Abstract
Bee products, including bee pollen (BP) and bee bread (BB) are natural sources that contain a diverse range of bioactive compounds. The objective of this study was to investigate the potential of BP and BB to enhance the functional properties of shortcrust pastry cookies. The impact on BP and BB on the colour parameters, polyphenolic compounds content, heat-induced compounds content (acrylamide, furfural, 5-hydroxymethylfurfural (HMF)), antioxidant properties, and inhibitory effects against advanced glycation end products (AGEs) formation and acetylcholinesterase (AChE) activity was examine by enriching cookies with 3 and 10% of BP or BB. The incorporation of BP or BB resulted in a notable darkening of the cookies. The spectroscopic and chromatographic analyses revealed that the cookies enriched with bee products exhibited an elevated content of phenolic compounds. The antioxidant activity (AA) of the enriched cookies exhibited an average increase of 2- to 3-fold in the ABTS test and 2-fold in the DPPH test. All cookies exhibited inhibitory potential against AGEs formation, witch inhibitory rates ranging from 10.64 to 46.22% in the BSA-GLU model and 1.75–19.33% in BSA-MGO model. The cookies enriched with 10% BP were characterised by to the highest level of AChE activity inhibition (13.72%). The incorporation of BB and BP resulted in elevated concentration of acrylamide, furfural, and HMF. Our findings suggest that bee products may serve as a valuable addition to food ingredients, significantly enhancing the functional properties of shortcrust pastry cookies. However, further investigation is necessary to address the increased level of heat-induced compounds.
Similar content being viewed by others
Introduction
Cookies, including those of the shortcrust pastry variety, are one of the most widely consumed food items across all age groups globally. These ready-to-eat products, which have a long shelf life, are easily accessible and have a pleasant taste. They are a popular choice for snacks, desserts and accompaniments to hot beverages. However, traditional cookies, which are typically made using flour, fat and sugar, have no substantial nutritional value. The regular consumption of such energy-dense, nutrient-poor foods may lead to the development of diet-related diseases such as obesity, type 2 diabetes and cardiovascular diseases1,2.
In recent years, there has been a notable shift in consumer attitudes towards healthy eating. Individuals are increasingly engaged in seeking knowledge, making informed decisions, and developing healthier habits with the objective of enhancing their physical and mental wellbeing. The increasing demand for healthier snack options has prompted food companies to innovate and enhance the nutritional profile of their products. In response to evolving consumer preferences, manufacturers are incorporating bioactive additives (e.g., blackberries, chia seeds, turmeric, goji berries) into their cookie formulations3,4,5.
A category of ingredients that has recently attracted attention for its potential health benefits is that of bee products. These natural substances, including bee pollen and bee bread, possess distinctive nutritional and bioactive properties that extend beyond basic dietary requirements. Bee pollen is a raw material collected by honeybees from plants. Bee bread, in turn, is formed from bee pollen, honey and secretions of bees’ salivary glands and is recognised as the main source of food for the hive colony. Bee products contain a diverse range of beneficial compounds, including polyphenols, enzymes, vitamins, minerals and others, which have been linked to numerous health advantages6,7,8. The incorporation of bee products into baked goods may confer a number of benefits, including antioxidant, anti-inflammatory, antimicrobial and immunomodulatory properties. This could enhance the nutritional value of the product and potentially improve its taste and texture. To date, several studies have explored the addition of bee products into cookies, although, to the best of our knowledge, the number of such investigations remains limited and they focus primarily on the impact of bee products on total phenolic content (TPC), AA and sensory properties of cookies9,10,11,12.
The objectives of this study was to investigate the effects of incorporating bee pollen and bee bread of Polish origin into a shortcrust pastry cookie formulation. In particular, the profile of phenolic compounds (HPLC-DAD-MS) and the total polyphenol and flavonoid contents in cookies enriched with bee products were determined. Furthermore, AA (DPPH, ABTS), anti-advanced glycation end-products (anti-AGEs) and anti-cholinergic (anti-AChE) activity were also evaluated. Moreover, the content of heat-induced compounds (acrylamide, furfural and HMF) was analysed to guarantee the safety and quality of the products. Finally, the color parameters and sensory properties of the cookies were examined. This research aimed to contribute to the development of healthier snack options that cater to the growing consumer demand for nutritious and beneficial foods by exploring the potential of bee products as functional ingredients in shortcrust pastry cookies.
Methods
Chemicals
The following reagents: water, methanol, acetonitrile, Folin-Ciocalteu’s phenol reagent, 2,2’-azinobis(3-ethylbenzothiazoline-6-sulfonic acid) diammonium salt (ABTS), 2,2-di(4-tert-octylphenyl)-1-picrylhydrazyl (DPPH), 6-hydroxy-2,5,7,8-tetramethylchroman-2-carboxylic acid (Trolox), acetylcholinesterase (AChE) from electric eels (type V), galantamine hydrobromide (GAL), 5,5′[2-nitrobenzoic acid] (DTNB), acetylthiocholine iodide (ATCI), glucose (GLU), methylglyoxal (MGO), bovine serum albumin (BSA), aminoguanidine hydrochloride (AG), ammonium formate, formic acid, potassium hexacyanoferrate (C6FeK4N6), zinc acetate dehydrate (ZnC4H6O4*2H2O), acrylamide, furfural and 5-HMF were obtained from Sigma Chemical Co. (St. Louis, MO, USA). Magnesium sulphate anhydrous p.a. and sodium chloride p.a. were from POCh SA, Poland. Analyzed phenols included protocatechuic acid, m-hydroxybenzoic acid, chlorogenic acid, salicylic acid, caffeic acid, syringic acid, sinapic acid, ferulic acid, p-coumaric acid, m-coumaric acid, o-coumaric acid, gallic acid, o-hydroxybenzoic acid, 3,4-dihydroxyphenylacetic acid, trans-cinnamic acid, vanillic acid, ellagic acid, vitexin, rutin, catechin, quercetin, apigenin, kaempferol, orientin, naringenin and myricetin were also purchased from Sigma Chemical Co. (St. Louis, MO, USA). Acetonitrile, methanol, hexane and glacial formic acid HPLC grade for liquid chromatography were purchased from Merck KGaA, Germany. PSA (primary and secondary amine) and C18 SPE Bulk Sorbents derived from Agilent Technologies, USA. Deionised water (18 mΩ/cm) was produced by a Milli-Q system (Millipore, USA).
Bee products preparation
In 2021, a professional beekeeper procured bee bread and bee pollen from the same apiary in the Kujawy region (central Poland). Following the delivery of these bee products to Olsztyn (Department of Human Nutrition, UWM, Olsztyn), the samples of bee bread (BB) and bee pollen (BP) underwent a freeze-drying process and were subsequently pulverised. The resulting powdered material was stored at -24 °C until further analysis.
Preparation of shortcrust pastry cookies
The material employed in the present study was experimental shortcrust pastry. The control cookies were prepared in accordance with a traditional method, utilising based on 250 g of white wheat flour (type 500), 125 g of butter (milk fat content exceeding 82%), 0.5 g of salt, 25 g of sugar powder, 40 g of milk (milk fat content 2%) and 2 egg yolks. The shortcrust pastry cookies enriched with bee products were prepared by replacing 3, 5 and 10% of the flour weight with bee pollen or bee bread. The ingredients were combined using a VC750 mixer (Sonics & Materials, Newtown, CT, USA), and the resulting dough was subsequently kneaded by hand. Subsequently, the dough was placed in a cookie machine (TESCOMA Delicia, Zlin, Czech Republic) to achieve a uniform product shape (diameter of 30 mm and thickness of 7 mm). The cookies were baked in an electric oven (Unox type XVC 105, Padova, Italy) at 180 °C for 16 min. The baked cookies were cooled to room temperature prior to analysis.
