Fig. 7

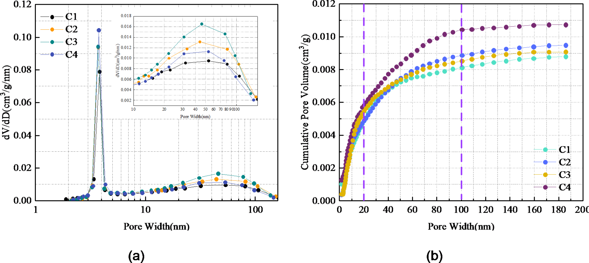
Characteristics of pore dispersion and accumulative pore volume in various coal specimens. (a) Distribution of pore sizes of each coal sample. (b) Cumulative pore volume of each coal sample.

Characteristics of pore dispersion and accumulative pore volume in various coal specimens. (a) Distribution of pore sizes of each coal sample. (b) Cumulative pore volume of each coal sample.