Abstract
To investigate the predictive value of the central arterial waveform for intradialytic blood pressure (BP) change, a total of 152 hemodialysis patients (mean age 68 years) on a thrice-weekly hemodialysis schedule were enrolled, and at both the first and second session of the week, BP and central arterial waveform were measured every 30 min during hemodialysis. In both sessions, a 1-standard deviation increase in baseline subendocardial viability ratio (SEVR), an index of subendocardial perfusion, as well as in baseline systolic BP (SBP) was an independent predictor of maximum SBP decrease ≥ 30 mmHg during hemodialysis. When divided into four groups based on the respective median level of SEVR in the SBP ≥ median and SBP < median groups, intradialytic SBP change was different among the subgroups. Multiple logistic regression analysis revealed that, compared with the SBP < median; low SEVR group, the SBP < median; high SEVR group had lower risk, and the SBP ≥ median; low SEVR group had higher risk of SBP decrease ≥ 30 mmHg, but the risk did not differ from that in the SBP ≥ median; high SEVR group. Predialysis subendocardial perfusion evaluated by SEVR was associated with the maximum intradialytic BP decrease, and evaluation of the central arterial waveform could be used as complementary screening for intradialytic BP change.
Similar content being viewed by others
Introduction
Blood pressure (BP) control is a critical component of hemodialysis care. Most patients experience an overall BP decrease during hemodialysis, but a greater BP decrease might result in impaired end-organ perfusion, and has a substantial impact on patient symptoms, quality of life, and cardiovascular complications. Observational studies have shown an association between greater intradialytic BP decrease and significant adverse clinical outcomes1,2,3,4.
Maintenance of cardiac output and total peripheral resistance are major mechanisms to maintain BP in response to hemodialysis with ultrafiltration. Central arterial waveform analysis can provide not only arterial pressure but also important information about several parameters of arterial stiffness and hemodynamics. Noninvasive assessment of the degree of myocardial perfusion relative to left-ventricular workload can be obtained through the quantification of subendocardial viability ratio (SEVR), also known as the Buckberg index5,6. SEVR is computed as the ratio between diastolic pressure-time index (DPTI, an estimate of myocardial oxygen supply based on both coronary driving pressure in diastole and diastolic time) and systolic pressure-time index (SPTI, an estimate of myocardial consumption of oxygen) (Fig. 1)7. A mismatch between myocardial oxygen supply and demand can result in myocardial ischemia. Evaluation of SEVR in addition to augmentation index (AIx) (Fig. 1), a surrogate measure of arterial stiffness8, may help to assess not only subendocardial perfusion but also arterial function, and thus may provide clinically sensitive hemodynamic information in hemodialysis patients. However, the predictive value of these indices has not been fully elucidated9. Therefore, this study was undertaken to identify the clinical significance of the central arterial waveform, in thrice-weekly maintenance hemodialysis patients, to determine its impact on intradialytic BP change.
Schematic representation of subendocardial variability ratio (SEVR) and augmentation index (AIx) (upper panel), and corresponding subendocardial flow velocity (lower panel). SEVR is calculated as diastolic pressure-time index (DPTI) divided by systolic pressure-time index (SPTI). AIx is calculated as augmented pressure (AP) divided by central pulse pressure (PP). AIx: augmentation index, AO: aortic pressure waveform, AP: augmented pressure, DPTI: diastolic pressure-time index, LV: left ventricular pressure waveform, PP: pulse pressure, SEVR: subendocardial variability ratio, SPTI: systolic pressure-time index.
Results
Patient characteristics and comparisons of hemodynamic parameters between 1st and 2nd sessions
The baseline clinical characteristics of the study subjects are shown in Table 1. Mean age was 68 ± 11 years, and 70.4% were male. Mean hemodialysis time was 239 ± 26 min, and mean time to the maximum change in systolic BP (SBP) after the initiation of hemodialysis in the 1st and 2nd sessions was 158 ± 72 min and 144 ± 74 min, respectively. Ultrafiltration per body weight, baseline SBP and central pulse pressure, and SEVR at the time of maximum SBP change in the 2nd session were lower than those in the 1st session. Other variables such as heart rate and AIx@75 were not different between the 1st and 2nd sessions.
In both sessions, baseline SEVR was associated with baseline SBP (1st session: r=-0.33, 2nd session: r=-0.31) and baseline central pulse pressure (1st session: r=-0.37, 2nd session: r=-0.35) (all p < 0.01), but not with fractional shortening (1st session: r=-0.06, p = 0.49, 2nd session: r = 0.07, p = 0.44). Baseline SBP was associated with baseline central pulse pressure (1st session: r = 0.69, 2nd session: r = 0.71, both p < 0.01).
