Abstract
The basal dislocations play a key role in the deformation of hexagonal Mg alloys. However, its core structure and mechanical behavior have thus far not yet been understood adequately, largely owing to the fact that the basal dislocation, often decorated with segregated solute atmosphere and dissociated into two partials, cannot be modeled accurately. Significant discrepancies exist between theoretically calculated and experimentally observed structures for these dissociated dislocations. Here we present a comprehensive theoretical scheme to model them in the Mg alloys with alloying elements of Y, Zn, Al and Li, respectively. Firstly, solute–dislocation interactions were computed by appropriate first-principles calculations. Secondly, the statistic solute concentration at a dislocation is estimated by a Fermi–Dirac distribution. Finally, all these effects on dislocations are integrated into an improved two-dimensional Peierls–Nabarro model to predict their core structures and mechanical behaviors in Mg alloys. It is shown that although Zn, Al and Li atoms have little effect on basal dislocations, Y atoms can largely increase their dissociated width. Furthermore, when it moves from its ground state configuration, the dissociated dislocation can further be widened, such that its dissociated widths in a Mg–0.8Y (at%) alloy at 300 K can reach 12–36 nm, in rather good agreement with the experimentally observed values of 20–30 nm. Besides, the Peierls and yield stresses of Mg alloys shall increase with increasing added solute concentration, while they are decreased drastically with increasing the temperature from 300 to 800 K, but with the Mg-Y alloy as somewhat exception, which is again consistent with experimental observations.
Similar content being viewed by others
Introduction
Mg alloys are among important light-weight metals in a variety of practical and potential applications, due to their light weight, high specific strength, good damping properties and recyclability1,2,3. However, the low formability of Mg alloys originated from the anisotropic response of hexagonal close-packed (hcp) crystal structure severely limits its wide applications4,5,6,7,8. The room temperature stress required to plastically deform a magnesium crystal along its basal slip plane is much lower than that of its prismatic and pyramidal slip planes9,10,11. In general, fracture of Mg alloys occurs owing to the strain concentration produced by piled-up basal dislocations at obstacles, which happens in the early stage of the plastic deformation of Mg. Therefore, the basal dislocations play a crucial role in determining the mechanical performance of Mg alloys. To optimize their mechanical performance, one important way is to tailor the core structures and therefore the behaviors of basal dislocations in the Mg-lattice at both room and elevated temperatures12,13,14,15,16, through adding effective alloying elements to form Mg solid solutions.
In recent years, high tensile yield strength of ~ 600 MPa with ~ 8% elongation at room temperature are obtained in Mg alloys with a few amount of Zn and Y impurities16,17,18. The fine grain size, dispersion of fine Mg24Y5 particles, and the uniform distribution of novel long-period stacking ordered (LPSO) structures are reported to have great effects on the excellent mechanical properties16. In fact, the LPSO structures are long period stacking derivatives of the hcp Mg structure. In these structures, the hcp arrangement is modified by the periodic insertion of basal stacking faults (BSFs) at nanometer intervals that are synchronized with concentrated Y and Zn atoms19,20,21. Recently, an impressive value of ~ 575 MPa for yield strength with a uniform elongation of ∼5.2% was obtained in a Mg–8.5Gd–2.3Y–1.8Ag–0.4Zr (wt%) alloy via conventional hot rolling22. The high density of BSF ribbons is assumed to be the main obstacles that impede dislocation slip which promote the uniform accumulation of dislocations, and thus largely improved the mechanical properties19,23. Therefore, it is important for researchers to get the wide BSF ribbons to improve the mechanical properties of Mg alloys, it can not only increase the stress required to shear the crystal when the solute atom concentrated to BSFs, but also trapped the dislocations along < c > direction between the two nanometer BSFs and the dislocation density becomes more homogenized, and thus the mechanical properties of Mg alloys are improved.
Generally, the BSF ribbon bounded by two partial dislocations (PDs) in Mg solid solution comes from the dissociation of basal dislocation (BD). The lower the basal stacking fault energy (BSFE) is, the wider and the more the BSF ribbon becomes, and vice versa. Recently, with the development of transmission electron microscope (TEM) technology, the resolution reaches 0.014 nm, and it is possible to accurately determine the dissociation width of BDs in experiment23,24,25. However, there is a great discrepancy between theoretical predictions and experiments about the dissociated width of BD in Mg solid solution. For example, the dissociated width of BD in Mg–0.8 at% Y alloy 20–30 nm measured by direct TEM observation23 increased by 15–23 times compared to that in pure Mg 1.3 nm26, while the first–principles studies predicted that the dissociated width of BD in Mg–Y solid solution increased by 1–2 times27. Up to now, little work has been focused on this discrepancy due to the difficulties in treating dislocation cores in solid solution. It is expected that the segregation of solute atoms has significant influence on the dissociation behavior and mechanics of BDs in Mg solid solutions.
Experimentally, it is still difficult to determine exact fraction of segregation of solute atoms around dislocation28. Theoretically, the solute dislocation interaction energy needs to be known for studying the segregation. In principle, the volumetric and shear strains exist in edge and screw dislocations, respectively29. The size difference between solute atom and matrix would lead to the interactions of solute atom with both edge and screw components, which are defined hereafter as the size and distortion interactions, respectively. Both above interactions are physical interactions. On the other hand, the bond between atoms in the up and down layers nearest to the slip plane of dislocations (hereafter called as NUL and NDL, respectively) would be varied at different positions. The addition of solute atoms can alter the properties of these bonds and thus change the total energy of dislocation. We call this effect as chemical interaction of solute atom with dislocation. The segregation of solute atoms around dislocation due to the size and distortion interactions are well known as the Cottrell or Snoek atmospheres30,31, respectively. The rich solute atoms around BSFs owing to chemical interaction is called Suzuki atmosphere32. As for the dissociated BDs in Mg solid solution, the PDs are usually mixed dislocations, and all three types of interactions should be included.
Recently, a simple combined size– and chemical–misfit approach (SCMA) has been proposed for studying the solid solution strengthening33. The mechanical properties of 63 types of Mg–based binary solid solutions calculated from this model are further determined by the electron work function (EWF) of solutes34. However, the distortion interaction of dislocation-solute atom and the segregation of solute atoms on structure and property of dislocations has not been considered, and in real case, the dissociated width of BD in Mg solid solution is usually largely increased as compared to that in pure Mg23. Therefore, its application is limited to some special conditions. To precisely study the effect of solute atoms on the dissociation and mechanical behavior of dislocations, the a–type screw BD in Mg solid solution have been investigated from direct first–principles calculations by substituting a single solute atom in the dislocation supercell35. It is shown that some solute atoms, such as Y, Ca, Ti, and Zr constrict the core of screw BD, and thus increase the ductility of Mg alloys. However, the inherent defect of this method is that the solute concentration cannot be taken into account. Therefore, a more comprehensive method is needed to accurately study the effect of solute concentration on BDs of Mg alloys.
In this paper, we expand the first-principles linear method proposed by Yasi et al. to quadratic term to study the size and distortion interactions of solute atom with dislocation29 (see details in section "Theoretical model and first-principles calculations"). Since Christian and Vitek36 introduced the generalized stacking fault energy (GSFE) curve in crystals, it is widely used to predict dislocation properties by combining the Peierls–Nabarro (P–N) model37,38,39. The effects of solute atoms on GSFE curve can be used to predict chemical solute dislocation interactions33,34. By incorporating all three types of solute–dislocation interactions into two–dimension (2D) P–N dislocation model, we can investigate the effect of segregation of solute atoms on core structure and mechanical behavior of BD in Mg alloys. Among the solute atoms in Mg alloys, yttrium (Y) is considered to be one of the most effective rare earth elements to improve mechanical properties of magnesium alloys15,40. While aluminum (Al) and zinc (Zn) elements possess medium effect on solid solution strengthening41,42, and the addition of lithium (Li) is used to lower the density and to improve room temperature ductility of Mg alloys43. In this paper, we focus on the effects of alloying elements Y, Zn, Al and Li on dissociation and mechanical behaviors of BDs in Mg solid solution. The organization of this paper is as follow. The methodologies are given in section "Theoretical model and first-principles calculations". In section "Results and discussion", the effects of solute atoms on core structures and mechanical behaviors of BDs in Mg alloys are investigated. It is shown that although Zn, Al and Li atoms have little effect on basal dislocations, Y atoms can largely increase their dissociated width. Furthermore, when it moves from its ground state configuration, the dissociated dislocation can further be widened, such that its dissociated widths in a Mg–0.8 at% Y alloy at 300 K can reach 12–36 nm, in rather good agreement with the experimentally observed values of 20–30 nm. Besides, the Peierls and yield stresses of Mg alloys shall increase with increasing solute concentration, while they are decreased drastically with increasing the temperature from 300 to 800 K, but with the Mg-Y alloy as somewhat exception, which is again consistent with experimental observations. The conclusions of the present work are given in section "Summary".