Colour parameters
The colour of the cookies was analysed in the CIE Lab system (L*, a*, b*) using a Konica Minolta CR-400 chromameter (Osaka, Japan) with a measurement area of 8 mm. Prior the measurement, the chromameter was calibrated using a white standard plate, with the following values: Y = 89.3, x = 0.3159, and y = 0.3225. The measurements were conducted with the use of illuminant D65, and a standard observer with a 2° field of view. Calorimetric measurements were conducted at three randomly selected points on the surface of six cookies, and the resulting values were averaged. The brightness (L*), redness (a*) and yellowness (b*) values obtained were employed in the calculation of the chroma value (C*) (Eq. 1), the hue angle value (hº) (Eq. 2), total color difference (ΔE) (Eq. 3) and the browning index BI (Eq. 4).
where: \(\:x=\frac{{a}^{*}+{\text{1,75}L}^{*}}{{\text{5,645}L}^{*}+{a}^{*}-{\text{3,012}b}^{*}}\)
Extraction procedure of polyphenols
The cookies were ground and the 200 mg of the obtained powder was extracted with 1 mL of 80% methanol (v/v) according to methodology described by Starowicz et al.13. This solution was vortexed for 30 s, and then placed in an ultrasonic bath for a future 30 s. This process was repeated three times. Subsequently, the samples were subjected to centrifugation at 14,000 rpm for 10 min at 4 °C (VWR Micro Star 30R, Radnor, PA, USA). The resulting supernatants were transferred to 5 mL vials, and the residual samples were re-suspended in fresh extraction solvent. These steps were repeated five times until 5 mL of each sample supernatant had been extracted. Each sample was prepared in triplicate.
The aforementioned procedure was undertaken to obtain material for the determination of antioxidant activity (AA), total phenolic content (TPC), total flavonoid content (TFC), and the profile of phenolic compounds by HPLC-DAD-MS of shortcrust pastry cookies. To ascertain the anti-AGEs (BSA-GLU, BSA-MGO) and anti-AChE activity, the solvent was removed via vacuum evaporation, after which the resulting material was dissolved in a solvent suitable for the aforementioned tests.
Determination of polyphenols profile by HPLC-DAD-MS analysis
The analysis of polyphenols was conducted in accordance with methodology previously outlined by Sawicki et al.14. The qualitative and quantitative analysis of polyphenols was conducted using a high performance liquid chromatography (HPLC) system (Nexera XR, Shimadzu, Japan) coupled with a diode array detector (DAD) and a mass spectrometer (LCMS-2020, Shimadzu, Japan). The measurement parameters were as follows: eluent 0.01% formic acid in water with 2 mM ammonium formate (A) and 0.01% formic acid in 95% acetonitrile solution with 2 mM ammonium formate (B). The flow rate was 0.15 mL/min, the scanning mode was in negative ionization, the column was a Column C18 BEH (1.7 μm particle size; 100 × 2.1 mm; Waters, Warsaw, Poland), the oven temperature was 50 °C, and the sample injection volume was 10 µL. An analysis was conducted in the selected ion monitoring mode (SIM). The identified compounds were confirmed based on their qualitative ions, retention times and λmax value, in accordance with the previously published data14,15. The quantity of phenols was calculated from the HPLC-DAD-MS peak area against commercially available standards.
Determination of acrylamide, furfural and HMF
Acrylamide (QuEChERS method)
A representative portion of the sample, comprising one gram, was placed into a 50-mililitre polypropylene (PP) centrifuge tube. Subsequently, 5 mL of distilled water, 5 mL of hexane, and 10 mL of acetonitrile were added to the mixture, which was then vigorously shaken for one minute. Subsequently, 1 g of sodium chloride and 4 g of magnesium sulfate were added, the tube was shaken for an additional minute, and centrifugation was performed (15 min, 10733 ×g, 4 °C). Subsequently, six mililitres of the supernatant were transferred into a PP 15–millilitre tube containing 0.15 g of primary secondary amine (PSA), 0.3 g of C18, and 0.9 g of magnesium sulphate. Following a 30-second period of agitation and 15-minute centrifugation step (10733 ×g, 4 °C), 4 mL of the extract was transferred from the upper layer and subjected to evaporation under an N2 stream until dryness. The resulting residues were dissolved in 100 µL of acetonitrile and subjected to analysis by HPLC-DAD (VWR HITACHI, LaChrom ELITE, Merck KGaA, Darmstadt, Germany)16.
The analysis of acrylamide was performed according to the methodology previously described by Gumul et al.16. The chromatographic separation was conducted at room temperature using a mixture of 0.01 M sulfuric acid in water/methanol (97.5:2.5) in isocratic mode with a C18 reversed-phase column. A C18 column (Lichrospher® 100, RP-18 end-capped, LiChroCART® 4 mm ID × 250 mm, 10 μm, Merck KGaA, Darmstadt, Germany) was used, with a flow rate of 0.7 mL/min. Acrylamide was determined at a wavelength of 200 nm.
Furfural and HMF
Ten mililiters of water were added to 2 g of cookie samples, and the solution was quantitatively transferred to a 25-mililitre volumetric flask. Subsequently, 0.25 mL of Carrez solution I and 0.25 mL of Carrez solution II were added. The volumetric flask was filled to the brim with deionised water. In the case of infusions, 0.07 mL of Carrez solution I and 0.07 mL of Carrez solution II were added to 6.86 mL of the infusion solution. Reagent blank samples were prepared according to the appropriate methodology for all tested analytes17.
The HMF and furfural analysis was conducted using a high-performance liquid chromatography-diode array detector (HPLC-DAD) system (VWR HITACHI, LaChrom ELITE, Merck KGaA, Darmstadt, Germany). The measurement parameters were as follows: eluent water/methanol (9:1, v/v), the flow rate 1 mL/min, UV detection at 285 nm, retention time 9.1 min, column RP-18 Lichrosphere (250 × 4 mm, 5 μm particle size) (Merck, Germany)16.
Total phenolic and flavonoid content
The total phenolic (TPC) and flavonoid (TFC) contents were determined in microplates (FLUOstar Omega, BMG LABTECH, Ortenberg, Germany) in accordance with the methodology previously outlined by Horszwald and Andlauer18. The results were expressed as milligrams of gallic acid equivalent (GAE) per gram for TPC, and as milligrams of quercetin equivalent (QE) per gram for TFC.
Antioxidant activity
The ABTS and DPPH assays, as described by Horszwald and Andlauer18, were employed for the evaluation of the AA of the obtained extracts. The absorbance was determined at 734 nm (ABTS assay) and 517 nm (DPPH assay) using a microplate reader (FLUOstar Omega, BMG LABTECH). The results were expressed as micromoles of Trolox per gram of sample.