Predictive value of baseline hemodynamic parameters for maximum SBP change during hemodialysis
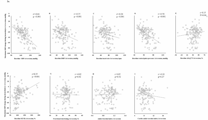
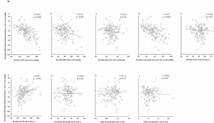
In both sessions, maximum SBP change during hemodialysis (1st session: -28 ± 24 mmHg versus 2nd session: -23 ± 23 mmHg, p < 0.01) was correlated with baseline BP, central pulse pressure, and SEVR, but not with baseline AIx@75, ankle-brachial index, cardio-ankle vascular index (CAVI), or fractional shortening. A significant correlation between baseline heart rate and maximum SBP change was found in the 1st session (Fig. 2a), but not in the 2nd session (Fig. 2b).
Relationship between baseline SBP (A), DBP (B), heart rate (C), central pulse pressure (D), AIx@75 (E), SEVR (F), fractional shortening (G), ankle-brachial index (H), and cardio-ankle vascular index (n = 134) (I), and maximum SBP change during hemodialysis in 1st session (a) and 2nd session (b). AIx@75: augmentation index at standard heart rate of 75 bpm, DBP: brachial diastolic blood pressure, SBP: brachial systolic blood pressure, SEVR: subendocardial viability ratio.
During hemodialysis, 59 out of 152 patients in the 1st session and 49 out of 152 patients in the 2nd session had a SBP decrease of ≥ 30 mmHg during hemodialysis. Univariate logistic regression analysis found that, in both sessions, the presence of diabetes and 1-SD increases in baseline BP, central pulse pressure, and SEVR were associated with a SBP decrease of ≥ 30 mmHg. Other variables significantly associated with a SBP decrease of ≥ 30 mmHg included baseline heart rate in the 1st session, and sex and left ventricular (LV) mass index in the 2nd session (Table 2). In consideration of collinearity, multivariate regression analysis in which SBP and central pulse pressure were not included in the same model was performed. Multiple logistic regression analysis including potential confounding factors (age, sex, diabetes, hemodialysis time, blood flow rate, ultrafiltration per body weight, and fractional shortening) was performed, and independence of SBP as well as SEVR as a predictor of a SBP decrease of ≥ 30 mmHg was found (Table 3). The risk of SEVR remained significant after including central pulse pressure instead of SBP in the model (odds ratio (OR) 0.41, 95% CI: 0.21–0.72, p < 0.01 for 1st session, OR 0.55, 95%CI: 0.30–0.92, p < 0.05 for 2nd session).
Combined effects of hemodynamic parameters on maximum SBP change during hemodialysis
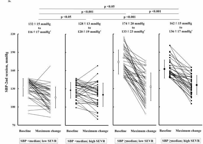
To assess the combined effects of SBP and SEVR, we divided the total patients into two groups by median baseline SBP (151 mmHg for 1st session, 148 mmHg for 2nd session) and then stratified the patients into four groups according to the median value of SEVR in the group with SBP < median (SEVR: 111% for 1st session, 118% for 2nd session) and that in the group with SBP ≥ median (SEVR: 102% for 1st session, 106% for 2nd session). As a result, the subjects were divided into four groups as follows: SBP < median; low SEVR, SBP < median; high SEVR, SBP ≥ median; low SEVR, and SBP ≥ median; high SEVR. The clinical and hemodynamic characteristics of the study subjects in the 1st session and 2nd session are shown in Table 4 and Supplementary Table, respectively. In both sessions, compared with the group with SBP < median; low SEVR, the group with SBP ≥ median; low SEVR showed a significantly higher prevalence of diabetes mellitus and higher baseline diastolic BP and central pulse pressure. In both sessions, baseline SBP was not different in the subgroups with SBP < median (1st session: p = 0.08, 2nd session: p = 0.16), but compared with the group with SBP ≥ median; low SEVR, the group with SBP ≥ median; high SEVR showed a significantly higher baseline SBP (both session: p < 0.01) (Fig. 3a and b). The change in SBP was significantly different between subgroups; and compared with the SBP < median; low SEVR group, the SBP < median; high SEVR group showed a smaller decrease in SBP, and the SBP ≥ median; low SEVR and SBP ≥ median; high SEVR groups showed a greater decrease in SBP. Furthermore, when compared with the SBP ≥ median; low SEVR group, the other groups showed a smaller decrease in SBP (Fig. 3a and b).