Theoretical model and first-principles calculations
The improved 2D Peierls-Nabarro model
In the generalized 2D P-N model for solid solution38,44, the total line energy of dislocation ET consists of the elastic energy Eel in the two half-spaces, the atomic misfit energy EA in the glide plane and the total interaction energy Eint between solute atoms and dislocation, namely, ET=Eel+EA+Eint. The total line energy ET is a functional of disregistry u(η) between the two sides of the glide plane, which satisfies the boundary condition u(-∞) = 0 andu(∞) = b, where η is the coordinate in the glide plane normal to the dislocation line ξ. The elastic energy Eel in the two half-spaces can be expressed by44
with n, l being integers and q=[e, s]. \(u_{{n,l}}^{q}\), \(\omega _{{n,l}}^{q}\), \(r_{{n,l}}^{q}\) are disregistry magnitudes, half widths and positions of the partials, respectively. R represents the normal outer cutoff radius of the elastic solution of dislocation45. Stroh tensor Ĥ=[Hnl]46,47 of the (0001) basal plane in Mg is diagonal and has components [H11,H22,H33] = 1/(4π)[Kedge,Kscrew,Kedge], where Kedge and Kscrew are energy constants depending on the elastic properties, and are 26.34 and 18.58 GPa48, respectively. The displacement vector \({u^q}(\eta )\) is set as the ansatz:
For a continuous displacement in a continuum, the atomic misfit energy EA can be calculated by integrating the misfit energy density along the displacement path, which can be obtained from the GSF energy surface or the γ-surface \(\gamma \left( {u\left( \eta \right)} \right)=\gamma \left[ {{u^e}\left( \eta \right),{u^s}\left( \eta \right)} \right]\) of pure Mg:
To gain the minimization of the total line energy of dislocation, the γ surface is expanded in 2D Fourier series in terms of reciprocal lattice vectors38
where x and y are directions along [11_20] and [10_10] of Mg lattice, respectively, and p = 2π/(\(\sqrt 3\)a)=π/h and q = 2π/a are the corresponding reciprocal lattice vectors. a = 3.21Å is the lattice parameter of Mg 49,50,51; c1, c2, c3 and c4 are fitting parameters.
In Mg solid solution, the total interaction energy of solute atom with basal dislocation can be expressed as33,48:
where cij(u) and Eij–binding(u) represent the segregated solute concentration and the solute-dislocation interaction energy at i–th atomic row on j–th basal plane, respectively. Since the immediate core region is of utmost importance in the problem, only the NUL and NDL are taken into account in this paper52. The Eij–binding(u) can be calculated in terms of chemical and physical interaction energies of solute atoms with dislocations33. To keep the solute concentration at each atomic row smaller than 1, the Fermi-Dirac distribution function is used to calculate cij(u)29:
where c0 is the average concentration of solute atoms in the matrix. The chemical interaction energy of single solute atom with GSF can be calculated as33:
where A is the area of the fault plane. The physical interaction energy between solute atom and dislocation En−physical(u) in Eq. (5) consists of the size and distortion interaction energies:
The size interaction energy\({E_{ij - size}}\)can be represented as:
where \({e_{Vij}}\) is the volumetric strain at the i-th atomic row on j-th basal plane in the dislocation. \({E^{\prime}_V}\)and \({E^{\prime\prime}_V}\) are the fitted coefficients of first-principles calculated size interaction energies \({E_{size}}({e_V})\) of solute atoms with Mg matrix at various volumetric strains eV:
where \({E_{ss}}\left( {{e_V}} \right)\) and \({E_{ss}}\left( 0 \right)\) represent the total energies of strained and unstrained solid solutions and m is the number of atoms in the supercell, respectively. \({E_{{\text{Mg}}}}\left( {{e_V}} \right)\) and \({E_{{\text{Mg}}}}\left( 0 \right)\) are the energies of single Mg atom in the strained and unstrained bulk materials. The distortion interaction energy \({E_{ij - distortion}}\) of solute atom with the dislocation due to the shear of lattice is assumed to have the same formula as the size interaction energy; only the parameters \({e_{Vij}}\) (\({e_V}\)), \({E^{\prime}_V}\) and \({E^{\prime\prime}_V}\) are replaced by the \({e_{Sij}}\) (\({e_S}\)), \({E^{\prime}_S}\) and \({E^{\prime\prime}_S}\), respectively. Since the volumetric strain of dislocation in our previous work is overvalued48, the half volume of 14–facets constructed by nearest neighboring atoms in each atomic row of dislocations is used to calculate volumetric strain, as depicted in Fig. 1 (a). The volumetric strain at i-th atomic row on j-th basal plane of dislocation is calculated as \({e_{Vij}}={V_{ij}}/{V_0} - 1\), where \({V_0}\) and \({V_{ij}}\) are the half volumes of single Mg atom in bulk and dislocation, respectively. As for the shear strain \({e_{Sij}}\) in each atomic row of dislocation, the average shear strain of the left and right dislocation atomic cells is used, as shown in Fig. 1 (b). Noting, since the disregistry u relies on both the immediate two core planes UPL and DPL, j in both volumetric and shear strains vanishes. Therefore, the shear strain \({e_{Sij}}\) can be expressed as:
where b is the Burgers vector of the dislocation.
Illustration of (a) 14-facets constructed by nearest neighboring atoms for each atomic row in hcp Mg, and (b) the distortion of screw component of dislocation in the up and down planes with respect to the glide plane, and the glide plane is denoted by the dashed lines.
By minimizing total dislocation line energy ET of the above 2D P-N model, the effects of solute atoms on the structure and mechanical behavior of basal dislocations in Mg solid solution at various temperatures and solute concentrations can be studied44,48. However, it should be noted that the limitation of the model lies in its ability to solely simulate the discrete atomic arrangement of crystals within the adjacent layers to the slip plane, specifically referring to the upper and lower layers in this paper. And it fails to account for variations in character exhibited by partial dislocations on other planes, as depicted in refs53,54,55. The incorporation of the GSFE of multiple atomic layers into the Peierls-Nabarro (P-N) model would enhance its capability to simulate discrete atomic configuration layers and thereby facilitate computation of characteristic variations in partial dislocations with respect to other planes, the further investigation is under way.
First-principles calculations
The calculations of GSF energy surface were performed using the Vienna ab initio simulation package (VASP)56 based on density functional theory (DFT). The projector-augmented wave (PAW)57 method was used to treat the core-valence interaction, and the Perdew-Wang (PW91) version of generalized gradient approximation (GGA)58,59 was employed to describe the exchange-correlation functional. In all calculations, the cutoff energy of plane wave basis was chosen at 350 eV. Brillouin zone sampling was performed using the Gamma centered Monkhorst-Pack grids60. To calculate the GSF energy pathways, the periodical supercell model is used in present work. The supercell is framed by 3e1 × 3e2 × 7e3, with \({e_1}=\frac{a}{3}\left[ {2\bar {1}\bar {1}0} \right]\), \({e_2}=\frac{a}{3}\left[ {\bar {1}2\bar {1}0} \right]\), \({e_3}=\left[ {0001} \right]\). All the lattice vectors and the atom positions were fully relaxed to the equilibrium state at first. Then the fifth to twelfth layers of the supercells are displaced accordingly to calculate the GSFE. During the calculations of GSFE61, the lattice vectors and volumes of supercells are maintained, while the atom positions were only relaxed vertical to the glide plane. The k-points mesh 5 × 5 × 1 was utilized. The convergence tests show that with the above parameters the error bar for the total energy is less than 1 meV/atom. To study the size interaction energy of solute atoms with the dislocation, a single solute atom was substituted into a 3 × 3 × 3 Mg supercell (k-point mesh of 9 × 9 × 6) at seven different volumes based on the equilibrium Mg volume V0, that is from 0.925V0 to 1.075V0, stepped by 0.025V0. As for the distortion interaction energy, the same supercell was adopted to calculate the energy variations at nine different shear strains, namely, from − 10.0 to 10.0%, stepped by strain of 2.5%. The atomic positions in each supercell were relaxed until all forces acting on all atoms were less than 0.01 eV/Å.
