Fig. 17

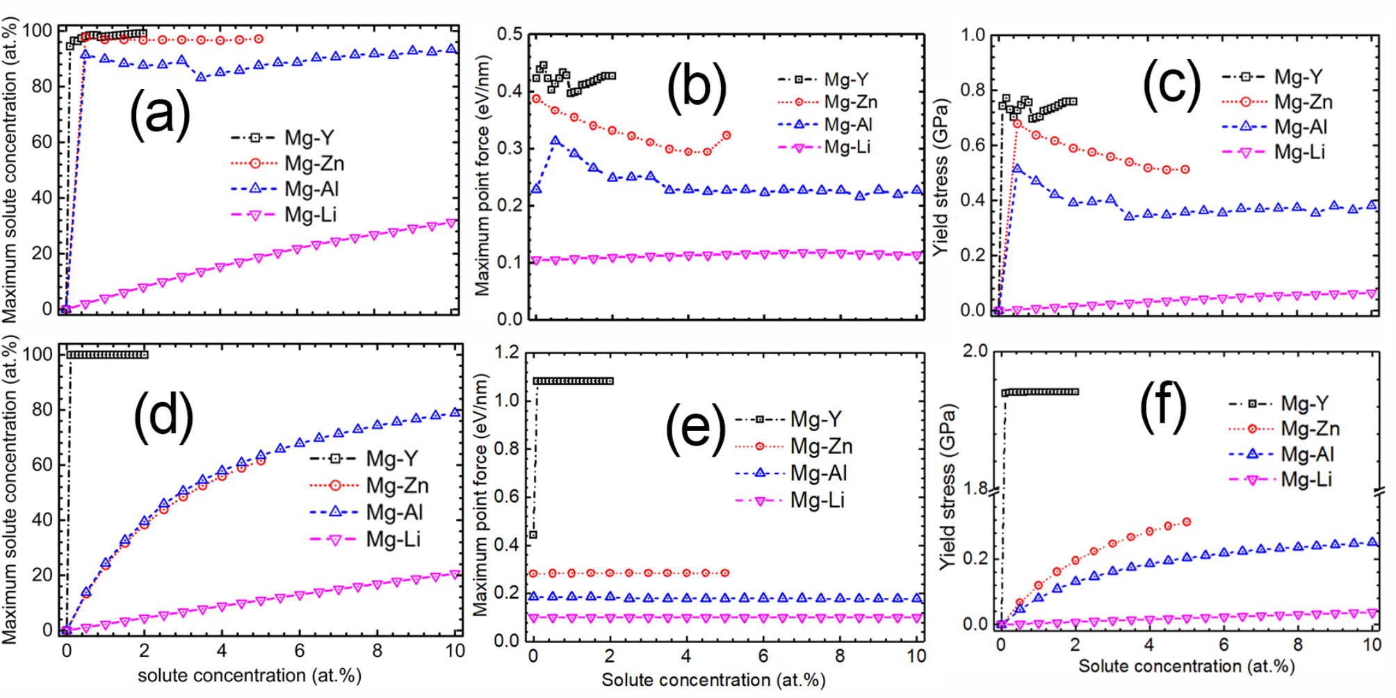
The maximum solute concentration, maximum point force of solutes, and yield stress of (a–c) edge and (d–f) screw dislocations for various solute concentration at 300 K, respectively.

The maximum solute concentration, maximum point force of solutes, and yield stress of (a–c) edge and (d–f) screw dislocations for various solute concentration at 300 K, respectively.