There was a significant graded relationship between the combination of SBP and SEVR and the corresponding risk of developing a SBP decrease of ≥ 30 mmHg during hemodialysis. The age- and sex-adjusted OR of a SBP decrease of ≥ 30 mmHg in subgroups with SBP < median; low SEVR, SBP < median; high SEVR, SBP ≥ median; low SEVR, and SBP ≥ median; high SEVR in the 1st session was 1.0 (reference), 0.16 (95%CI; 0.02–0.69, p < 0.05), 10.88 (95%CI; 3.94–33.30, p < 0.001), and 2.35 (95%CI; 0.91–6.31, p = 0.08), and that in the 2nd session was 1.0 (reference), 0.19 (95%CI; 0.06–0.95, p < 0.05), 5.75 (95%CI; 2.20-16.23, p < 0.001), and 1.43 (95%CI; 0.52–4.03, p = 0.48), respectively. In multivariate-adjusted logistic regression analysis (using age, sex, diabetes, hemodialysis time, blood flow rate, ultrafiltration per body weight, and fractional shortening), in both sessions, compared with the SBP < median; low SEVR subgroup, the subgroup with SBP < median; high SEVR had lower odds, and that with SBP ≥ median; low SEVR had higher odds of a SBP decrease of ≥ 30 mmHg, but the risk did not differ significantly from that in the subgroup with SBP ≥ median; high SEVR (Fig. 4a and b).
Odds ratios for SBP decrease of more than 30 mmHg during hemodialysis session in 1st session (a) and 2nd session (b). Analyses were controlled for age, sex, presence of diabetes, hemodialysis time, blood flow rate, fractional shortening, and ultrafiltration per body weight. CI: confidence interval, LV: left ventricular, SBP: brachial systolic blood pressure, SEVR: subendocardial viability ratio.
Discussion
The present study demonstrated that the relationship between lower SEVR and a greater intradialytic SBP decrease is significant and persisted after multivariate regression analysis including other risk factors. Predialysis SBP level is a predictor of maximum intradialytic SBP change; however, even in the subgroup with baseline SBP less than the median value, intradialytic SBP change differed according to the baseline SEVR level. The results of multiple logistic regression analysis indicated that the combination of low SEVR and high SBP was an independent predictor of a SBP decrease of ≥ 30 mmHg during hemodialysis.
Our results showed that low SEVR is independently associated with a SBP decrease of ≥ 30 mmHg during hemodialysis and suggest that predialysis assessment of SEVR could be used as complementary screening for maximum intradialytic SBP change. SEVR consists of a pressure/time integral ratio (DPTI/SPTI) derived from pressures approaching those measured in the aorta and left ventricle. Adequate subendocardial perfusion is almost exclusively guaranteed during the diastolic phase. In the presence of undamaged vessels, BP in the coronary arteries is equivalent to that in the ascending aorta10, and the area between the aortic and LV pressure curves in diastole is estimated to represent the pressure that maintains adequate subendocardial blood flow supply in the diastolic phase of the cardiac cycle (DPTI). The subendocardial oxygen demand is closely related to cardiac work, and therefore to LV afterload, which may be represented by the area under the LV pressure curve in systole (SPTI), from the onset of LV systole to the dicrotic notch. SPTI is reported to reliably reflect the level of LV afterload and has been shown to directly correlate with myocardial oxygen consumption11,12. SEVR below a critical level has been shown to be related to the occurrence of myocardial ischemia in patients with coronary artery disease7. Therefore, SEVR estimates not only the balance between oxygen subendocardial supply and demand, but also the adequacy of subendocardial perfusion5,13 and, further, is a predictor of coronary flow reserve14.
Hemodialysis itself reduces myocardial perfusion15, and a significant reduction in myocardial blood flow is detected during the first 30 min of the session16. Lower predialysis SEVR may suggest the presence of impaired subendocardial perfusion or coronary flow reserve, and these patients may not have the ability to adjust cardiac output in response to hemodialysis-related hemodynamic change. In both sessions of this study, LV fractional shortening, a useful measure of systolic function, did not predict intradialytic SBP change. A correlation between SEVR and LV systolic function was not found, and SEVR might be regarded as a marker of myocardial perfusion rather than contractile function.
Predialysis SBP level could be a predictor of the degree of intradialytic SBP fluctuation. However, the risk of developing a SBP decrease of ≥ 30 mmHg during hemodialysis in the subgroup with SBP < median; low SEVR was not significantly different to that in the subgroup with SBP ≥ median; high SEVR. Further, in lower predialysis SBP patients, a greater intradialytic SBP reduction (≥ 30 mmHg) could be expected in those with lower predialysis SEVR. Lower predialysis SBP has been reported to be associated with intradialytic hypotension2,17, and thus, evaluation of the central arterial waveform based on both SBP and SEVR seems to be important, especially in those with lower predialysis SBP.