Results and discussion
First-principles results
The GSFEs of the deformation fault I2 (stacking sequence of …ABABCACA…) along < 10_10> and < 11_20> directions are first computed, and the results are shown in Fig. 2 (a) and (b), respectively. The present stable stacking fault energy (SFE) of I2 36.4 mJ/m2 of pure Mg agrees well with other first-principles results 21–44 mJ/m227,33,49,50,62,63,64,65,66,67,68. The results of other GSFEs including the unstable stacking fault energy (USFE) along < 10_10> and < 11_20> directions (~ 93.8 and 280.4 mJ/m2, respectively) are all in accordance with previous theoretical predictions27,33,49,50,62,63,64,65,66,67,68.Then the chemical interaction energies of Y, Zn, Al and Li solute atoms with the deformation GSF on the basal plane of Mg are obtained. Calculated results are summarized in Fig. 2 (c) and (d), respectively. The corresponding key values, including the interaction energies of solute atoms with the stable and unstable I2 SF, together with other theoretical calculations27,33,62,63,69 are listed in Table 1. From Fig. 2, it can be seen that for both the < 10_10> and < 11_20> directions, the larger the GSFE in pure Mg, the stronger the chemical interactions of solute atoms with GSF of Mg, except that the interactions of Zn and Li atoms with GSF along < 10_10> direction only show opposite contour to GSFE. Y and Al atoms decrease both the stable SFE and USFE of I2. Whereas, Zn and Li atoms increase the stable SFE but decrease the unstable one slightly, this trend agrees well with other calculations27,33,62,63,69. The chemical interaction energies of alloying elements Y, Zn, Al, Li with stable and unstable I2 SF are − 59.2, 15.2, -22.7, 19.8 meV and − 85.0, -8.9, -27.3, -3.2 meV, respectively. The maximum interaction energies along the < 10_10> and < 11_20> directions due to alloying elements Y, Al, Zn, and Li are both in descending order to -363.0, -163.9, -102.3, -56.9 meV and − 194.0, -77.3, -48.8, -31.6 meV, respectively. For the minimization of the total line energy of dislocation, the chemical interaction energy surface is also expanded in 2D Fourier series in reciprocal lattice vectors using Eq. (4) due to the same symmetric with the γ surface of I2 SF. The fitted results are plotted in Fig. 3. The parameters c1, c2, c3 and c4 for Y, Zn, Al, and Li atoms are listed in Table 2.
The calculated GSFE of basal plane along (a) < 10_10> and (b) < 11_20> directions in 3 × 3 supercell and the corresponding chemical interaction energy of solute atoms with I2 GSF.
The calculated chemical interaction energy surface of solute atoms (a) Y (b) Zn (c) Al and (d) Li with deformation GSF of basal plane in Mg.
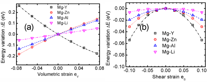
Besides the chemical interaction, other effects of solute atoms are the size and distortion interactions due to the local volumetric and shear strains around dislocation, respectively. Large size solute atom prefers the dilation area while the small size alloying element would segregate to the compression area. As for the distortion interaction, the effects are the same when solute atoms substituted on both sides of glide plane. The calculated size and distortion interaction energies under various volumetric (eV) and shear (eS) strains are summarized in Fig. 4 (a) and (b), respectively. One can see that with the increase of volumetric strain eV, the size interaction energies of Zn, Al and Li solute atoms increase since their atomic radii are smaller than Mg, while that of Y atom decreases due to its larger atomic radius70. The fitted absolute slope EV’ for Y, Zn, Al and Li are in descending order, being 2.91, 2.14, 1.75 and 0.71 eV, respectively. These values are in agreement with other theoretical predictions33,34, as can be seen from Table 3. Figure 4 (b) shows the distortion interaction energy vs shear strain eS. A quadratic relationship is clearly be seen for all solute atoms, and the coefficient ES’ vanishes. The distortion interaction energy is identical at the same positive and negative shear strains. The absolute fitted ES’’ for Y, Zn, Al and Li solute atoms are also in descending order (see Table 3).
The calculated energy variation of solute atoms at different (a) volumetric and (b) shear strains.
The single solute dislocation interaction in mg solid solution
To study the chemical, size and distortion interactions of solute atom with BDs, the displacement fields \(u_{n}^{q}\), volumetric \({e_{Vij}}\) and shear \({e_{Sn}}\) strains of edge and screw BDs in pure Mg have been calculated. The results are summarized in Fig. 5. it can be seen from Fig. 5 (a) and (b) that both edge and screw BDs contain ue and us disregistries, implying that the PDs are mixed dislocations. The dissociated distance of BDs defined as the atomic distance over which the disregistry changes from b/4 to 3b/4 can be determined from Fig. 5. The dissociated distance of edge BD 2.36 nm is larger than that of screw BD 1.38 nm. The calculated maximum/minimum volumetric strains of PD cores in edge and screw dislocations are + 5.2%, -5.2% and + 4.2%, -2.9%, respectively (see Fig. 5 (c) and (d)); in good agreement with previous atomic-scale values of + 5.3%, -4.9% and + 4.6%, -2.7%, respectively33. And the maximum/minimum shear strains in PD cores are ±5.7% and ±6.8% for edge and screw BDs, respectively. With the distance increasing from the PD cores, both the volumetric and shear strains are decreased, indicating that the strong solute–dislocation interactions are located in the PD cores.
The disregistries and strains of edge (a, c) and screw (b, d) dislocations on basal plane of Mg.
By combining the first-principles calculated parameters of three types of interactions with the displacement fields \(u_{n}^{q}\), volumetric \({e_{Vn}}\) and shear \({e_{Sn}}\) strains estimated from P-N model, the chemical, size and distortion interaction energies of solute atoms Y, Zn, Al and Li with edge and screw dislocations have been obtained. The results are sketched in Fig. 6 and it can be seen that for both edge and screw dislocations, the maximum size and distortion solute–dislocation interaction energies for Y, Zn, Al and Li solute atoms are decreased sequentially; and the interaction in edge is stronger that in screw. As for the chemical interaction energy, Y, Al atoms have negative values in BSF ribbons of both dislocations, while Zn, Li possess positive values. Summing the three types of interaction energies, the total solute–dislocation interaction energies can be obtained (see Fig. 6 (b)). The negative/positive total interaction energy means the attraction/repulsion of solute atom to the dislocation. Clearly, for edge dislocation, Y atom segregates in down-dilation plane, while Zn, Al and Li concentrated on the up-constriction plane. As for the screw dislocation, all solute atoms may segregate in both planes. The maximum total interaction energies together with other direct first–principles calculations and predictions from the SCMA are presented in Table 4. A good agreement is easily confirmed, implying that the calculation method is reasonable.
(a) The chemical, size, distortion and (b) the total interaction energies of solute atoms with dislocations on basal plane of Mg.
The structure and mechanical behavior of dislocations in mg solid solution
By substituting the total interaction energies into 2D P-N model and minimizing the total dislocation line energy (DLE) ET=Eel+EA+Eint, the structure and mechanical behavior of basal dislocations in Mg solid solution can be investigated.
Effects of uniform distribution of solute atoms
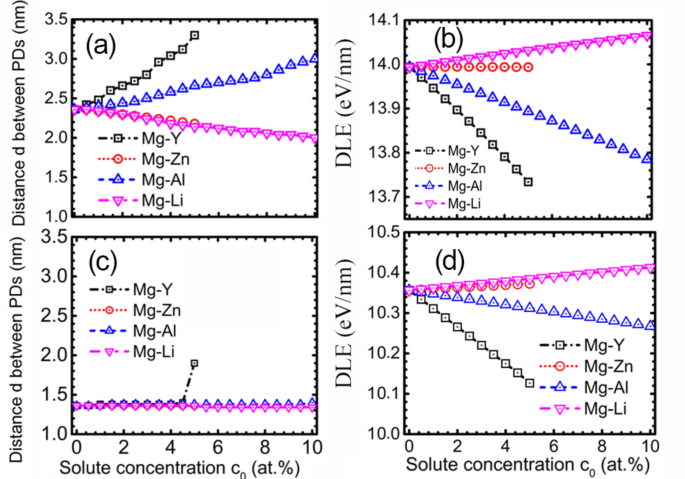
As we all know, if the strain rate is high or temperature is relatively low during the plastic deformation, the solute atoms have not diffused to the newly generated dislocations, and the distribution of solute atoms is uniform. The calculated results of uniform distribution of solute atoms on BDs has been studied, and the results are summarized in Fig. 7. It can be seen that the variation of dissociated width of PDs is very small for all cases. With the increase of solute concentration, Y and Al atoms slightly increase the dissociated distance of edge nearly linearly from 2.36 nm in pure Mg to 3.30 nm (5.0 at% Y) and 3.01 nm (10.0 at% Al), respectively; while Zn and Li atoms show opposite trends, decreasing the distance linearly to 2.18 nm (5.0 at% Zn) and 2.02 nm (10.0 at% Li), respectively. As for the screw dislocation, the variation of distance between PDs in all solid solutions is even small. Therefore, the uniform distribution of solutes has little effects on the dissociated width of BDs in Mg. For both edge and screw dislocations, Y, Al atoms decrease linearly the DLE, while Zn, Li solute atoms increase linearly the DLE. At the same solute concentration, the variation of DLE in edge is larger than that in screw.
