A revised tool for assessing risk of bias in randomised trials. bmj, 366.
Sterne, J. A., Hernán, M. A., Reeves, B. C., Savović, J., Berkman, N. D., Viswanathan, M. & Higgins, J. P. (2016). ROBINS-I: A tool for assessing risk of bias in non-randomised studies of interventions. bmj, 355
Aday, J. S., Wood, J. R., Bloesch, E. K. & Davoli, C. C. Psychedelic drugs and perception: A narrative review of the first era of research. Rev. Neurosci. 32(5), 559–571. https://doi.org/10.1515/revneuro-2020-0094 (2021).
Muthukumaraswamy, S. D. et al. Broadband cortical desynchronization underlies the human psychedelic state. J. Neurosci. 33(38), 15171–15183. https://doi.org/10.1523/JNEUROSCI.2063-13.2013 (2013).
Peled-Avron, L., Levy-Gigi, E., Richter-Levin, G., Korem, N. & Shamay-Tsoory, S. G. The role of empathy in the neural responses to observed human social touch. Cogn. Affect. Behav. Neurosci. 16, 802–813 (2016).
Perry, A., Stein, L. & Bentin, S. Motor and attentional mechanisms involved in social interaction—evidence from mu and alpha EEG suppression. NeuroImage. 58(3), 895–904 (2011).
Griffiths, R. R. et al. Psilocybin occasioned mystical-type experiences: Immediate and persisting dose-related effects. Psychopharmacology. 218(4), 649–665. https://doi.org/10.1007/s00213-011-2358-5 (2011).
MacLean, K. A., Johnson, M. W. & Griffiths, R. R. Mystical experiences occasioned by the hallucinogen psilocybin lead to increases in the personality domain of openness. J. Psychopharmacol. 25(11), 1453–1461. https://doi.org/10.1177/0269881111420188 (2011).
Bouso, J. C. et al. Long-term use of psychedelic drugs is Associated with differences in Brain structure and personality in humans. Eur. Neuropsychopharmacol. 25(4), 483–492. https://doi.org/10.1016/j.euroneuro.2015.01.008 (2015).
Johnstad, P. G. The psychedelic personality: Personality structure and associations in a sample of psychedelics users. J. Psychoact. Drugs. 53(2), 97–103 (2021).
Song, Y. & Shi, M. Associations between empathy and big five personality traits among Chinese undergraduate medical students. PLoS ONE. 12(2), e0171665. https://doi.org/10.1371/journal.pone.0171665 (2017).
Hysek, C. M. et al. MDMA enhances emotional empathy and prosocial behavior. Soc. Cognit. Affect. Neurosci. 9(11), 1645–1652. https://doi.org/10.1093/scan/nst161 (2014).
Parrott, A. C. Human psychobiology of MDMA or ‘Ecstasy’: An overview of 25 years of empirical research. Hum. Psychopharmacol. Clin. Exp. 28(4), 289–307. https://doi.org/10.1002/hup.2318 (2013).
Holze, F., Avedisian, I., Varghese, N., Eckert, A. & Liechti, M. E. Role of the 5-HT2A receptor in acute effects of LSD on empathy and circulating oxytocin. Front. Pharmacol. 12, 711255. https://doi.org/10.3389/fphar.2021.711255 (2021).
Kroeze, W. K., Sassano, M. F., Huang, X. P., Lansu, K., McCorvy, J. D., Giguère, P. M., & Roth, B. L. (2015). PRESTO-Tango as an open-source resource for interrogation of the druggable human GPCRome. Nat. Struct. Mol. Biol. 22(5), 362–369.
Fan, L., Zhuang, Y., Wu, H., Li, H., Xu, Y., Wang, Y. & Wang, S. (2024). Structural basis of psychedelic LSD recognition at dopamine D1 receptor. Neuron
Nichols, D. E. Psychedelics. Pharmacol. Rev., 68(2), 264–355. (2016).
Sarris, J., Perkins, D., Cribb, L., Schubert, V., Opaleye, E., Bouso, J. C., & Tófoli, L. F. (2021). Ayahuasca use and reported effects on depression and anxiety symptoms: An international cross-sectional study of 11,912 consumers. J. Affect. Disord. Rep., 4, 100098
Brierley, D. I. & Davidson, C. Developments in harmine pharmacology—implications for ayahuasca use and drug-dependence treatment. Prog. Neuropsychopharmacol. Biol. Psychiatry. 39(2), 263–272 (2012).