In vitro antiglycaemic activity
Bovine serum albumin with glucose assay
The inhibition of advanced glycation end-products (AGEs) formation in the bovine serum albumin with glucose (BSA-GLU) test was evaluated in accordance with the methodology proposed by Przygodzka & Zieliński19. A mixture of 1mL of D-glucose (1.0 M), BSA (10 mg/mL) and sodium azide (0.1 mg/mL) in phosphate buffer (0.1 M, pH 7.4) was incubated at 55 °C for three days with or without 1 mL of the analysed extract, which was dissolved in phosphate buffer. The material obtained (300 µL) was placed into 96-well plates, and the formation of AGEs was determined based on the measurements of fluorescence at λ = 330 nm (excitation wavelength) and λ = 410 nm (emission wavelength) using a SpectraMax iD5 Standard Multi-Mode Microplate Reader (San Jose, CA, USA). The positive control was aminoguanidine (AG). The degree of AGEs inhibition in the BSA-GLU model was calculated according to the following formula:
Bovine serum albumin with methylglyoxal assay
The inhibition of AGEs formation in the bovine serum albumin evaluating using the method proposed by Przygodzka & Zieliński19 with employs the methylglyoxal (BSA-MGO) test. A solution of 1 mg/mL bovine serum albumin (BSA), 5 mM methylglioxal (MGO) and 0.1 mg/mL sodium azide in phosphate buffer (0.1 M, pH 7.4) was incubated at 37 °C for seven days with and without 1 mL of the tested extracts, which were dissolved in phosphate buffer. The material obtained (300 µL) was placed into 96-well plates, and the formation of AGEs was determined based on the measurements of fluorescence at λ = 340 nm (excitation wavelength) and λ = 420 nm (emission wavelength) (SpectraMax iD5 Standard Multi-Mode Microplate Reader). The inhibition of AGEs in the BSA-MGO model was calculated according to the following formula:
In vitro anticholinergic assay
The inhibition of acetylcholinesterase (AChE) was evaluated through a colorimetric method previously described by Eldeen, Elgorashi and Staden20. The following buffers were employed in the analysis: buffer A (50 mM Tris–HCl, pH 8), buffer B (50 mM Tris–HCl, pH 8, containing 0.1% BSA) and buffer C (50 mM Tris–HCl, pH 8, containing 0.1 M NaCl and 0.02 M MgCl2·6H2O). The reaction mixture comprised 25 µL of 15 mM ATCI in water, 125 µL of 3mM DTNB in buffer C, 50 µL of buffer B, 25 µL of the extract, which was prepared in deionized water (0.1–10 mg/mL) or in the absence of extract as a negative control or in the presence of galantamine as a positive control. The mixture was prepared in 96-well plates, and the absorbance was measured at 405 nm every 45 s (five times). Subsequently, 25 µL (0.2 U/mL) of AChE in buffer B was added to each well. The absorbance was recorded eight times at 45 s intervals (TECAN.Infinite M1000 PRO, TK BIOTECH, Warsaw, Poland). The degree of AChE inhibition was calculated according to the following formula:
where: \(\:\varDelta\:Abs\:\left(absorbance\right)=\:{Abs}_{with\:enzyme\:after\:360s}-{Abs}_{without\:enzyme\:after\:225s}\:\)
Sensory analysis
A quantitative descriptive analysis (QDA) utilizing a numerical-interval scale ranging from 1 to 10 points was employed to evaluate the sensory characteristics of the cookies. The evaluation criteria included the evenness of colour (ranging for uneven to even), the intensity of aroma (from absent to very strong): the typicality of flavour (from typical to very strong), the intensity of flavour (from absent to very strong), the texture (ranging from hard to very crispy), and the overall quality (ranging from very poor to excellent). The evaluation panel comprised 10 individuals, comprising both employees and students from the Faculty of Food Science at the University of Warmia and Mazury in Olsztyn, Poland. The panelists were provided with training in the techniques of sensory analysis and the methodology employed for the evaluation of cookies. The evaluation was conducted in the sensory analysis laboratory. The samples were presented to the panelists on white porcelain plates, each bearing a randomly generated three-digit code.
Statistical analysis
The data are presented as mean values ± standard deviations derived from triplicate measurements. The differences between samples were subjected to analyzing using a one-way ANOVA with Tukey’s test, witch a significance level of p < 0.05. Pearson’s linear correlation was employed to quantify the measure the statistical relationship between TPC, TFC, Total Polyphenol Index (TPI), individual phenolics and ABTS, DPPH, BSA-GLU, BSA-MGO, AChE. TPI is an indicator calculated as the sum of individual phenolics identified in the tested samples by HPLC-DAD-MS analysis. TPC, in turn, refers to the amount of polyphenols determined by the spectrophotometry method. The statistical analysis was conducted using STATISTICA 13.0 (StatSoft Inc., Tulsa, OK, USA).
Results and discussion
Colour parameters
The images of baked shortcrust pastry cookies enriched with bee bread or bee pollen are presented in Fig. 1. Colour is an essential distinguishing feature that primarily determines the acceptance or rejection of food products. The addition of bee bread or bee pollen resulted in a significant (p ≤ 0.05) darkening of the colour of shortcrust pastry cookies, as indicated by a reduction in the L* value extent of colour change was found to be directly proportional to the amount of bee products added to the cookies (Table 1). It is noteworthy that no statistically significant alterations in the L* parameter were discerned between the cookies with identical quantity of bee bread or bee pollen (p > 0.05). The addition of bee bread or bee pollen may influence the colour of the cookies for a number of reasons. Firstly, it should be noted that bee bread and bee pollen are naturally darker in colour than the flour and other ingredients used to make cookies21. Secondly, the Maillard reaction occurs during the baking process. This chemical reaction between amino acids and reducing sugars results in the formation of melanoidins, compounds that impart a darker colour and distinctive flavour to food9,22. Lastly, both the bee pollen and bee bread contain higher amounts of protein and reducing sugars than flour. Consequently, more melanoidins ara formed in cookies enriched in bee products than in control samples10.
Shortcrust pastry cookies enriched with bee products. C – control samples (cookies without the addition of bee products); BB – cookies enriched with bee bread; BP – cookies enriched with bee pollen. The percentages (3%, 5%, 10%) denote the proportion of bee bread or bee pollen incorporated into the cookies.
The addition of bee pollen or bee bread to cookies resulted in a significantly higher (p ≤ 0.05) red colour saturation (a*) compared to control samples. The degree of redness observed in the cookies increased in proportion to the quantity of bee products incorporated (Table 1). It is noteworthy that the addition of 10% bee pollen resulted in a significantly higher red colour saturation compared to the cookies enriched with 10% bee bread. The intensity of the yellow colour (b* parameter) was found to decrease with the amount of bee products added (Table 1). The addition of 10% bee bread or 5–10% bee pollen resulted in statistically significant (p ≤ 0.05) alterations in the colour factor. Given that carotenoids and flavonoids are the primary pigments of bee pollen and bee bread, it can be posited that their content and proportions may be responsible for the observed increase in redness and reduction of yellowness in the colour of shortcrust pastry cookies10,23.
The C* parameter is used to quantified the degree of colour saturation. The addition of 3–5% bee bread or bee pollen to cookies resulted in a colour saturation that was not statistically different from that of the control samples (p > 0.05) (Table 1). In contrast, cookies containing 10% bee pollen or bee bread exhibited a significantly lower (p ≤ 0.05) degree of colour saturation than the other cookies. The results of the h° parameter analysis which characterises the colour angle, demonstrated that the addition of bee bread or bee pollen significantly (p ≤ 0.05) influenced the colour shade, causing in to shift towards yellow. The highest values for this parameter were observed in cookies with the addition of 10% bee pollen, which exhibited an h° value that was three times higher than that of the control cookies (Table 1).
The colour produced during the baking of cookies is referred to as browning. The browning index (BI) is calculated based on the primary colour parameters (L*, a* and b*). The incorporation of bee pollen or bee bread was found to significantly (p ≤ 0.05) enhance the browning rate of the shortcrust pastry cookies (Table 1). It was observed that an increase in the proportion of bee products added resulted in a corresponding elevation in the BI values of the products. No significant differences were observed in the BI parameter between cookies containing the same amount of bee pollen or bee bread. As previously stated, the darkening of the cookies can be attributed, among other factors, to the Millard reaction that occurs during baking. The darkening of the colour of cookies with the addition of bee products has also been demonstrated by the other researchers9,10,11,22. The total colour change (ΔE) was found to increase significantly (p ≤ 0.05) with the amount of bee products added (Table 1). The ΔE values obtained between cookies enriched with bee products and the control cookies were greater than 5 (ΔE > 5), which, according to the literature24, indicates a noticeable difference in colour between the two products.