To study the mechanical behavior of dislocation in Mg solid solution, the Peierls energy and stress are investigated from the 2D contour of DLE38. The influence of Y atom is taken as an example and the calculated results are presented in Fig. 8. It can be seen that for Mg–1.5 at% Y alloy, the dissociated distance of edge dislocation slightly decreases 0.012 nm when moved along the minimum energy reaction path (MERP) as marked by white arrows in Fig. 8 (a); while for screw dislocation the dissociated distance increases 0.277 nm (see Fig. 8 (c)). This result indicates that the movement of edge and screw dislocations are both completed by the alternate displacement of partial dislocations. The scenario is manifested by recent direct first-principles molecular dynamic simulations from orbital–free density functional theory (OFDFT) in pure Mg71. From Fig. 8 (b) and (d), it can be seen that the Peierls energy and stress of both edge and screw fluctuate around that of pure Mg with increasing the solute concentration, and the solid solution strengthening of alloying elements is small. In detail, the Peierls energy and stress of edge dislocation scatter in the range of 0.4–2.0 × 10− 2 meV/Å and 1–4 MPa, respectively; while those of screw vary in the range of 0.8–1.4 meV/Å and 80–130 MPa, respectively.
The dissociated distances and dislocation line energies for edge (a, b) and screw (c, d) dislocations as a function of solute concentration under homogeneously distributed solute atoms.
The 2D contour of DLE in Mg–1.5 at% Y alloy and Peierls energy and stress as a function of solute concentration for edge (a, b) and screw (c, d) dislocations under uniform distributed solute atoms of Y. The reaction paths of dislocations are indicated by white arrows.
Effects of Fermi-Dirac distribution of solute atoms
The dissociation behavior and dislocation line energy
At higher temperatures and/or larger strains (such as hot-extruded alloys and severely plastic deformed (SPD) materials), fast movement of solute atoms can diffuse around dislocations and stacking faults (SFs) during plastic deformation to strengthen them72. On the other hand, pre-deformations have recently become an important method for designing materials with high strength and good ductility, and show a strong effect on mechanical properties and subsequent heat-treatment processing of alloys73,74. During pre-deformation processing, a larger number of dislocations are introduced in the materials, and the solute atoms have enough time to segregate to the tangling dislocations at subsequent heat-treatment73, the mechanical properties of alloys is thus improved.
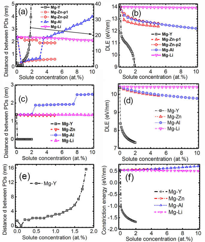
The effects of solute atoms under Fermi-Dirac distribution on DLE and dissociation behavior of basal dislocations are therefore investigated. And the results at various solute concentrations and temperatures are shown in Fig. 9. One can see that Zn, Al and Li solute atoms still have little effects on the dissociated distance of dislocations at room temperature (RT) of 300 K. It should be noted that for edge dislocation with Zn atom there are two local minimum energy states; the compact (p1) and dissociated (p2) states. The constriction of edge dislocation may enhance the proportion of edge dislocation to climb to the neighbor basal planes, and thus increase the edge dislocation sources and more stacking faults may be produced during the plastic deformation. Y atom has much larger effect than the other alloying elements; the dissociated distance of edge is larger than 10 nm at solute concentration of > 1.5 at% and the dissociated distance in Mg–2.0 at% Y alloy exceeds 80 nm, while the screw dislocation is constricted in the whole range of concentration. The results are consistent with the direct first-principles calculation results35 that the screw dislocation is constricted even at small solute concentration of 0.4 at% Y, while the dislocation remains dissociated into two partial dislocations in case that the Al and Zn solutes are added. However, the dissociated distance of edge at equilibrium state for Mg–0.8 at% Y is 3.96 nm, far less than experimental findings of 20–30 nm in Mg–3.0 wt% Y (~ 0.8 at%)23. The large discrepancy between theoretical prediction and experiment may be that the equilibrium state has not been attained in experiment.
To study the different dissociated behavior of screw from edge due to the addition of Y, the dissociation behavior of screw without the distortion interaction energy is also calculated (see Fig. 9 (e)). It is found that the core of screw dislocation extends to two PDs at various solute concentrations except for Mg–0.5 at% Y alloy in which the core is compressed. Therefore, the distortion interaction plays an important role on constricting the core of screw dislocation. To clarify the different effects of solute atoms on the constriction behavior, the energy needed to constrict the core of screw dislocation at various solute concentrations has been calculated, as in Fig. 9 (f). The constriction energy of screw in pure Mg is 0.054 eV/Å, larger than the value of ~ 0.019 eV/Å in ref35. The reason may be that the constriction energy calculated in ref35. is interfered by the interaction between dislocations because of their small distance (1.5–2.0 nm) in the supercell. With the increase of Al, Zn and Li solute concentration, the constriction energy changes very small; while the constriction energy decreased to minus 0.10–0.18 eV/Å with the addition of Y atom, implying that the compact core is even stable than the extended one. The constriction of the core may promote the cross-slip of basal screw dislocation onto prismatic and pyramidal planes, which may be another potential reason for the higher ductility of Mg–Y alloys besides the increase in the density of < c + a > dislocation sources23, and thus increase the ductility of Mg-Y alloys2,23,75,76,77,78.
As seen in Fig. 9 (b) and (d), the DLEs of dislocations decrease with increasing solute concentration due to the segregation of solute atoms, and Y atom can largely decrease the DLEs of both edge and screw. It should be note that since the DLE of compact configuration p1 of edge dislocation in Mg–Zn alloy is lower than that of extended state p2, we later only study the mechanical behavior of former.
It is well known that heat-treatment plays a crucial role on the structure and property of alloys79,80. the energetics and dissociated behavior of dislocations vs. temperature in Mg–1.0 at% Y (M1), Mg–2.0 at% Zn (M2), Mg–5.0 at% Al (M3) and Mg–5.0 at% Li (M4) alloys have been calculated, and the results are shown in Fig. 10. It can be seen that the dissociation width of both dislocations changed very little at various temperatures. It is, therefore, not anticipated that the dissociated width of dislocations can increase to a high value at elevated temperatures. Interestingly, it is found that there are two possible local minimum states in M1 alloy with increasing the temperature; the compact (p1) and extended (p2) configurations. Since the DLE of p1 is lower than that of p2, we only study the mechanical behavior of p1 state later. The DLEs of both edge and screw dislocations increase nonlinearly with increasing temperature, and the increment of M1 alloy is much larger than the others at the same temperature. At a critical high temperature, each case converges to a certain value of homogeneous distribution of solute atoms except for M1 alloy, implying that the Y atom has the potential for altering the properties of Mg alloys at high temperatures.
The dissociated distance and DLEs for edge (a, b) and screw (c, d) BDs as a function of solute concentration at 300 K, respectively. (e) The dissociated width of screw BD without distortion solute–dislocation interaction energy and (f) constriction energy of screw dislocation is also presented.
The dissociated distance and DLE for edge (a, b) and screw (c, d) dislocations as a function of temperature in Mg–1.0 at% Y (M1), Mg–2.0 at% Zn (M2), Mg–5.0 at% Al (M3) and Mg–5.0 at% Li (M4) alloys, respectively.
In order to exclude the discrepancy between theoretical predictions and experiments about the dissociated distance of dislocations, we notice that high density of stacking faults and large dissociated distance of dislocation appear in the alloys under applied stresses22,81. It is proposed that under applied stress there are two possible reaction paths for the dislocation to unpin from the concentrated solute atoms; one is the tensile path in which the dissociated distance of PDs d increases with the displacement of dislocation, and the other one with opposite trend is called the compression path. The detail processing is illustrated in Fig. 11 (a), where the areas of the solid circles stand for the concentration of solutes while the waves represent the PD cores. The difference between the two paths is in the first step, and the rest configurations for both tensile and compression paths are the same. The largest partial dislocation separation distances of tensile path can be greatly increased. Set the DLE in the uniform distribution of solute atoms as the reference energy, the dissociated width of edge increases from 3.96 to 12.10 nm in Mg–0.8 at% Y. However, this value is still smaller than the experiment value of 20–30 nm23. The reason may be originated from the assumption that the concentrations of solute atoms are maintained during the movement of dislocations.
