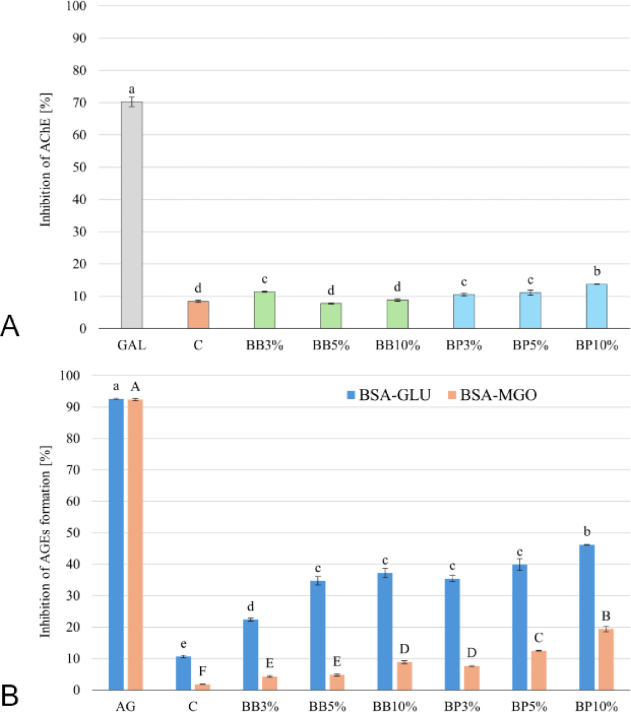
Fig. 2

The inhibitory effects of shortcrust pastry cookies enriched with bee products against acetylcholinesterase (AChE) activity and advanced glycation end product (AGE) formation were determined in two different models, namely BSA-GLU and BSA-MGO. The results are presented as the mean ± standard deviation. The presence of different letters indicates a statistically significant difference (p ≤ 0.05). C – control samples (cookies without the addition of bee products); BB – cookies enriched with bee bread; BP – cookies enriched with bee pollen. The percentages (3%, 5%, 10%) indicate the proportion of bee bread or bee pollen incorporated into the cookies. The positive controls GAL and AG were galantamine and aminoguanidine (1 mM), respectively. Bovine serum albumin (BSA) with glucose (GLU) or methylglyoxal (MGO) was used as the assay.