Total phenolic and flavonoid contents
Table 2 presents the total phenolic (TPC) and total flavonoid (TFC) contents in shortcrust pastry cookies that have been enriched with the addition of 3%, 5% or 10% of bee pollen or bee bread. The results demonstrate that the TPC in the cookies increased in proportion to the levels of bee pollen or bee bread added. The highest TPC was observed in the cookies enriched with 10% bee pollen (1.71 ± 0.06 mg GAE/g), which was approximately three times higher than that of control samples. The results presented here are in agreement with those reported in previous studies. The general trend indicates that the TPC tends to increase in baking products (cookies, bread) with higher amounts of added bee pollen9,11,12,25 or bee bread12. However, it should be noted that the TPC identified in these research studies vary across different products. The discrepancies in TPC observed in the aforementioned studies and our own may be attributed to the raw materials employed in the preparation of baked goods. For instance, the type of flour utilized can influenced the phenol content26,27. Furthermore, as demonstrated in our preceding study, the geographical provenance of bee pollen and bee bread is a significant factor influencing the final content of bioactive compounds28.
Similarly to the findings observed in TPC, the TFC in the shortcrust pastry cookies demonstrated a parallel increase in correlation with the level of bee product addition. The highest TFC was noted in cookies with 10% bee pollen addition (1.12 ± 0.06 mg QE/g). The addition of 3–5% bee bread or 3% bee pollen to the cookies did not result in significant increase in TFC when compared to the control samples (p > 0.05; Table 2). To the best of our knowledge, the available literature does not provide information regarding TFC in baked goods that have been enriched with bee products. The observed significant increase in TFC in the cookies enriched with 10% bee products may be attributed to a number of factors. It was hypothesised that the higher additions of bee products to the dough may provide a protective effect by reducing the relative loss of these compounds during baking. Additionally, it was postulated that a matrix effect of the cookie’s ingredients may have an overall effect on the release and measurement of flavonoids. At lower concentrations of added bee products to the cookies the other compounds may hinder the availability or stability of flavonoids. Consequently, further studies are required to elucidate the mechanisms behind these observations.
Profile of phenolic compounds
The profile of phenolic compounds in shortcrust pastry cookies enriched with 3%, 5% or 10% of bee pollen or bee bread is presented in Table 3. The results of the HPLC-DAD-MS analysis demonstrated notable variations in the concentration and profile of phenolic acids and flavonoids between the analysed samples. The total phenolic index (TPI) demonstrated a proportional increase with the incorporation of bee products (p ≤ 0.05). The highest concentration of phenol compounds was observed in the cookies enriched with 10% bee pollen (354.09 µg/g), while the lowest was found in the control cookies (88.27 µg/g). In general, the addition of bee pollen resulted in a higher TPI value than with the addition of bee bread. The incorporation of bee bread or bee pollen into the cookie formulation resulted to the average increase of 66.94% and 70.74%, respectively, in phenolics content when compared to the control samples.
A total of nine compounds were identified in the analysed samples, comprising five (chlorogenic acid, p-coumaric acid, syringic acid, benzoic acid, and ferulic acid) compounds belonging to the group of phenolic acids and four (quercetin, rutin, naringenin, and apigenin) compounds from the group of flavonoids. In the control cookies, only four compounds were identified: chlorogenic acid, syringic acid, ferulic acid and rutin. Of these, with ferulic acid had the highest value (71.67% of the TPI). The concentration of ferulic acid exhibited a statistically significant increase (p ≤ 0.05) with the addition of bee products, with the highest value observed in cookies containing 10% bee pollen (64.05 µg/g). The control cookies were also distinguished by a considerable quality of rutin (22.28% of TPI). In a manner analogues to ferulic acid, the incorporation of bee products into the cookies resulted in an elevation in the concentration of rutin by an average of 58.99% in cookies with the addition of bee pollen and 27.52% with the addition of bee bread. Chlorogenic and syringic acids were present in lesser amounts in the control cookies.
The incorporation of bee pollen or bee bread into the shortcrust pastry cookies resulted in the presence of p-coumaric acid, benzoic acid, quercetin, naringenin and apigenin, which were not detected in the control cookies (Table 3). The highest concentration of these compounds was observed in cookies containing 10% bee pollen. The p-coumaric content was determined to be 35.94 µg/g on average, representing 12.67% of TPI. The presence of benzoic acid was observed in cookies containing 5% bee pollen and 10% bee bread with the exception those containing 10% bee pollen. The concentration of quercetin, one of the major flavonoids detected in the cookies enriched with bee products, was found to account for an average of 25.64%. Furthermore, the incorporation of bee products let to the emergence of naringenin. The cookies that have been enriched with 5–10% bee pollen exhibited a higher naringenin content than those that have been augmented with bee bread. As with the other identified compounds, the content of quercetin and naringenin generally increased with the addition of bee products. It is noteworthy that, apigenin was only identified in cookies with 5% or 10% bee bread supplementation. The concentration of this flavonoid was quantified at 5.26 and 5.64 µg/g in BB5% and BB10%, respectively, representing 2.01% and 1.95% of TPI.
It was demonstrated that phenolic acids and flavonoids exhibit a wide range of protective health benefits. Chlorogenic acid is renowned for its antioxidant attributes, which can assist in a reduction of oxidative stress and inflammation within the body29. p-Coumaric acid and benzoic acid have been linked to antimicrobial properties30. Furthermore, ferulic acid, has been linked to the prevention of chronic diseases31. The flavonoids identified in the cookies, such as quercetin and naringenin, are known to support cardiovascular health by reducing inflammation, strengthening blood vessels and offering lipid-lowering benefits, which are crucial for the prevention of metabolic syndrome32.
To the best of our knowledge, the existing literature on the profile and content of phenolic compounds identified in different bakery products enriched with bee pollen or bee bread is limited. Ertosun et al.12 demonstrated the presence of a single flavonoid, namely quercetin-3-O-rhamnoside, in bread samples with 1, 3 or 5% addition of bee pollen, while no phenolic compounds were identified in bread samples with the addition of bee bread. The differences in the presence of phenolic compounds between the aforementioned studies and the current study may be attributed to the varying quantities of bee products employed. In the present study, the flour was replaced with 3 to 10% bee pollen or bee bread, whereas in the study conducted by Ertonus et al.12, the addition was at 1–5%. Another potential explanation for the absence of phenolic compounds in bread with the addition of bee products is the degradation of these compounds due to the high temperatures typically encountered during the baking process. It has been previously demonstrated that baked products exhibit a markedly diminished level of phenolic compounds as a consequence of the depolymerisation of polyphenols and decarboxylation of phenolic acids that occur during thermal treatment9,33. Moreover, it has also been reported that the fate of polyphenols during heat treatment might be associated with a set of reactions, such as oxidative degradation of phenolic acids, and/or the release of free acids from conjugate forms, and/or the formation of complex structures between individual phenolics and other food matrix constituents, i.e.: proteins34. Another literature report showed that the total flavonoid content (sum of flavonoid derivatives) decreased after baking bread mainly due to quercetin glycosides decomposition and transformation into quercetin35. According to these authors, quercetin is very stable in baking, unlike glycosides, dimers and trimers. It should be emphasized that it is important to characterize the fate of polyphenols during heat treatment of food, as the temperature may affect their structure and thus their bioactivity. In conclusion, the addition of bee bread or pollen to cookies may result in a notable increase in polyphenol content, thereby enhancing the overall health benefits of the final product and potentially positively impacting consumer health.
Acrylamide, furfural and HMF contents
The concentration of acrylamide in shortcrust pastry cookies that had been enriched with bee pollen or bee bread is presented in Table 4. It was observed that the acrylamide content of the cookie samples increased in proportion to the level of addition of bee products to the dough formulation. The highest amount of acrylamide was noted in the BP10% and BB10% cookies (Table 4). The lowest acrylamide content was detected in the control samples with exhibited approximately 30% less than BP10% and BB10% cookies.