To further close to the realistic situation of experiments, we suppose that the strain rate is very slow and the solute atoms have adequate time to diffuse well around the stacking fault and dislocation. It is found that the distance between partial dislocations is greatly increased as compared to that of the undiffused situation, especially for Y atom. With the addition of 0.8 at% Y at 300 K, the dissociated width of BDs can reach 36.20 nm, as seen in Fig. 11 (b). However, it should be noted that in a real material the solute atoms diffuse slowly at low temperatures, the concentration of equilibrium state is hard to be attained; therefore, the dissociation width of BDs in Mg solid solutions should be scattered between the undiffused and well concentrated cases, 12.10–36.20 nm, which can well interpret the experimental found values of 20–30 nm20,23. Therefore, the smart heat or mechanical treatment processing is very important for obtaining large dissociation distance of BD, e.g., small rolling speed and small thickness reduction per rolling pass at relative higher temperature to allow the solute atoms to diffuse around the dislocations. The detail mechanical behavior scenario is illustrated as following parts.
(a) The illustration of movement of the dislocation, d is the distance between the PDs at equilibrium. The size of solid circles denotes the concentration of solute atoms. (b) The calculated DLE of edge in Mg–0.8 at% Y when it moves along the tensile path with the solute atoms diffused or non-diffused. The dash–dotted line represents the reference DLE of edge at equilibrium under uniform distribution of solutes.
To study the mechanical behavior of dislocation under stress, the DLE of Mg solid solution as a functional of dissociated distance d between partials and translation of dislocation center t has been computed. It should be noted that the distribution of solute atoms is kept in the equilibrium state, as depicted in Fig. 11. The main results of M1, M2, M3, M4 alloys for edge and screw dislocations at 300 K are shown as Figs. 12 and 13, respectively. It is found that there are three local minimum energies in 2D DLE surface for edge dislocation in M1 and M3 alloys, while for other cases there exists only one local minimum energy. It should be noted that the lower energy state p1 of compact core in edge for M2 alloy is chosen as an example. When the dislocations are moved away from the original state (as smallest DLE points in Figs. 12 and 13), the most possible reaction paths are marked with black arrows. Clearly, for extension cores there are two possible reaction paths; the one which with increasing the translation t of the dislocation center the dissociated distance between partials d is also increased is called the tensile path, while the other one is called compression path, as illustrated in Fig. 11. For compact cores only tensile path exists. The corresponding configurations at the end of arrows are shown in Fig. 11.
Contour plot of total DLE surfaces ET(t, d) of edge dislocation for (a) M1, (b) M2, (c) M3, (d) M4 solid solutions solid solutions. The reaction path is marked with black arrows.
Contour plot of total DLE surfaces ET(t, d) of screw dislocation for (a) M1, (b) M2, (c) M3, (d) M4 solid solutions. The reaction path is marked with black arrows.
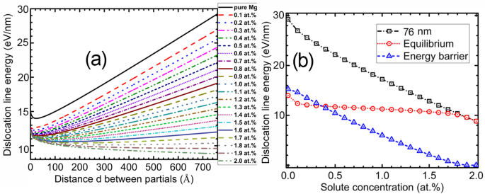
The difference between the two paths is only the first step, and the other configurations for both tensile and compression paths are the same. The largest partial separations of tensile path for edge dislocation with Y, Zn, Al and Li solute atoms addition are in descending order, being 15.1, 7.9, 6.7 and 2.6 nm, respectively. While for screw dislocation the largest dissociated distances are 13.8, 2.2, 4.1 and 1.4 nm, respectively, smaller than those for edge. With increasing Y solute concentration from 0 to 2.0 at% at 300 K, the energy needed to extend the distance between partials from equilibrium state to 76.00 nm is decreased nearly linearly from 1.5 eV/Å to 0 eV/Å, as seen in Fig. 14; that is to say it is relative easily to extend the distance between partials at higher concentration of Y solute.
(a) The total DLE of edge as a function of distance between partials under Fermi-Dirac distribution of Y atom at 300 K, and (b) the total DLEs of edge at equilibrium and 76.00 nm states and energy barrier at various Y solute concentration.
From our theoretical results, it can be concluded that at equilibrium state, the variation of dissociation distances of both edge and screw dislocations is rather small by changing the solute concentration or temperature, except for edge dislocation when Y solute concentration is larger than 1.5 at%, where the dissociation distance between partials is larger than 10 nm. Therefore, the smart heat or mechanical treatment processing is very important for obtaining large dissociation distance of basal dislocation at small Y solute concentration, e.g., small rolling speed and small thickness reduction per rolling pass at relative higher temperature to allow the solute atoms to diffuse well around the dislocations22,23. On the other hand, although the predictions of basal SFE variation trends in Mg solid solution with the addition of solute atoms from theoretical and experimental studies are the same, e.g., the segregation of Y solute atom leads to a large decrease of basal SFE in Mg solid solution; there is still large difference between theoretical and experimental values in the decrement of SFE. For example, the calculated SFE of I2 in Mg-0.82 at% Y solid solution from traditional partial dislocation theory29,82 based on the Transmission electron microscope (TEM) experimentally observes dissociation width of the partial dislocations decreased ~ 95% compared with pure Mg23, while the theoretical investigation only gives a corresponding value of about 30%, even if the segregation of Y atom in several atomic layers with respect to fault plane is considered83. The same case is also happened to the SF I1 (the growth fault of …ABABCBCB…) in Mg-Y solid solution23, therefore, it is proposed that the traditional equilibrium dislocation theory may be not very suitable for the study of SFEs of Mg solid solution alloys, and the detailed heat and mechanical treatment processing should also be taken into account.
The Peierls energy and stress in mg solid solution
One of the merits of P–N model is, beyond the description of the dislocation line energy and dissociation behavior, to provide the energy barrier and critical resolved shear stress (CRSS) for straight dislocation to move, called the Peierls energy and stress. The calculated results at various solute concentrations and temperatures are shown in Figs. 15 and 16, respectively. It can be seen that with the increase of solute concentration, the Peierls energy and stress of all alloys are increased and the increments of Mg–Y alloy are much larger than the others. Especially, the small addition of Y can lead to large increase in the solid solution strengthening; the addition of 1.0 at% Y at 300 K results in 1.459 GPa of the Peierls stress of edge, and that of screw dislocation reaches ~ 2.3 GPa in the whole range of Y solute concentration. Al and Zn solute atoms have medium magnitudes on the improvement of Peierls energy and stress of Mg; while the addition of Li atom shows only a little solute strengthening effect even if at higher solute concentrations.
From Fig. 12, it can be seen that both the Peierls energy and stress decrease with increasing temperature, and the larger the values at 300 K, the more quickly the decrease with increasing temperature. So, the Peierls energy and stress of M1 alloy decrease faster than that of others. However, even at high temperature of 500 K the Peierls stresses of edge and screw dislocations in M1 alloy are as high as 0.628 and 1.888 GPa, respectively; indicating that Y atom can remarkably increase the properties of Mg alloy at high temperatures, which is in agreement with the trend of experiments15.
The Peierls energy and stress for edge (a, b) and screw (c, d) dislocations in various solute concentration at 300 K, respectively.
The Peierls energy and stress for edge (a, b) and screw (c, d) dislocations at various temperatures in M1,2,3,4 alloys, respectively.