The pathogenesis of intradialytic BP change is complex, but under physiological conditions, a decline in blood volume initially leads to an increase in peripheral vascular resistance due to constriction of resistance vessels, maintenance of cardiac output due to an increase in heart rate and myocardial contractility, and constriction of capacitance vessels. Diastolic dysfunction is common in hemodialysis patients, and is known to worsen relatively early after the start of hemodialysis treatment18. Diastolic dysfunction has a marked impact on the maintenance of cardiac output under conditions of decreased filling, because it is difficult for a stiff heart to fill with blood during diastole when the filling pressure is reduced. Other than impaired subendocardial perfusion, the higher prevalence of diabetes in the subgroup with high SBP; low SEVR might be involved in the higher risk of a greater intradialytic SBP fall. A diabetic state could cause impairment of both vascular and cardiac function19. In hypertensive patients with chronic kidney disease, the change in diastolic function by increased preload in those with concomitant diabetes was greater than that in those without diabetes, suggesting that the complication of diabetes causes deterioration of LV compliance and preload reserve20. Hemodialysis patients with diabetes may be more sensitive to the effects of reduced cardiac filling, which could result in decrement in cardiac output and a greater BP decrease.
Our findings are partially in agreement with those of a previous study9, and extend the predictive role of predialysis SEVR in intradialytic SBP change. Although the previous study was conducted in a single hemodialysis session, the present study was validated in two consecutive hemodialysis sessions, and supports the view that low SEVR and high SBP are separate entities in relation to a greater intradialytic BP decrease because these two markers predicted intradialytic BP change independently of each other.
Although pulse wave velocity is considered the gold-standard measurement of arterial stiffness, AIx@758, ankle-brachial index, and CAVI are surrogate indices reflecting arterial stiffness21 and atherosclerosis22, and are shown to be risk factors for mortality in hemodialysis patients23. However, in this study, no baseline arterial stiffness indices could predict intradialytic SBP change. In the previous study examining the serial change in AIx@75 during hemodialysis, although the serial change in AIx@75 during dialysis differed significantly between patients who developed intradialytic hypotension and those without, predialysis AIx@75 values did not differ significantly9. The responsiveness of arterial stiffness, such as arterial vasoconstrictive or cushioning function in response to dialysis-related changes, might have a pivotal role in BP changes after the initiation of hemodialysis; however, baseline arterial stiffness indices might not be expected to have predictive value in intradialytic BP change.
It should be mentioned that although we applied a cut-off value of a SBP drop of ≥ 30 mmHg during hemodialysis, most clinical guidelines define intradialytic hypotension as a combination of a requisite BP fall with the presence of symptoms or interventions, and a nadir BP-based definition of intradialytic hypotension seems to be more useful in determining the risk of mortality1,2,4,24,25. All patients in this study underwent hemodialysis therapy without hypotension-associated symptoms or requiring nursing interventions, and thus, our obtained results should be interpreted as exploring predictors of BP fluctuations during hemodialysis rather than of intradialytic hypotension.
The validity of the noninvasive aortic waveform-assessing device should be compared with invasive aortic waveform assessment. Although one previous study raised a question on the accuracy of noninvasive estimation of the central arterial waveform26, the validity and reproducibility of estimation of central BP, augmented pressure, and SEVR using SphygmoCor XCEL have been confirmed in previous studies27,28,29,30,31,32. It should be mentioned that no “cut-off” values were obtained based on the results of the present study. In patients with LV hypertrophy, which is frequent in hemodialysis patients, the likelihood of subendocardial ischemia is proposed to be increased if the SEVR ratio is < 80%7. In this study, a small number of patients fulfilled this criterion, probably because all our study subjects were receiving uncomplicated hemodialysis therapy. Previous reports have shown that antihypertensive agents affect central hemodynamics33. Our patients were treated with different types of antihypertensive agents, and the results could underestimate the involvement of BP itself. A further drawback was the absence of peripheral biomarker analysis. This might have helped to elucidate the mechanisms by which the intradialytic BP change and central arterial waveform occurred. Other limitations were primarily a lack of patient randomization, relatively lower prevalence of female patients, and the likelihood of selection bias.
