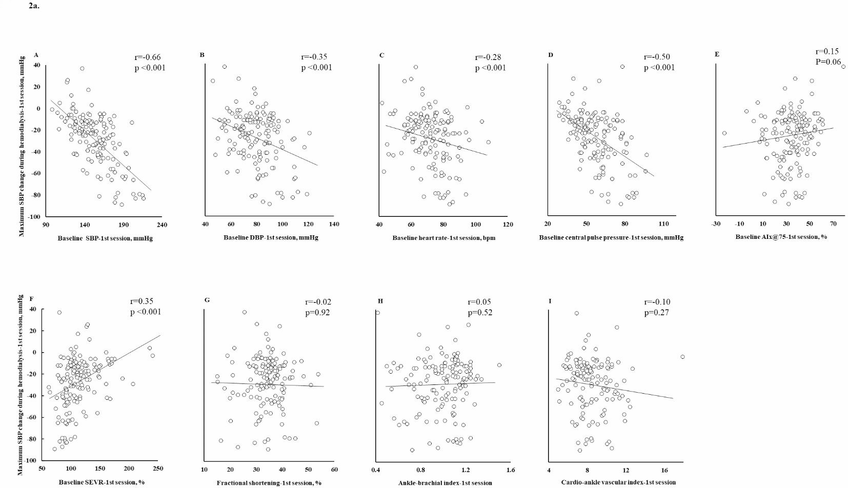
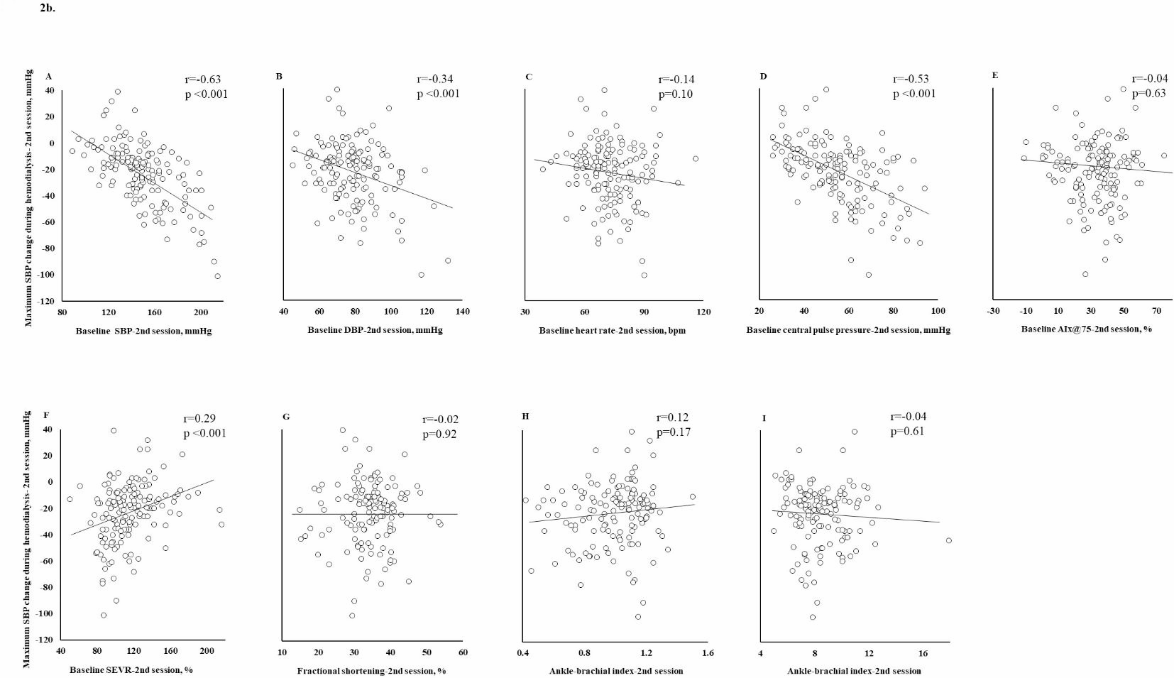
Fig. 2
From: Predialysis central arterial waveform and blood pressure changes during hemodialysis


Relationship between baseline SBP (A), DBP (B), heart rate (C), central pulse pressure (D), AIx@75 (E), SEVR (F), fractional shortening (G), ankle-brachial index (H), and cardio-ankle vascular index (n = 134) (I), and maximum SBP change during hemodialysis in 1st session (a) and 2nd session (b). AIx@75: augmentation index at standard heart rate of 75 bpm, DBP: brachial diastolic blood pressure, SBP: brachial systolic blood pressure, SEVR: subendocardial viability ratio.