The yield stress in mg solid solution
The Peierls stress calculated above is the minimum stress needed to displace a straight dislocation. In real crystals, the dislocation may bow-out from the pinning of solutes and the minimum stress for moving the curved dislocation is usually smaller than Peierls stress and is called the yield stress. According to Fleischer model84 about solid–solution strengthening, the yield stress relies on the maximum solute concentration cmax in the atomic row of dislocation core and maximum point force Fmax=max|grad[En−binding(u, t)]| of solutes. Then, the yield stress is calculated as follows84:
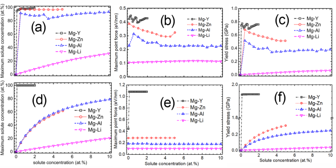
where Lmin(c0) is the mean spacing between solute atoms in the dislocation core. The cmax and Fmax of solute and yield stress at various solute concentrations and temperatures have been calculated and the results are summarized in Figs. 17 and 18, respectively. It can be seen from Fig. 17 that with the increase of solute concentration at 300 K, the cmax is increased. At the same concentration, the cmax of Y, Zn, Al and Li decrease sequentially. The solute concentrations of Zn and Al in edge and Y in both are nearly saturated, indicating that they are easy to segregate to the corresponding dislocation cores. The Fmax of all atoms in screw and Li atom in edge are nearly unchanged with the increase of solute concentration; while that of Y, Zn and Al atoms in edge dislocation have peak values owing to the constricted cores. Then, the yield stress is calculated based on Eq. (12) and the results are plotted in Fig. 17 (c) and (f). It can be seen that with the increase of solute concentration to the limit, the yield stress of edge dislocation of Mg–Y nearly maintains at ~ 0.7 GPa, while that of Mg–Zn and Mg–Al alloys slightly decrease from 0.679 to 0.514 GPa to 0.513 and 0.381 GPa, respectively. The yield stress of edge in Mg–Li increases nonlinearly from 0 to 0.064 GPa. As for screw dislocation, the yield stress of Mg–Y nearly maintains at ~ 2.3 GPa, while that of Mg–Zn, Mg–Al and Mg–Li increase nonlinearly from 0 to 0.314, 0.251, and 0.038 GPa, respectively.
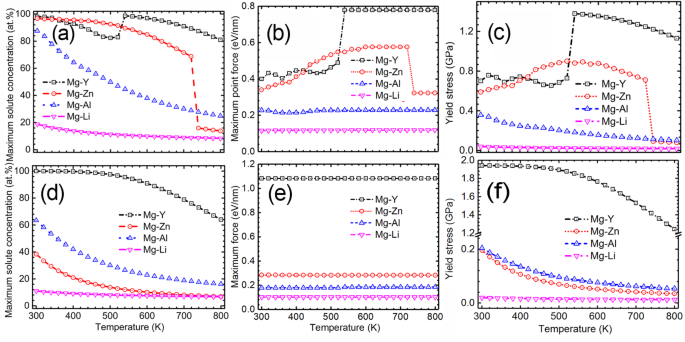
From Fig. 18, one can see that with increasing temperature from 300 K to 800 K, the cmax is reduced for all cases, except for edge dislocation in Mg–Y alloy, where it has an abnormal increase at the temperature 520–800 K due to the constriction of the dislocation core in this region. At the same temperature, the segregation of solute atoms Y and Zn is larger that of Al and Li (the order of Al and Zn atoms is reversed at temperature 720–800 K for edge dislocation). The Fmax of all atoms in screw as well as Al and Li atoms in edge are nearly unchanged with increasing temperature, but there are sudden changes for the Fmax of Y and Zn atoms in edge. The yield stresses of edge dislocation in Mg–Al and Mg–Li alloys are slightly decreased with temperature; while that in Mg–Y and Mg–Zn alloys keep at a relative higher value, ~ 0.7 GPa. As for screw dislocation, the yield stresses of M1,2,3,4 alloys are decreased nonlinearly from 1.941, 0.196, 0.204 and 0.020 GPa at 300 K to 1.244, 0.025, 0.054 and 0.012 GPa at 800 K, respectively. The Y atom has the largest effect on improving the yield stress of Mg solid solution, and even small addition of Y would lead to large increase in the yield stress.
From above results, it can be seen that the yield strength may be either lower or greater than Peierls stress in Mg solid solution, implying that the movement of dislocation through straight PD competes with bowing-out from the concentrated solutes. The increased Peierls stresses and yield strengths of BDs would enhance the proportion of the activation of other slip systems, such as the perfect < a > dislocations on prismatic and pyramidal planes, twinning and the < c + a > dislocations, which provides five independent slip systems85, and thus increase the ductility of Mg alloys23,76. However, it should be noted that in a real material the solute atoms diffuse slowly at low temperatures, the concentration of equilibrium state is hard to be attained, therefore, the dissociation behavior and mechanical properties of Mg solid solutions should be scattered between the uniform distributed and well concentrated cases. On the other hand, even if the dislocation core are nearly saturated, the dislocation can be teared free from the long solute–free segments or moved through kinks at small applied stress29,52, especially at high temperatures and the further investigation is under way. Moreover, if the solute concentration is very high, there exists interactions between solute atoms86, and the concentration should be lowered25, which would influence the properties of dislocations. The further investigations can focus on this aspect.
The maximum solute concentration, maximum point force of solutes, and yield stress of (a–c) edge and (d–f) screw dislocations for various solute concentration at 300 K, respectively.
The maximum solute concentration, maximum point force of solutes, and yield stress for (a–c) edge and (d–f) screw dislocations at various temperatures in M1, 2, 3, 4, respectively.
Summary
In summary, by combining the two–dimensional (2D) Peierls–Nabarro (P–N) model with input of the solute dislocation interaction from first– principles calculations, we have studied the effects of alloying elements Y, Zn, Al and Li on structure and mechanical behavior of BDs in Mg alloys. The main results are as follow:
The first–principles calculations show that the larger the SFE in Mg, the stronger the chemical interactions of solute atoms with GSF. The size and distortion interaction energies of solute atoms with Mg matrix have quadric relationship with the local volumetric and shear strains, respectively; and both interactions decrease sequentially from alloying elements Y, Zn, Al to Li. The maximum total interaction energies of solute atoms with dislocations in pure Mg are in good agreement with other calculation results.
Under uniform distribution, all alloying elements have little effect on the dissociated width of BDs. Under Fermi–Dirac distribution of 300 K, Zn, Al and Li atoms also have little effect on the dissociated width of BDs. Y atom can largely increase the dissociated distance of edge BD (> 10 nm) only at solute concentration of > 1.5 at%, while the screw BD core is compacted in the whole range of concentration considered. When the BD is moved away from the ground state configuration, the dissociation width can be further increased; the dissociated distance of edge BD in Mg–0.8 at% Y at 300 K is increased from 3.96 nm to 12–36 nm, which is in good agreement with experimental values of 20–30 nm.
Besides, the mechanical behavior of BD in Mg solid solution is estimated as well. It is found that under uniform distribution, the Peierls stresses fluctuated around those of pure Mg, and the solid solution strengthening of alloying elements is small. Under Fermi–Dirac distribution of 300 K, all alloying elements can increase the Peierls stresses and yield strengths of BDs in Mg alloys, and the increments in Y, Zn, Al and Li added Mg are in descending order. With increasing the temperature from 300 to 800 K, the Peierls stresses and yield strengths of BDs in Mg solid solutions are gradually decreased, except that the Y atom can remarkably increase the Peierls stresses and yield strengths of BDs in Mg alloys at high temperatures, which agrees with the trends of experimental findings.
Data availability
The datasets used and/or analysed during the current study available from the corresponding author on reasonable request.
References
Pollock, T. M. Weight loss with magnesium alloys. Science. 328(5981), 986–987 (2010).
Wu, Z., Ahmad, R., Yin, B., Sandlöbes, S. & Curtin, W. A. Mechanistic origin and prediction of enhanced ductility in magnesium alloys. Science. 359(6374), 447–452 (2018).
Ovri, H. et al. Mechanistic origin of the enhanced strength and ductility in Mg-rare earth alloys. Acta Mater.244, 118550 (2023).
Potzies, C. & Kainer, K. U. Fatigue of magnesium alloys. Adv. Eng. Mater. 6(5), 281–289 (2004).
Gehrmann, R., Frommert, M. M. & Gottstein, G. Texture effects on plastic deformation of magnesium. Mater. Sci. Eng. A. 395(1–2), 338–349 (2005).
Jin, Z. Z. et al. Alloying design and microstructural control strategies towards developing mg alloys with enhanced ductility. J. Magnes Alloys. 10 (5), 1191–1206 (2022).
Wu, Y. et al. In-situ EBSD study on twinning activity caused by deep cryogenic treatment (DCT) for an as-cast AZ31 mg alloy. J. Mater. Res. Tech. 30, 3840–3850 (2024).
Wu, Z. & Curtin, W. A. The origins of high hardening and low ductility in magnesium. Nature. 526(7571), 62–67 (2015).
Hutchinson, W. B. & Barnett, M. R. Effective values of critical resolved shear stress for slip in polycrystalline magnesium and other hcp metals. Scripta Mater. 63(7), 737–740 (2010).
Sánchez-Martín, R. et al. Molina-Aldareguia, measuring the critical resolved shear stresses in mg alloys by instrumented nanoindentation. Acta Mater. 71, 283–292 (2014).