In conclusion, our findings suggest that predialysis subendocardial perfusion evaluated by SEVR based on central hemodynamic analysis is associated with intradialytic SBP change, and highlight that the combination of SBP and SEVR may be a useful predictor of intradialytic SBP decrease. The present findings may support investigation of the actual mechanisms of BP change during hemodialysis. A crucial next step is to investigate whether SEVR is causally linked to intradialytic hypotension or outcome in a longitudinal setting. A large prospective study will be important to confirm our preliminary observations.
Methods
The study protocol was approved by the ethics committees of Mooka Hospital (MR3-1), Gotennyama Hospital (GR-1), and the Clinic of Utsunomiya Jinn-naika-hihuka (UJNH-1). All of the subjects enrolled in this study were Japanese and gave informed consent to participate in this study. All clinical investigations were carried out with adherence to the principles set forth in the Declaration of Helsinki. This study was registered in the UMIN Clinical Trials Registry (UMIN000049348), and the date of first registration was 10/05/2020.
Study subjects
This study consecutively enrolled 248 outpatients at Mooka Hospital, Gotennyama Hospital, or the Clinic of Utsunomiya-jin-naika-hifuka during May 2020 to July 2022. The details of the study patients have been previously described9. All patients were aged > 18 years and had received thrice-weekly maintenance hemodialysis for more than 90 days, using standard bicarbonate hemodialysis solutions and synthetic membranes. Exclusion criteria were (i) non-sinus rhythm, (ii) symptomatic intradialytic hypotension requiring antihypotensive drugs or fluid administration such as saline, (iii) Stage III-IV congestive heart failure, according to New York Heart Association classification, (iv) myocardial infarction and/or stroke within 30 days, (v) life expectancy of less than one year, (vi) apparent infection, (vii) old non-functional fistula on the contralateral arm from that currently used for dialysis access, (viii) current pregnancy, and (ix) malignancy. Temperature of hemodialysis fluid was controlled between 35.5 and 36.5 °C, and both the temperature of hemodialysis fluid and blood flow rate were not changed throughout the hemodialysis session. The patients were asked not to eat during hemodialysis. We excluded 96 patients from analysis because they did not agree to recording of two consecutive sessions (n = 15), they required antihypotensive medication (n = 40), or the temperature of the hemodialysis fluid or blood flow rate was changed during hemodialysis (n = 41). Thus, a total of 152 patients were statistically analyzed.
Clinical characteristics
Recording of dialysis treatment and measurements of hemodynamic parameters were performed on two consecutive dialysis days; the first hemodialysis session of the week after a long (2-day) interdialytic interval (1st session: Monday or Tuesday) and the second hemodialysis session of the week after a regular (1-day) interdialytic interval (2nd session: Wednesday or Thursday). Most blood samples were collected before hemodialysis, except for post-dialysis serum urea nitrogen to calculate urea kinetics. Height and post-dialysis body weight were measured, and body mass index calculated. Diabetes mellitus was defined according to the American Diabetes Association criteria34. Previous cardiovascular disease was defined as a history of myocardial infarction or aortic dissection.
SphygmoCor XCEL Cuff Measurement
Commercially available software (SphygmoCor XCEL; AtCor Medical, Sydney, Australia) was used to perform offline waveform analysis, as previously described9. Each intra-arterial waveform was entered into the system in simulation mode. Once patients were positioned and lying on the bed, the cuff of the XCEL device (appropriately fitting as per reference range indicators on each cuff) was placed around the patient’s upper arm contralateral to the dialysis access. Measurements were performed immediately before the start of hemodialysis after five minutes in the supine position, every 30 min during dialysis, and just before detachment of the dialysis circuit from the patient, and the timing of the maximum change occurring in brachial SBP was determined.
BP measurement with the cuff involved automatic recording of standard oscillometric brachial BP, immediately followed by reinflation of the cuff to a sub-diastolic pressure level. The cuff was held inflated at this sub-diastolic pressure for 5 s, during which time volumetric (cuff displacement) waveforms were recorded. These waveforms were then calibrated (with the brachial-cuff-measured SBP and diastolic BP by default) before a generalized transfer function (GTF) was applied to estimate the central BP waveform. For all measurements, patients were instructed to keep their arm relaxed at their side and to refrain from any movement during the inflation and waveform measurement periods. All measurements were made in the recording with highest quality, which was defined and calculated by SphygmoCor software as ‘operator index’, and measurement was repeated in the case of insufficient measurement quality (‘operator index’ ≤74).
AIx for a central aortic pressure waveform was calculated as the ratio of augmented pressure to central pulse pressure, and was corrected for a heart rate of 75 bpm (AIx@75). SEVR was calculated by the system software according to the equation: DPTI/ SPTI ×1007,35.