The most probable route regarding the formation of acrylamide was reported to be the reaction of free asparagine and reducing sugars during the processing of foods at high temperatures (Maillard reaction)36. Previously published data indicated that asparagine was one of the most prevalent free amino acids in bee pollen37,38. Furthermore, this amino acid is also present in bee bread, albeit at a lower level38. The reduced levels of asparagine in bee bread may be attributed to the fermentation process (microbial activity) and acidic conditions, which facilitate the amination of this amino acid38,39. It was hypothesised that the acrylamide level in the shortbread cookies enriched with bee products would be higher than in the control samples, given that bee pollen and bee bread are rich sources of reducing sugars (glucose and fructose)40.
This is the inaugural study to present the acrylamide level in shortcrust pastry cookies that have been enriched with bee pollen or bee bread. To date, only one paper has been identified that examines the use of bee products, specifically honey, in bakery products in relation to acrylamide levels36. The authors demonstrated that the addition of honey resulted in the formation of high levels of acrylamide in the cookies with concentration of 374.25, 495.3, and 598.63 ng/g in cookies with 60, 80, and 100% honey, respectively. The authors conclude that the amount of acrylamide detected in the cookie samples reached very high values. To the best of our knowledge, no indications or restrictions have been reported with regarded to the acrylamide content in shortcrust pastry cookies. In the present study, the acrylamide content in the control samples did not exceed the reference level of 300 µg/kg established by the Commission Regulation (EU) for analogous products in the category comprising biscuits, wafers, crackers, crispbread, and gingerbread41. However, the cookies enriched with bee bread or bee pollen exhibited a higher acrylamide content than the aforementioned reference level. It is therefore important to consider that the addition of bee bread or bee pollen to cookies may result in an increased exposure to acrylamide.
The highest concentration of HMF was observed in the cookies that have been enriched with 10% bee pollen (4.28 ± 0.14 µg/kg) (Table 4). The control cookies exhibited a 38% and 60% reduction in HMF levels, respectively in comparison to the BB10% and BP10% samples. The finding suggest that a bee pollen exerts a more pronounced effect on the HMF level of cookies than bee bread. Previous data from our laboratory demonstrated that bee products are characterised by a high fructose: glucose ratio40. These reducing sugars may be employed in the generation of HMF through the formation of a dicarbonyl intermediate, 3-deoxyglucosone, derived from the Maillard reaction and caramelisation42,43. Furthermore, the formation of acrylamide and HMF during the baking of cookies may also by influenced by the ratio of glucose and fructose to asparagine in wheat flour42. HMF is present in a range of foodstuffs with typical daily consumption levels ranging from 30 to 150 mg per person. Nevertheless, the safe levels of HMF intake remain poorly understood, likely due to the considerable inter-individual variability in metabolic, biotransformation, and excretion processes that influence its clearance from the body44,45.
The current study revealed that the furfural content in the cookies ranged from 5.93 to 13.20 mg/kg (Table 4). The incorporation of bee products into the dough let to an elevated furfural formation, exhibiting a concentration-dependent response. The greatest increase was observed in the cookies containing 10% of bee pollen and bee bread (by 55.1 and 53.5%, respectively) in comparison to the control cookies. Furfural, like other heat-induced compounds, is generated primarily during baking as a result of processes such as caramelisation and Maillard reactions46. Similarly, there are no established guidelines or restrictions for furfural intake, as there ate for HMF. Nevertheless, it has been demonstrated that excessive consumption of this compound may result in a range of cause many adverse effects, including eye irritation, nausea, headaches and weakness47.
Antioxidant activity (AA)
In order to evaluate the impact of incorporating bee products on the antioxidant profile of cookies, spectrophotometric assays were employed, utilising the DPPH and ABTS methods (Table 2). The results demonstrated a significant enhancement in the AA of the cookies with the addition of bee bread or bee pollen, in comparison to the control samples. The AA, as determined by the ABTS assay exhibited the notable increase with the incorporation of bee products. The cookies enriched with 10% bee pollen exhibited a value approximately five times higher than that of the control cookies (7.78 ± 0.18 µmol TE/g). A comparable pattern was identified in the DPPH assay, wherein the cookies with 10% bee pollen incorporation demonstrated the most pronounced AA (5.62 ± 0.23 µmol TE/g). The observed increase in antioxidant capacity was directly proportional to the quantity of bee products incorporated to the cookies. The results of the ABTS and DPPH assays also indicated that the antioxidant capacity of the cookies was enhanced to a greater extent by the addition of bee pollen than by the addition of bee bread. The addition of bee pollen to the cookies resulted in significantly higher antioxidant activities (ABTS and DPPH) compared to the cookies containing bee bread. This discrepancy may be attributed to the elevated concentration of phenolic compounds in bee pollen, which is abundant in bioactive compounds such as flavonoids and phenolic acids, renowned for their potent antioxidant effects28.
The results of the present study corroborate dose of previous studies, which have demonstrated that bee pollen and bee bread are potent sources of antioxidants. For example, Ertosun et al.12 demonstrated that bread enriched with bee pollen and bee bread exhibited higher AA than the control group. Similarly, Krystjan et al.9 reported that the addition of greater quantities of pollen have resulted in a notable enhancement in the AA of the biscuits. Additionally, Végh et al.10 observed a notable enhancement in antioxidant capacity for biscuits incorporating pollens at a 10% substitution level in comparison to the control group. These consistent observations across various studies indicate that the addition of bee products to cookies enhances their antioxidant properties thereby potentially contributing to the better management of oxidative stress and inflammation, which may, in turn, support the overall health of consumers.
Anti-AChE and anti-AGEs activity
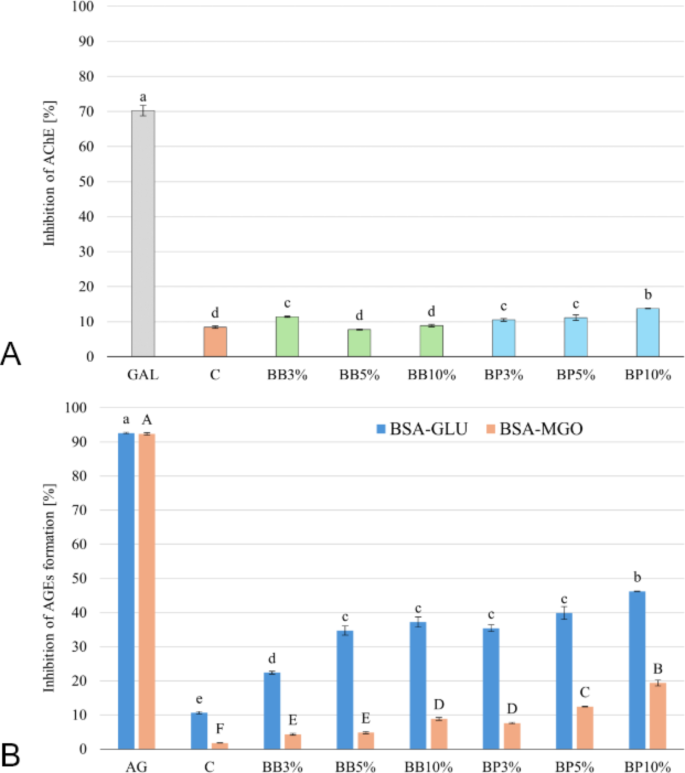
The anti-AGEs and anti-AChE potential was evaluated through an in vitro assay, which assessed the ability of the extracts obtained from the cookies enriched with bee products to inhibit AGEs formation and AChE activity (Fig. 2). All of the extracts obtained from the cookies demonstrated inhibitory potential against AGEs formation. The percentage of inhibition of AGEs formation ranged from 10.64 to 46.22% and from 1.75 to 19.33% in the BSA-GLU and BSA-MGO glycation models, respectively (Fig. 2A). The extracts from the BP5% and BP10% samples exhibited the most pronounced anti-AGE activity in both models used when compared to the other analysed materials. In the BSA-GLU model, where the initial product of the glycation reaction is predominantly quantified, the AGEs inhibition observed for the BP5% and BP10% extracts approximately three- and four-fold higher, respectively, than that observed for the control samples. The results obtained for the BSA-MGO model indicated that the BP5% and BP10% extracts were more potent inhibitors of highly reactive AGEs triggered by MGO as the main precursor. The AGEs are known to include carboxyethyl-lysine, argpyrimidine, and methylglyoxal lysine dimers48. The inhibition percentages observed for the tested extracts were approximately six- and ten-fold higher than those of the control sample. As documented in aforementioned reference, glyoxal or MGO has been demonstrated to facilitate the formation of intracellular AGEs, which exert a profound impact on target cells (e.g., endothelial cells, neurons, renal cells). This, in turn, gives rise to pathogenesis through a range of mechanisms, including, but not limited to, pro-inflammatory responses and the generation of reactive oxygen species. Furthermore, the literature indicates that the blood glucose levels were significantly reduced in the group of streptozotocin-induced diabetic rats treated with bee bread samples in comparison to the group where glibenclamide was used as the standard drug49. This suggests that bee bread may represent an effective source of biologically active molecules for the treatment of hyperglycaemia.