Zhu, G. et al. Improving ductility of a mg alloy via non-basal < a > slip induced by ca addition. Int. J. Plast. 120, 164–179 (2019).
Akhtar, A. & Teghtsoonian, E. Solid solution strengthening of magnesium single crystals—I alloying behaviour in basal slip. Acta Metall. 17(11), 1339–1349 (1969).
Akhtar, A. & Teghtsoonian, E. Solid solution strengthening of magnesium single crystals—II the effect of solute on the ease of prismatic slip. Acta Metall. 17, 1351 (1969).
Gao, L., Chen, R. S. & Han, E. H. Effects of rare-earth elements Gd and Y on the solid solution strengthening of mg alloys. J. Alloys Compd. 481(1–2), 379–384 (2009).
Gao, L., Chen, R. S. & Han, E. H. Solid solution strengthening behaviors in binary Mg–Y single phase alloys. J. Alloys Compd. 472(1–2), 234–240 (2009).
Inoue, A., Kawamura, Y., Matsushita, M., Hayashi, K. & Koike, J. Novel hexagonal structure and ultrahigh strength of magnesium solid solution in the Mg-Zn-Y system. J. Mater. Res. 16(7), 1894–1900 (2001).
Hosokawa, S. et al. Impurity effects in the microscopic elastic properties of polycrystalline Mg-Zn-Y alloys with a synchronized long-period stacking ordered phase. J. Alloys Compd. 695, 426–432 (2017).
Kawamura, Y., Hayashi, K., Inoue, A. & Masumoto, T. Rapidly solidified powder metallurgy Mg97Zn1Y2 alloys with excellent tensile yield strength above 600 MPa. Mater. Trans. 42(7), 1172–1176 (2001).
Zhu, Y. M., Morton, A. J., Weyland, M. & Nie, J. F. Characterization of planar features in Mg-Y-Zn alloys. Acta Mater. 58(2), 464–475 (2010).
Zhu, Y. M., Morton, A. J. & Nie, J. F. Growth and transformation mechanisms of 18R and 14H in Mg–Y–Zn alloys. Acta Mater. 60(19), 6562–6572 (2012).
Nishioka, T. et al. In-plane positional correlations among dopants in 10H type long period stacking ordered Mg75Zn10Y15 alloy studied by X-ray fluorescence holography. Materialia. 3, 256–259 (2018).
Jian, W. W. et al. Ultrastrong mg Alloy via Nano-spaced stacking faults. Mater. Res. Lett. 1(2), 61–66 (2013).
Sandlöbes, S. et al. The relation between ductility and stacking fault energies in mg and Mg–Y alloys. Acta Mater. 60(6–7), 3011–3021 (2012).
Yang, Z., Chisholm, M. F., Duscher, G., Ma, X. & Pennycook, S. J. Direct observation of dislocation dissociation and Suzuki segregation in a Mg–Zn–Y alloy by aberration-corrected scanning transmission electron microscopy. Acta Mater. 61(1), 350–359 (2013).
Hu, W. W., Yang, Z. Q. & Ye, H. Q. Cottrell atmospheres along dislocations in long-period stacking ordered phases in a Mg–Zn–Y alloy. Scripta Mater. 117, 77–80 (2016).
Sastry, D. K., Prasad, Y. V. R. K. & Vasu, K. I. Scr. Metall. 3 927. (1969).
Shang, S. L. et al. Generalized stacking fault energy, ideal strength and twinnability of dilute Mg-based alloys: a first-principles study of shear deformation. Acta Mater. 67, 168–180 (2014).
Nie, J. F., Zhu, Y. M., Liu, J. Z. & Fang, X. Y. Periodic segregation of Solute Atoms in fully coherent twin boundaries. Science. 340(6135), 957–960 (2013).
Hirth, J. P. & Lothe, J. Theory of Dislocations 2nd edn (Wiley, 1982).
Cottrell, A. H., Hunter, S. C. & Nabarro, F. R. N. Electrical interaction of a dislocation and a solute atom. Philos. Mag. 44(357), 1064–1067 (1953).
Snoek, J. L. Effect of small quantities of carbon and nitrogen on the elastic and plastic properties of iron. Physica. 8(7), 711–733 (1941).
Suzuki, H. Segregation of solute atoms to stacking faults. J. Phys. Soc. Jpn. 17(2), 322–325 (1962).
Yasi, J. A., Hector, L. G. Jr & Trinkle, D. R. First-principles data for solid-solution strengthening of magnesium: from geometry and chemistry to properties. Acta Mater. 58(17), 5704–5713 (2010).
Liu, Z. R. & Li, D. Y. The electronic origin of strengthening and ductilizing magnesium by solid solutes. Acta Mater. 89, 225–233 (2015).
Tsuru, T. & Chrzan, D. C. Effect of solute atoms on dislocation motion in mg: an electronic structure perspective. Sci. Rep. 5, 8793 (2015).
Christian, J. W. & Vitek, V. Dislocations and stacking faults. Rep. Prog Phys. 33, 307 (1970).
Joós, B., Ren, Q. & Duesbery, M. S. Peierls-Nabarro model of dislocations in silicon with generalized stacking-fault restoring forces. Phys. Rev. B. 50(9), 5890–5898 (1994).
Schoeck, G. & Krystian, M. The peierls energy and kink energy in fcc metals. Philos. Mag. 85(9), 949–966 (2005).
Gang, L., Kioussis, N., Bulatov, V. V. & Kaxiras, E. Dislocation core properties of aluminum: a first-principles study. Mater. Sci. Eng., a. 309-310, 142–147 (2001).
Suzuki, M., Kimura, T., Koike, J. & Maruyama, K. Effects of zinc on creep strength and deformation substructures in Mg–Y alloy. Mater. Sci. Eng. A. 387–389, 706–709 (2004).
Khan, A. S., Pandey, A., Gnäupel-Herold, T. & Mishra, R. K. Mechanical response and texture evolution of AZ31 alloy at large strains for different strain rates and temperatures. Int. J. Plast. 27(5), 688–706 (2011).
Kabirian, F., Khan, A. S. & Gnäupel-Herlod, T. Plastic deformation behavior of a thermo-mechanically processed AZ31 magnesium alloy under a wide range of temperature and strain rate. J. Alloys Compd. 673, 327–335 (2016).
Agnew, S. R., Yoo, M. H. & Tome, C. N. Application of texture simulation to understanding mechanical behavior of mg and solid solution alloys containing Li or Y. Acta Mater. 49(20), 4277–4289 (2001).
Schoeck, G. The core structure of dislocations in Al: a critical assessment. Mater. Sci. Eng. A. 333(1–2), 390–396 (2002).
Schoeck, G. The core structure of dislocations. Peierls model vs. atomic simulations in pd. Comput. Mater. Sci. 21(1), 124–134 (2001).
Stroh, A. N. Dislocations and cracks in anisotropic elasticity. Philos. Mag. 3(30), 625–646 (1958).
Bacon, D. J., Barnett, D. M. & Scattergood, R. O. The anisotropic continuum theory of lattice defects. Prog Mater. Sci. 23, 51–262 (1978).
Fan, T. W. et al. Effects of Zn atoms on the basal dislocation in magnesium solution from Peierls-Nabarro model. Mater. Sci. Eng. A. 582, 299–304 (2013).
Smith, A. E. Surface, interface and stacking fault energies of magnesium from first principles calculations. Surf. Sci. 601(24), 5762–5765 (2007).
Wen, L. et al. A systematic investigation of stacking faults in magnesium via first-principles calculation. Eur. Phys. J. B. 72(3), 397–403 (2009).
Wachowicz, E. & Kiejna, A. Bulk and surface properties of hexagonal-close-packed be and mg. J. Phys. : Condens. Matter. 13(48), 10767 (2001).
Leyson, G. P. M., Curtin, W. A., Hector, L. G. Jr & Woodward, C. F. Quantitative prediction of solute strengthening in aluminium alloys. Nat. Mater. 9(9), 750–755 (2010).
Clouet, E., Caillard, D., Chaari, N., Onimus, F. & Rodney, D. Dislocation locking versus easy glide in titanium and zirconium. Nat. Mater. 14(9), 931–936 (2015).
Kwasniak, P. & Clouet, E. Influence of simple metals on the stability of 〈a〉 basal screw dislocations in hexagonal titanium alloys. Acta Mater. 180, 42–50 (2019).
Kwasniak, P. & Garbacz, H. Screw dislocation mediated solution strengthening of substitutional α-Ti alloys - first principles investigation. Acta Mater. 141, 405–418 (2017).