Echocardiography
Imaging and Doppler echocardiography were performed after hemodialysis, using phased-array echocardiography with M-mode, two-dimensional, and color-flow Doppler capabilities, as previously described9,36,37. LV internal dimension and septal and posterior wall thickness were measured at end-diastole and end-systole according to the American Society of Echocardiography recommendations38. LV internal dimension and septal and posterior wall thickness were measured at end-diastole and end-systole, and end-diastolic dimensions were used to calculate LV mass by a previously reported formula39. LV mass was then divided by body surface area to give LV mass index. LV hypertrophy was considered to be present when LV mass index was > 116 g/m2 for men and > 104 g/m2 for women40.
Ankle-brachial index and cardio-ankle vascular index
Ankle-brachial index and CAVI were measured 10 to 30 min before hemodialysis, using a VaSera VS-2000 vascular screening system (Fukuda Denshi Ltd., Tokyo, Japan), as previously described9. The number of subjects in whom CAVI was measured was small (n = 134) compared with the total number of study subjects. In brief, electrocardiograph electrodes were placed on both wrists, a microphone to detect heart sounds was placed on the sternum, and cuffs were wrapped around an arm and the ankles. Ankle-brachial index was calculated as the ratio of ankle SBP divided by arm SBP. SBP of the arm without dialysis access and the lower value of ankle SBP were used for the calculation. CAVI was measured on the side without vascular access, and the average of left and right CAVI was used for analysis.
Statistical analysis
Summary statistics are presented as mean ± SD for continuous variables and percentages for categorical variables unless otherwise specified. The significance of differences in hemodynamic parameters between the 1st session and 2nd session was evaluated using paired t-test. The correlations between the baseline hemodynamic variables and the maximum change in SBP during hemodialysis were obtained by the least-squares method. Logistic regression analysis was used to determine the OR of a SBP decrease of ≥ 30 mmHg during the hemodialysis session. Multivariate logistic regression analysis was used to examine the correlation between SEVR and a SBP decrease of ≥ 30 mmHg during the hemodialysis session, after controlling simultaneously for potential confounders. Variables considered in the models were age, sex, diabetes, hemodialysis time, blood flow rate, ultrafiltration per body weight, fractional shortening, and baseline SBP, because these are known to contribute to BP abnormalities during dialysis.
We next divided the participants into two groups by median baseline SBP, and then stratified the patients into four groups according to the respective median values of SEVR in patients with baseline SBP < median or ≥ median. Differences in characteristics between groups were tested using chi-square test for dichotomous variables, and one-way analysis of variance (ANOVA) with Sheffe’s post test for continuous variables, as appropriate. Paired t-test of the differences was used to compare paired measurements within groups before hemodialysis and maximum SBP change during hemodialysis. To determine the significance of the difference in SBP change between subgroups, Friedman test was used. The relative ORs of a SBP decrease of ≥ 30 mmHg during the hemodialysis session were assessed in multivariate-adjusted logistic regression models and calculated using the group with low SBP and low SEVR as a reference for each. Then, we sequentially introduced groups of variables into the model, first age and sex, and then diabetes, hemodialysis time, blood flow rate, ultrafiltration per body weight, and fractional shortening. All p values were two-sided, and those less than 0.05 were considered statistically significant. All calculations were performed using a standard statistical package (SPSS, version 24.0; SPSS Inc., Chicago, Illinois, USA).
Data availability
The datasets generated and/or analyzed during the current study are not publicly available due to their containing information that could compromise the privacy of research participants but are available from the corresponding author on reasonable request.
References
Flythe, J. E. et al. Blood pressure and volume management in dialysis: Conclusions from a kidney disease: Improving global outcomes (KDIGO) Controversies Conference. Kidney Int. 97, 861–876 (2020).
Flythe, J. E., Xue, H., Lynch, K. E., Curhan, G. C. & Brunelli, S. M. Association of mortality risk with various definitions of intradialytic hypotension. J. Am. Soc. Nephrol. 26, 724–734 (2015).
Shoji, T., Tsubakihara, Y., Fujii, M. & Imai, E. Hemodialysis-associated hypotension as an independent risk factor for two-year mortality in hemodialysis patients. Kidney Int. 66, 1212–1220 (2004).
Chou, J. A. et al. Intradialytic hypotension, blood pressure changes and mortality risk in incident hemodialysis patients. Nephrol. Dial Transpl. 33, 149–159 (2018).
Buckberg, G. D., Fixler, D. E., Archie, J. P. & Hoffman, J. I. Experimental subendocardial ischemia in dogs with normal coronary arteries. Circ. Res. 30, 67–81 (1972).