The inhibitory effects of shortcrust pastry cookies enriched with bee products against acetylcholinesterase (AChE) activity and advanced glycation end product (AGE) formation were determined in two different models, namely BSA-GLU and BSA-MGO. The results are presented as the mean ± standard deviation. The presence of different letters indicates a statistically significant difference (p ≤ 0.05). C – control samples (cookies without the addition of bee products); BB – cookies enriched with bee bread; BP – cookies enriched with bee pollen. The percentages (3%, 5%, 10%) indicate the proportion of bee bread or bee pollen incorporated into the cookies. The positive controls GAL and AG were galantamine and aminoguanidine (1 mM), respectively. Bovine serum albumin (BSA) with glucose (GLU) or methylglyoxal (MGO) was used as the assay.
The finding of study also demonstrated that the extract derived from the BP10% sample exhibited the most pronounced inhibitory effect on AChE activity, when compared to other materials (Fig. 2B). The percentage inhibition of AChE was 62% higher than the observed in the control samples. As previously indicated in the literature, certain bee products including propolis, have been demonstrated to exhibit to inhibitory activities against AChE50. In light of the aforementioned results and the existing literature, it can be posited that the inhibitory potential of the tested bee products against both AGEs formation and AChE activity can be attributed to a polyphenol profile. The results of our study demonstrated that the BP5% and BP10% samples exhibited the highest concentration of individual polyphenols and flavonoids with value of 173.97 and 206.55 µg/g, respectively. A number of recent studies indicate that the inhibition of reactive carbonyl group formation using flavonoids represents a promising strategy for the prevention of protein glycation. This is because the addition of quercetin and its glycosylated form (rutin) during the in vitro glycation process has been shown to effectively inhibit sugar-mediated non-enzymatic protein glycation49,51. Additionally, it was demonstrated that quercetin and rutin exhibited robust inhibition of AChE and BChE. which are pivotal enzymes implicated in neurodegenerative disorders52.
Sensory evaluation
In the course of examination of the cookie samples, eight individual quality features were taken into account. These included one attribute of appearance (colour evenness), three aroma characteristics (typical, honey, fat), three taste characteristics (typical, sweet, honey), and one texture determinant (crispness in the mouth). Additionally, an overall score was calculated for all samples, which represents the overall sensory quality based on the collective assessment of individual characteristics, including appearance, aroma, taste, and texture. The discriminants that described the quality characteristics of the tested samples are presented in a spider diagram Fig. 3A. The results obtained indicate that there were statistically significant differences between the samples in terms of aroma and taste. No statistically significant differences were observed in the texture of the cookies (Fig. 3A) or in the overall evaluation (Fig. 3B). Similarly, Conte et al.25 demonstrated significant discrepancies between the gluten-free control and the fortified bread with 1–5% bee pollen for all the evaluated attributes (colour, odour, sweetness, flavour, overall acceptance) with the exception of hardness.
Spider diagram showing the effects of the addition of bee products on the QDA parameters (A) and overall quality (B) of shortcrust pastry. The “*” in Fig. 2A indicates that the results are statistically significant differences as indicated by p ≤ 0.05. C - control samples ( cookies without addition of bee products); BB - cookies enriched with bee bread; BP - cookies enriched with bee pollen. The percentages (3%, 5%, 10%) indicate the proportion of bee bread or bee pollen incorporated in the cookies.
The analysis of the features describing the aroma and flavour of the cookie samples with the addition of bee products demonstrated that cookies with a 3% addition of bee bread and pollen were rated similarly to the control samples in terms of colour uniformity. The products containing higher levels of these ingredients (5 and 10%) exhibited a more uneven colouration. Our findings align with those reported by Ertosun et al.12, who similarly observed that changes in colour are less well-received by consumers, particularly in bakery products, with a greater incorporation of bee products. Furthermore, the aforementioned study also indicate that the visual perception of the colour of bakery products significantly influences the overall acceptance of these product.
The intensity of the typical shortcrust cookie aroma was only significantly different in the samples with the highest (10%) addition of pollen, rendering the difference in aroma less noticeable. The honey aroma was more pronounced in the cookies with pollen added than in those with bee bread. Furthermore, the quality of pollen incorporated exerted a considerable influence on the perception of the honey aroma, whereas the amount of bee bread employed did not differentiate the cookies in this regard. In the samples that were supplemented with both bee bread and pollen, the fatty aroma was less discernible than in the control products. The cookies with 3 and 5% additions of bee bread or pollen were evaluated in a similar manner with respect to the intensity of the flavour characteristic of shortcrust cookies in comparison to the control samples. However, with regard to the flavour typical of shortcrust cookies, this attribute was significantly less noticeable in samples with a 10% addition of bee products. In terms of sweet taste intensity, the samples with additives obtained scores that were comparable to those of the control sample. Furthermore, no notable discrepancies was observed in the evaluation of the honey flavour intensity in cookies with the incorporation of bee bread and pollen. These observations indicate that, the type and quantity of added bee products significantly influence the sensory characteristics of the analysed cookies.
Pearson’s correlation
Pearson’s correlation analysis demonstrated that antioxidant capacity parameters (ABTS and DPPH) and anti-AGE activity models (BSA-GLU and BSA-MGO) exhibited a high and statistically significant correlation (p < 0.05) with the content of TPC, TFC and TPI (Table 5). The results obtained are consistent with those presented in our previous paper, in which we observed a high correlation between the ABTS and DPPH assays and TPC and TFC in different bee products28. Furthermore, the antioxidant capacity parameters demonstrated a significant positive correlation with benzoic, ferulic acids and rutin. A positive correlation was identified between two phenolic acids (p-coumaric and ferulic acids), three flavonoids (quercetin, naringenin, and rutin) and the BSA-GLU model system. The BSA-MGO model system exhibit a high degree of correlation with chlorogenic, benzoic, ferulic acids and rutin. Our findings corroborate those of previous studies which have demonstrated that p-coumaric, ferulic acid, rutin and quercetin can effectively inhibit the formation of AGEs14,49. The results of the present study demonstrated a significant positive correlated (p < 0.05) between the anti-AChE values and the rutin content. As previously stated, published data indicated that rutin demonstrated potent inhibition of AChE52.