Kresse, G. G. & Furthmüller, J. J. Efficient iterative schemes for Ab initio total-energy calculations using a plane-wave basis set. Phys. Rev. B. 54, 11169 (1996).
Blöchl, P. E. Projector augmented-wave method. Phys. Rev. B. 50 (24), 17953–17979 (1994).
Perdew, J. P. & Wang, Y. Accurate and simple analytic representation of the electron-gas correlation energy. Phys. Rev. B. 45 (23), 13244–13249 (1992).
Perdew, J. P., Burke, K. & Ernzerhof, M. Generalized gradient approximation made simple. Phys. Rev. Lett. 77 (18), 3865–3868 (1996).
Monkhorst, H. J. & Pack, J. D. Special points for Brillouin-Zone integrations. Phys. Rev. B. 13 (12), 5188–5192 (1976).
Vitek, V. Intrinsic stacking faults in body-centred cubic crystals. Philos. Mag. 18 (154), 773–786 (1968).
Han, J., Su, X. M., Jin, Z. H. & Zhu, Y. T. Basal-plane stacking-fault energies of mg: a first-principles study of Li-and Al-alloying effects. Scripta Mater. 64 (8), 693–696 (2011).
Muzyk, M., Pakiela, Z. & Kurzydlowski, K. J. Generalized stacking fault energy in magnesium alloys: density functional theory calculations. Scripta Mater. 66 (5), 219–222 (2012).
Wu, X., Wang, R. & Wang, S. Generalized-stacking-fault energy and surface properties for HCP metals: a first-principles study. Appl. Surf. Sci. 256 (11), 3409–3412 (2010).
Datta, A., Waghmare, U. V. & Ramamurty, U. Structure and stacking faults in layered Mg-Zn-Y alloys: a first-principles study. Acta Mater. 56 (11), 2531–2539 (2008).
Wang, Y., Chen, L. Q., Liu, Z. K. & Mathaudhu, S. First-principles calculations of twin-boundary and stacking-fault energies in magnesium. Scripta Mater. 62 (9), 646–649 (2010).
Uesugi, T., Kohyama, M., Kohzu, M. & Higashi, K. Ab initio study of generalized stacking fault energies in magnesium, ICF10, Honolulu (USA) 2013. (2001).
Chetty, N. & Weinert, M. Stacking faults in magnesium. Phys. Rev. B. 56 (17), 10844–10851 (1997).
Pei, Z. et al. Ab initio and atomistic study of generalized stacking fault energies in mg and Mg–Y alloys. New. J. Phy. 15 (4), 043020 (2013).
Speigth, J. G. (ed) Lange’s Handbook of Chemistry 16th edn (McGraw-Hill Companies, 2004).
Shin, I. & Carter, E. A. Simulations of dislocation mobility in magnesium from first principles. Int. J. Plast. 60, 58–70 (2014).
Sauvage, X., Enikeev, N., Valiev, R., Nasedkina, Y. & Murashkin, M. Atomic-scale analysis of the segregation and precipitation mechanisms in a severely deformed Al–Mg alloy. Acta Mater. 72, 125–136 (2014).
Wang, S. H. et al. Hierarchical nanostructures strengthen Al–Mg–Si alloys processed by deformation and aging. Mater. Sci. Eng. A. 585, 233–242 (2013).
Ozaki, J., Yosida, M. & Horibe, S. The effect of pre-compressive strain on the fatigue life of the AZ31 magnesium alloy. Mater. Sci. Eng. A. 604, 192–195 (2014).
Kim, J. K., Sandlöbes, S. & Raabe, D. On the room temperature deformation mechanisms of a Mg–Y–Zn alloy with long-period-stacking-ordered structures. Acta Mater. 82, 414–423 (2015).
Sandlöbes, S. et al. Ductility improvement of mg alloys by solid solution: ab initio modeling, synthesis and mechanical properties. Acta Mater. 70, 92–104 (2014).
Hickel, T. et al. Impact of nanodiffusion on the stacking fault energy in high-strength steels. Acta Mater. 75, 147–155 (2014).
Sandlöbes, S., Friák, M., Neugebauer, J. & Raabe, D. Basal and non-basal dislocation slip in Mg–Y. Mater. Sci. Eng. A. 576, 61–68 (2013).
Czerwinski, F. & Kasprzak, W. Heat Treatment of Magnesium alloys – current capabilities. Mater. Sci. Forum, 765, 466–470. (2013).
Lumley, R. N., Buha, J., PolmearI, J, Morton, A. J. & Crosky, A. Secondary precipitation in aluminium alloys & its role in modern heat treatment. Mater. Sci. Forum. 519–521, 283–290 (2006).
Zhu, Y. M., Morton, A. J. & Nie, J. F. The 18R and 14H long-period stacking ordered structures in Mg–Y–Zn alloys. Acta Mater. 58, 2936–2947 (2010).
Read, W. T. Jr. Dislocations in Crystals, New York, (1953).
Fan, T., Wei, L., Tang, B., Peng, L. & Ding, W. Effect of temperature-induced solute distribution on stacking fault energy in Mg–X(X = Li, Cu, Zn, Al, Y and Zr) solid solution: a first-principles study. Philos. Mag. 94 (14), 1578–1587 (2014).
Fleischer, R. L. The Strengthening of Metals. In (eds Peckner, D.) 93–140 (Reinhold/Chapman & Hall, 1964).
Yoo, M. H. Slip, twinning, and fracture in hexagonal close-packed metals. Metall. Mater. Trans. A. 12 (3), 409–418 (1981).
Abbasi, A., Dick, A., Hickel, T. & Neugebauer, J. First-principles investigation of the effect of carbon on the stacking fault energy of Fe–C alloys. Acta Mater. 59 (8), 3041–3048 (2011).
Acknowledgements
This work is supported by the National Natural Science Foundation of China (No. 52171115, 52371009, 52101007), the Project Supported by Scientific Research Fund of Hunan Provincial Education Department (HQ21016, 21A0564, HP21047), and the Innovation and entrepreneurship training program for college students (CX2023258).
Author information
Authors and Affiliations
Contributions
Author ContributionsThe following statements should be used “Conceptualization, Yuanzhi Wu and Touwen Fan; Methodology, Zixiong Ruan, Bin Deng and Touwen Fan; Software, Zixiong Ruan, Te Hu and Touwen Fan; Validation, Huan Xiao, Xiongying He, and Yuanzhi Wu; Formal analysis, Touwen Fan; Investigation, Zixiong Ruan and Touwen Fan; Resources, Yuanzhi Wu and Touwen Fan; Data curation, Tao Deng, Bin Deng, and Zixiong Ruan; Writing—original draft preparation, Yuanzhi Wu and Touwen Fan; Writin—review and editing, Touwen Fan; Visualization, Chengru Wang, Ziyang Liu, Fengjiao Niu; Supervision, Touwen Fan; Project administration, Yuanzhi Wu and Touwen Fan; Funding acquisition: Touwen Fan, Yuanzhi Wu, and Huan Xiao. All authors have read and agreed to the published version of the manuscript.”
Corresponding authors
Ethics declarations
Competing interests
The authors declare no competing interests.
Additional information
Publisher’s note
Springer Nature remains neutral with regard to jurisdictional claims in published maps and institutional affiliations.
Rights and permissions
Open Access This article is licensed under a Creative Commons Attribution-NonCommercial-NoDerivatives 4.0 International License, which permits any non-commercial use, sharing, distribution and reproduction in any medium or format, as long as you give appropriate credit to the original author(s) and the source, provide a link to the Creative Commons licence, and indicate if you modified the licensed material. You do not have permission under this licence to share adapted material derived from this article or parts of it. The images or other third party material in this article are included in the article’s Creative Commons licence, unless indicated otherwise in a credit line to the material. If material is not included in the article’s Creative Commons licence and your intended use is not permitted by statutory regulation or exceeds the permitted use, you will need to obtain permission directly from the copyright holder. To view a copy of this licence, visit http://creativecommons.org/licenses/by-nc-nd/4.0/.
About this article
Cite this article
Wu, Y., Deng, B., Ruan, Z. et al. A comprehensive theoretical scheme for understanding the core structure and the mechanical behavior of basal dislocations with solute atmosphere in Mg alloys. Sci Rep 14, 24028 (2024). https://doi.org/10.1038/s41598-024-75299-z
Received:
Accepted:
Published:
Version of record:
DOI: https://doi.org/10.1038/s41598-024-75299-z




