Giacomelli, S., Palmery, M., Romanelli, L., Cheng, C. Y. & Silvestrini, B. Lysergic acid diethylamide (LSD) is a partial agonist of D2 dopaminergic receptors and it potentiates dopamine-mediated prolactin secretion in lactotrophs in vitro. Life Sci. 63(3), 215–222 (1998).
Baron-Cohen, S., Wheelwright, S., Hill, J., Raste, Y. & Plumb, I. The reading the mind in the eyes test revised version: A study with normal adults, and adults with Asperger syndrome or high-functioning autism. J. Child. Psychol. Psychiatry Allied Disciplines. 42(2), 241–251 (2001).
Dziobek, I. et al. Introducing MASC: A movie for the assessment of social cognition. J. Autism Dev. Disord. 36, 623–636. https://doi.org/10.1007/s10803-006-0107-0 (2006).
Montagne, B., Kessels, R. P., De Haan, E. H. & Perrett, D. I. The emotion recognition task: A paradigm to measure the perception of facial emotional expressions at different intensities. Percept. Mot. Skills. 104(2), 589–598 (2007).
Kometer, R. & Hofbauer, E. Knowing the limits: Surface deviation in the mid-spatial-frequency range by deflectometric measurements. In Eighth European Seminar on Precision Optics Manufacturing (Vol. 11853, 85–95). SPIE. (2021).
Wunderli, M. D., Vonmoos, M., Treichler, L., Zeller, C., Dziobek, I., Kraemer, T., & Quednow, B. B. (2018). Social cognition and interaction in chronic users of 3, 4-methylenedioxymethamphetamine (MDMA,“ecstasy”). Int. J. Neuropsychopharmacol. 21(4), 333-344.
Rocha, J. M., Rossi, G. N., de Lima Osório, F., Bouso, J. C., de Oliveira Silveira, G., Yonamine, M., & Dos Santos, R. G. (2021). Effects of ayahuasca on the recognition of facial expressions of emotions in naive healthy volunteers: A pilot, proof-of-concept, randomized controlled trial. J. Clin. Psychopharmacol. 41(3), 267–274.
Hartogsohn, I. The psycho-social construction of LSD: how set and setting shaped the American psychedelic experience 1950–1970. (2014). Bar Ilan University.
Adamson, S. & Metzner, R. The nature of the MDMA experience and its role in healing, psychotherapy and spiritual practice. ReVision. 10(4), 59–72 (1988).
Tenenbaum, B. Group therapy with LSD-25. (a preliminary report). Dis. Nerv. Syst. 22, 459–462 (1961).
Arendsen-Hein, G. W. LSD in the Treatment of Criminal Psychopaths. Hallucinogenic Drugs and Their Psychotherapeutic Use 101–106 (HK Lewis & Co. Ltd, 1963).
Leary, T. & Metzner, R. Use of psychedelic drugs in prisoner rehabilitation. Br. J. Soc. Psychiatry, 2(27). (1968).
Author information
Authors and Affiliations
Contributions
This manuscript, titled ‘Effects of Classical Psychedelics on Empathy,’ is a collaborative effort. Amit Olami (AO) led conceptualization, data collection, and writing, while Leehe Peled-Avron (LPA) supervised, double checked calculations and commented on writing. Both authors approved the final version.
Corresponding authors
Ethics declarations
Competing interests
The authors declare no competing interests.
Additional information
Publisher’s note
Springer Nature remains neutral with regard to jurisdictional claims in published maps and institutional affiliations.
Rights and permissions
Open Access This article is licensed under a Creative Commons Attribution-NonCommercial-NoDerivatives 4.0 International License, which permits any non-commercial use, sharing, distribution and reproduction in any medium or format, as long as you give appropriate credit to the original author(s) and the source, provide a link to the Creative Commons licence, and indicate if you modified the licensed material. You do not have permission under this licence to share adapted material derived from this article or parts of it. The images or other third party material in this article are included in the article’s Creative Commons licence, unless indicated otherwise in a credit line to the material. If material is not included in the article’s Creative Commons licence and your intended use is not permitted by statutory regulation or exceeds the permitted use, you will need to obtain permission directly from the copyright holder. To view a copy of this licence, visit http://creativecommons.org/licenses/by-nc-nd/4.0/.
About this article
Cite this article
Olami, A., Peled-Avron, L. Effects of classical psychedelics on implicit and explicit emotional empathy and cognitive empathy: a meta-analysis of MET task. Sci Rep 14, 24480 (2024). https://doi.org/10.1038/s41598-024-74810-w
Received:
Accepted:
Published:
Version of record:
DOI: https://doi.org/10.1038/s41598-024-74810-w