Brazier, J., Cooper, N. & Buckberg, G. The adequacy of subendocardial oxygen delivery: The interaction of determinants of flow, arterial oxygen content and myocardial oxygen need. Circulation 49, 968–977 (1974).
Hoffman, J. I. & Buckberg, G. D. The myocardial oxygen supply: Demand index revisited. J. Am. Heart Assoc. 3, e000285 (2014).
Laurent, S. et al. Expert consensus document on arterial stiffness: Methodological issues and clinical applications. Eur. Heart J. 27, 2588–2605 (2006).
Iwashima, Y., Fukushima, H., Horio, T., Rai, T. & Ishimitsu, T. Blood pressure, arterial waveform, and arterial stiffness during hemodialysis and their clinical implications in intradialytic hypotension. Hypertens. Res. 46, 697–707 (2023).
Fokkema, D. S. et al. Diastolic time fraction as a determinant of subendocardial perfusion. Am. J. Physiol. Heart Circ. Physiol. 288, H2450–2456 (2005).
Sarnoff, S. J. et al. Hemodynamic determinants of oxygen consumption of the heart with special reference to the tension-time index. Am. J. Physiol. 192, 148–156 (1958).
Gutterman, D. D. & Cowley, A. W. Jr. Relating cardiac performance with oxygen consumption: Historical observations continue to spawn scientific discovery. Am. J. Physiol. Heart Circ. Physiol. 291, H2555-2556 (2006).
Merkus, D. et al. Prolonged diastolic time fraction protects myocardial perfusion when coronary blood flow is reduced. Circulation 100, 75–81 (1999).
Tsiachris, D. et al. Subendocardial viability ratio as an index of impaired coronary flow reserve in hypertensives without significant coronary artery stenoses. J. Hum. Hypertens. 26, 64–70 (2012).
McIntyre, C. W. et al. Hemodialysis-induced cardiac dysfunction is associated with an acute reduction in global and segmental myocardial blood flow. Clin. J. Am. Soc. Nephrol. 3, 19–26 (2008).
Dasselaar, J. J. et al. Haemodialysis is associated with a pronounced fall in myocardial perfusion. Nephrol. Dial Transpl. 24, 604–610 (2009).
Sands, J. J. et al. Intradialytic hypotension: Frequency, sources of variation and correlation with clinical outcome. Hemodial. Int. 18, 415–422 (2014).
Assa, S. et al. Changes in left ventricular diastolic function during hemodialysis sessions. Am. J. Kidney Dis. 62, 549–556 (2013).
Creager, M. A., Luscher, T. F., Cosentino, F. & Beckman, J. A. Diabetes and vascular disease: Pathophysiology, clinical consequences, and medical therapy: Part I. Circulation 108, 1527–1532 (2003).
Iwashima, Y. et al. Impact of concomitant diabetes and chronic kidney disease on preload-induced changes in left ventricular diastolic filling in hypertensive patients. J. Hypertens. 29, 144–153 (2011).
Aboyans, V. et al. Measurement and interpretation of the ankle-brachial index: A scientific statement from the American Heart Association. Circulation 126, 2890–2909 (2012).
Hayashi, K., Yamamoto, T., Takahara, A. & Shirai, K. Clinical assessment of arterial stiffness with cardio-ankle vascular index: Theory and applications. J. Hypertens. 33, 1742–1757 (2015).
London, G. M. et al. Arterial wave reflections and survival in end-stage renal failure. Hypertension 38, 434–438 (2001).
Assimon, M. M. & Flythe, J. E. Intradialytic blood pressure abnormalities: The highs, the lows and all that lies between. Am. J. Nephrol. 42, 337–350 (2015).
Chou, J. A., Kalantar-Zadeh, K. & Mathew, A. T. A brief review of intradialytic hypotension with a focus on survival. Semin. Dial 30, 473–480 (2017).
Zocalo, Y. et al. Central-to-peripheral blood pressure amplification: role of the recording site, technology, analysis approach, and calibration scheme in invasive and non-invasive data agreement. Front. Cardiovasc. Med. 10, 1256221 (2023).
Hwang, M. H. et al. Validity and reliability of aortic pulse wave velocity and augmentation index determined by the new cuff-based SphygmoCor Xcel. J. Hum. Hypertens. 28, 475–481 (2014).
Shoji, T., Nakagomi, A., Okada, S., Ohno, Y. & Kobayashi, Y. Invasive validation of a novel brachial cuff-based oscillometric device (SphygmoCor XCEL) for measuring central blood pressure. J. Hypertens. 35, 69–75 (2017).