A negative correlation was observed between the L*, b*, and C* colour parameters and the concentration of heat-induced compounds, namely acrylamide, HMF, and furfural. In contrast, a strong correlation was observed between the concentration of furfural and HMF and a*, h°, BI, and ΔE. As evidenced in the literature, the a* parameter demonstrated the strongest correlations with browning reactions (r = 0.5941, p = 0.0001), indicating that the presence of red colour can be directly related to browning53. The authors also found that the browning process exhibited negative correlation with L* (r = − 0.6420, p < 0.0001), resulting in a reduction in the products luminosity. Similarly, the present study’s findings align with those of the aforementioned research, which also identified a significant correlation between acrylamide and the a* parameter. Consequently, the a* parameter can be employed as an indirect index for monitoring the formation and content of acrylamide in intensely heated products18.
Conclusion
The results of the current study demonstrated that the enrichment of shortbread cookies with bee pollen and bee bread significantly increased the polyphenols content and improved health-promoting potential in terms of antioxidant, ant-AGEs and anti-AChE activity of the cookies. The addition of bee products to of shortcrust pastry cookies did not significantly affect sensory acceptability. It should be noted, however, that the addition of bee products may have unfavorable effects related to the increase in the content of heat treatment substances. Therefore, it is necessary to conduct further research on the use of bee products as a functional ingredient in bakery products.
Data availability
Data is provided within the manuscript or supplementary information files.
References
Goubgou, M. et al. A systematic review and meta-analysis of improving the nutritional quality and health benefits. Food Prod. Process. Nutr. 3, 26. https://doi.org/10.1186/s43014-021-00071-z (2021).
Clemente-Suárez, V. J., Beltrán-Velasco, A. I., Redondo-Flórez, L., Martín-Rodríguez, A. & Tornero-Aguilera, J. F. Global impacts of western diet and its effects on metabolism and health: a narrative review. Nutrients. 15, 2749. https://doi.org/10.3390/nu15122749 (2023).
Guiné, R. P. F., Florença, S. G., Barroca, M. J. & Anjos, O. The link between the consumer and the innovations in Food Product Development. Foods. 9, 1317. https://doi.org/10.3390/foods9091317 (2020).
Rabadán, A., Nieto, R. & Bernabéu, R. Food innovation as a means of developing healthier and more sustainable foods. Foods. 10, 2069. https://doi.org/10.3390/foods10092069 (2021).
Nieto, G. et al. Applications of plant bioactive compounds as replacers of synthetic additives in the food industry. Foods. 13, 47. https://doi.org/10.3390/foods13010047 (2024).
Kafantaris, I., Amoutzias, G. D. & Mossialos, D. Foodomics in bee product research: a systematic literature review. Eur. Food Res. Technol. 247, 309–331. https://doi.org/10.1007/s00217-020-03634-5 (2021).
Martinello, M. & Mutinelli, F. Antioxidant activity in bee products: a review. Antioxidants. 10, 71. https://doi.org/10.3390/antiox10010071 (2021).
Giampieri, F. et al. Bee products: an emblematic example of underutilized sources of bioactive compounds. J. Agric. Food Chem. 70 (23), 6833–6848. https://doi.org/10.1021/acs.jafc.1c05822 (2022).
Krystyjan, M., Gumul, D., Ziobro, R. & Korus, A. The fortification of biscuits with bee pollen and its effect on physicochemical and antioxidant properties in biscuits. LWT. 63, 640–646 (2015).
Végh, R., Csóka, M., Stefanovits-Bányai, É., Juhász, R. & Sipos, L. Biscuits enriched with monofloral bee pollens: nutritional properties, techno-functional parameters, sensory profile and consumer preference. Foods. 12, 18 (2023).
Sokmen, O., Ozdemir, S., Dundar, N. & Cinar, A. Quality properties and bioactive compounds of reduced-fat cookies with bee pollen. Int. J. Food Sci. 29, 100557 (2022).
Ertosun, S., Aulanc, V., Falcão, S. & Vilas-Boas, M. Thermal stability and antioxidant activity of bioactive compounds in bread enriched with bee pollen and bee bread. Antioxidants. 12, 1691 (2023).
Starowicz, M. et al. The application of Lamiaceae Lindl. promotes aroma compounds formation, sensory properties, and antioxidant activity of oat and buckwheat-based cookies. Molecules. 25, 5626 (2020).
Sawicki, T., Błaszczak, W. & Latocha, P. In vitro anticholinergic and antiglycaemic properties of frost-hardy actinidia fruit extracts and their polyphenol profile, L-ascorbic acid content and antioxidant capacity Food Res. Int. 173, 113324 (2023).
Chociej, P., Foss, K., Jabłońska, M., Ustarbowska, M. & Sawicki, T. The profile and content of polyphenolic compounds and antioxidant and anti-glycation properties of root extracts of selected medicinal herbs. Plant. Foods Hum. Nutr. 79, 468–473 (2024).
Gumul, D., Ziobro, R., Korus, J. & Surma, M. Pulp from colored potatoes (Solanum tuberosum L.) as an Ingredient enriching dessert cookies. Foods 12(20), 373 (2023).
Sawicki, T., Surma, M. & Sadowska-Rociek, A. Characteristics of contaminants in the polish-origin bee products and cancer risk assessment. Food Chem. Toxicol. 175, 113693 (2023).
Horszwald, A. & Andlauer, W. Characterisation of bioactive compounds in berry juices by traditional photometric and modern microplate methods. J. Berry Res. 1, 189–199 (2011).
Przygodzka, M. & Zieliński, H. Evaluation of in vitro inhibitory activity of rye-buckwheat ginger cakes with rutin on the formation of advanced glycation end-products (AGEs). Pol. J. Food Nutr. Sci. 65, 191–198 (2015).
Eldeen, I. M. S., Elgorashi, E. E. & Staden, J. Antibacterial, anti-Inflammatory, anti-cholinesterase and mutagenic effects of extracts obtained from some trees used in South African traditional medicine. J. Ethnopharmacol. 102, 457–464 (2005).
Starowicz, M. & Zieliński, H. How Maillard reaction influences sensorial properties (color, flavor and texture) of food products. Food Rev. Int. 35, 707–725 (2019).
Dundar, A. N. Total phenolic and antioxidant bioaccessibilities of cookies enriched with bee pollen. J. Food Process. Preserv. 46, e16085 (2022).
Bleha, R. et al. Spectroscopic discrimination of bee pollen by composition, color, and botanical origin. Foods. 10, 1682 (2021).
Mokrzycki, W. S. & Tatol, M. Colour difference ∆E-a survey. Mach. Graphics Vis. 20, 383–411 (2011).
Conte, P. et al. Nutritional and aroma improvement of gluten-free bread: is bee pollen effective? LWT. 118, 108711 (2020).
Michalska, A. et al. Antioxidant contents and antioxidative properties of traditional rye breads. J. Agric. Food Chem. 55, 734–740 (2007).
Giordano, D. et al. Bioactive compound and antioxidant activity distribution in roller-milled and pearled fractions of conventional and pigmented wheat varieties. Food Chem. 233, 483–491 (2017).
Sawicki, T., Starowicz, M., Kłębukowska, L. & Hanus, P. The profile of polyphenolic compounds, contents of total phenolics and flavonoids, and antioxidant and antimicrobial properties of bee products. Molecules. 27, 1301 (2022).
Huang, J., Xie, M., He, L., Song, X. & Cao, T. Chlorogenic acid: a review on its mechanisms of anti-inflammation, disease treatment, and related delivery systems. Front. Pharmacol. 14, 1218015. https://doi.org/10.3389/fphar.2023.1218015 (2023).