Mitchelmore, A., Stoner, L., Lambrick, D., Jobson, S. & Faulkner, J. Reliability of oscillometric central blood pressure and central systolic loading in individuals over 50 years: Effects of posture and fasting. Atherosclerosis 269, 79–85 (2018).
Nakagomi, A., Shoji, T., Okada, S., Ohno, Y. & Kobayashi, Y. Validity of the augmentation index and pulse pressure amplification as determined by the SphygmoCor XCEL device: A comparison with invasive measurements. Hypertens. Res. 41, 27–32 (2018).
Butlin, M., Qasem, A. & Avolio, A. Estimation of central aortic pressure waveform features derived from the brachial cuff volume displacement waveform. Annu. Int. Conf. IEEE Eng. Med. Biol. Soc. 2012, 2591–2594 (2012).
Gotzmann, M. et al. Accuracy of fully automated oscillometric central aortic blood pressure measurement techniques. J. Hypertens. 38, 235–242 (2020).
Ong, K. T. et al. Aortic stiffness is reduced beyond blood pressure lowering by short-term and long-term antihypertensive treatment: A meta-analysis of individual data in 294 patients. J. Hypertens. 29, 1034–1042 (2011).
American Diabetes Association. Diagnosis and classification of diabetes mellitus. Diabetes Care 37(Suppl 1), S81–S90 (2014).
Hoffman, J. I. & Buckberg, G. D. The myocardial supply: Demand ratio–A critical review. Am. J. Cardiol. 41, 327–332 (1978).
Iwashima, Y. et al. Uric acid, left ventricular mass index, and risk of cardiovascular disease in essential hypertension. Hypertension 47, 195–202 (2006).
Kusunoki, H. et al. Circadian hemodynamic characteristics in hypertensive patients with primary aldosteronism. J. Hypertens. 36, 2260–2268 (2018).
Lang, R. M. et al. Recommendations for cardiac chamber quantification by echocardiography in adults: An update from the American Society of Echocardiography and the European Association of Cardiovascular Imaging. J. Am. Soc. Echocardiogr. 28, 1–39 (2015).
Devereux, R. B. et al. Echocardiographic assessment of left ventricular hypertrophy: Comparison to necropsy findings. Am. J. Cardiol. 57, 450–458 (1986).
Ghali, J. K. et al. The prognostic role of left ventricular hypertrophy in patients with or without coronary artery disease. Ann. Intern. Med. 117, 831–836 (1992).
Acknowledgements
The authors thank Mitsuomi Kurogo and Chie Sekiguchi for their secretarial assistance. The staff of the hemodialysis units of the Mooka Hospital, Gotennyama Hospital, and Clinic of Utsunomiya Jinn-naika-hihuka are greatly acknowledged for their contribution to the completion of this study protocol. This study was not supported by any source and represents an original effort on our part.
Funding
None.
Author information
Authors and Affiliations
Contributions
Y.I. was responsible for the research concept and study design. H.F. and N.N. were responsible for data acquisition. T.R. and T.H. were responsible for data analysis/interpretation. Y.I. and T.I. were responsible for statistical analysis, and wrote the first draft of the paper, following comments and criticisms by the coauthors.
Corresponding author
Ethics declarations
Competing interests
The authors declare no competing interests.
Additional information
Publisher’s note
Springer Nature remains neutral with regard to jurisdictional claims in published maps and institutional affiliations.
Electronic supplementary material
Below is the link to the electronic supplementary material.
Rights and permissions
Open Access This article is licensed under a Creative Commons Attribution-NonCommercial-NoDerivatives 4.0 International License, which permits any non-commercial use, sharing, distribution and reproduction in any medium or format, as long as you give appropriate credit to the original author(s) and the source, provide a link to the Creative Commons licence, and indicate if you modified the licensed material. You do not have permission under this licence to share adapted material derived from this article or parts of it. The images or other third party material in this article are included in the article’s Creative Commons licence, unless indicated otherwise in a credit line to the material. If material is not included in the article’s Creative Commons licence and your intended use is not permitted by statutory regulation or exceeds the permitted use, you will need to obtain permission directly from the copyright holder. To view a copy of this licence, visit http://creativecommons.org/licenses/by-nc-nd/4.0/.
About this article
Cite this article
Iwashima, Y., Fukushima, H., Nakano, N. et al. Predialysis central arterial waveform and blood pressure changes during hemodialysis. Sci Rep 14, 25768 (2024). https://doi.org/10.1038/s41598-024-75000-4
Received:
Accepted:
Published:
Version of record:
DOI: https://doi.org/10.1038/s41598-024-75000-4