Chen, F., Zhang, X., Wang, J., Wang, F. & Mao, J. P. C. Acid: advances in pharmacological research based on oxidative stress. Curr. Med. Chem. 28, 1–12. https://doi.org/10.2174/0929867328666210329160128 (2023).
Srinivasan, M., Sudheer, A. R. & Menon, V. P. Ferulic acid: therapeutic potential through its antioxidant property. J. Clin. Biochem. Nutr. 40, 92–100 (2007).
Ciumărnea, L. et al. The effects of flavonoids in cardiovascular diseases. Molecules. 25, 4320 (2020).
Alvareze-Jubete, L., Auty, M., Arendt, E. K. & Gallagher, E. Baking properties and microstructure of pseudocereal flours in gluten e free formulations. Eur. Food Res. Technol. 230, 437e445 (2010).
Xu, B. & Chang, S. K. C. Total phenolic, phenolic acid, anthocyanin, flavan-3-ol, and flavonol profiles and antioxidant properties of pinto and black beans (Phaseolus vulgaris L.) as affected by thermal processing. J. Agric. Food Chem. 57, 4754–4764 (2009).
Bedrníček, J. et al. Thermal stability and bioavailability of bioactive compounds after baking of bread enriched with different onion by-products. Food Chem. 319, 126562 (2020).
Kazanci, M., Guner, K. G. & Durakli Velioglu, S. The effect of the use of pekmez and honey as sugar substitutes on the quality characteristics and the acrylamide content of sponge cakes and cookies. J. Food Meas. Charact. 18, 1392–1411 (2024).
Rzetecka, N., Matuszewska, E., Plewa, S., Matrysiak, J. & Klupczynska-Gabryszak, A. Bee products as valuable nutritional ingredients: determination of broad free amino acid profiles in bee pollen, royal jelly, and propolis. J. Food Compos. Anal. 126, 105860 (2024).
Bayram, N. E. et al. Phenolic and free amino acid profiles of bee bread and bee pollen with the same botanical origin – similarities and differences. Arab. J. Chem. 14, 103004 (2021).
deGrandi-Hoffman, G., Eckholm, B. J. & Huang, M. H. A comparison of bee bread made by africanized and European honey bees (Apis mellifera) and its effects on hemolymph protein titers. Apidologie. 44, 52–63 (2013).
Starowicz, M., Hanus, P., Lamparski, G. & Sawicki, T. Characterizing the volatile and sensory profiles, andsugar content of beeswax, beebread, bee pollen, and honey. Molecules. 26, 3410 (2021).
Commission Regulation (EU). 2017/2158 of 20 November 2017 establishing mitigation measures and benchmark levels for the reduction of the presence of acrylamide in food (Text with EEA relevance).
Nguyen, H. T., Van der Fels-Klerx, H. J., Peters, R. J. & Van Boekel, M. A. Acrylamide and 5-hydroxymethylfurfural formation during baking of biscuits: part I: effects of sugar type. Food Chem. 192, 575–585 (2016).
Degen, J., Hellwig, M. & Henle, T. 1,2-Dicarbonyl compounds in commonly consumed foods. J. Agric. Food Chem. 60, 7071–7079 (2012).
Shapla, U. M., Solayman, M., Alam, N., Khalil, M. I. & Gan, S. H. 5- hydroxymethylfurfural (HMF) levels in honey and other food products: effects on bees and human health. Chem. Cent. J. 12, 35. https://doi.org/10.1186/s13065-018-0408-3 (2018).
Ulbricht, R. J., Northup, S. J. & Thomas, J. A. A review of 5-hydroxymethylfurfural (HMF) in parenteral solutions. Toxicol. Sci. 4, 843–853. https://doi.org/10.1016/0272-0590(84)90106-4 (1984).
Srivastava, R. et al. Kinetic study of furan and furfural generation during baking of cake models. Food Chem. 267, 329–336 (2018).
Ghosh, S. et al. A general review on the use of advance oxidation and adsorption processes for the removal of furfural from industrial effluents. Microporous Mesoporous Mater. 331, 111638. https://doi.org/10.1016/j.micromeso.2021.111638 (2022).
Chinchansure, A. A., Korwar, A. M., Kulkarni, M. J. & Joshi, S. P. Recent development of plant products with anti-glycation activity: a review. RSC Adv. 5, 31113–31138 (2015).
Bakour, M., El Menyiy, N., El Ghouizi, A. & Lyoussi, B. Hypoglycemic, hypolipidemic and hepato-protective effect of bee bread in streptozotocin-induced diabetic rats. Avicenna J. Phytomed. 11, 343–352 (2021).
Zou, Y. et al. The botanical origin and antioxidant, antiBACE1 and antiproliferative properties of bee pollen from different regions of South Korea. BMC Complement. Med. Ther. 20, 236 (2020).
Błaszczak, W., Latocha, P., Jeż, M. & Wiczkowski, W. The impact of high-pressure processing on the polyphenol profile and anti-glycaemic, anti-hypertensive and anti-cholinergic activoties of extracts obtained from kiwiberry (Actinidia arguta) fruits. Food Chem. 343, 128421 (2021).
Ademosun, A. O., Oboh, G., Bello, F. & Ayeni, P. O. Antioxidative properties and effect of quercetin and its glycosylated form (rutin) and acetylcholinesterase and butyrylcholinesterase activities. Evid. Based Complement. Alternat Med. 4, NP11–NP17 (2016).
Gómez-Narváez, F. et al. Occurrence of acrylamide and other heat-induced compounds in panela: relationship with physicochemical and antioxidant parameters. Food Chem. 301, 125256 (2019).
Funding
Founded by the Minister of Science under the “Regional Initiative of Excellence Program”.
Author information
Authors and Affiliations
Contributions
MJ: Investigation; Data curation; Methodology; Formal analysis; Supervision; Visualization; Writing - original draft; and Writing - review & editing. MK-T: Methodology; Formal analysis; Visualization; and Writing - original draft. MS: Investigation; Data curation; Methodology; and Writing - review & editing. AN: Investigation; Data curation; and Methodology. MR: Formal analysis; and Visualization. WB: Data curation; Formal analysis; Investigation; Methodology; Supervision; and Writing - original draft. TS: Conceptualization; Data curation; Formal analysis; Funding acquisition; Investigation; Methodology; Supervision; Validation; Visualization; Writing - original draft; and Writing - review & editing.
Corresponding authors
Ethics declarations
Competing interests
The authors declare no competing interests.
Additional information
Publisher’s note
Springer Nature remains neutral with regard to jurisdictional claims in published maps and institutional affiliations.
Rights and permissions
Open Access This article is licensed under a Creative Commons Attribution-NonCommercial-NoDerivatives 4.0 International License, which permits any non-commercial use, sharing, distribution and reproduction in any medium or format, as long as you give appropriate credit to the original author(s) and the source, provide a link to the Creative Commons licence, and indicate if you modified the licensed material. You do not have permission under this licence to share adapted material derived from this article or parts of it. The images or other third party material in this article are included in the article’s Creative Commons licence, unless indicated otherwise in a credit line to the material. If material is not included in the article’s Creative Commons licence and your intended use is not permitted by statutory regulation or exceeds the permitted use, you will need to obtain permission directly from the copyright holder. To view a copy of this licence, visit http://creativecommons.org/licenses/by-nc-nd/4.0/.
About this article
Cite this article
Jabłońska, M., Karpińska-Tymoszczyk, M., Surma, M. et al. Enrichment of shortcrust pastry cookies with bee products: polyphenol profile, in vitro bioactive potential, heat-induced compounds content, colour parameters and sensory changes. Sci Rep 14, 23652 (2024). https://doi.org/10.1038/s41598-024-74811-9
Received:
Accepted:
Published:
Version of record:
DOI: https://doi.org/10.1038/s41598-024-74811-9





