Fig. 7

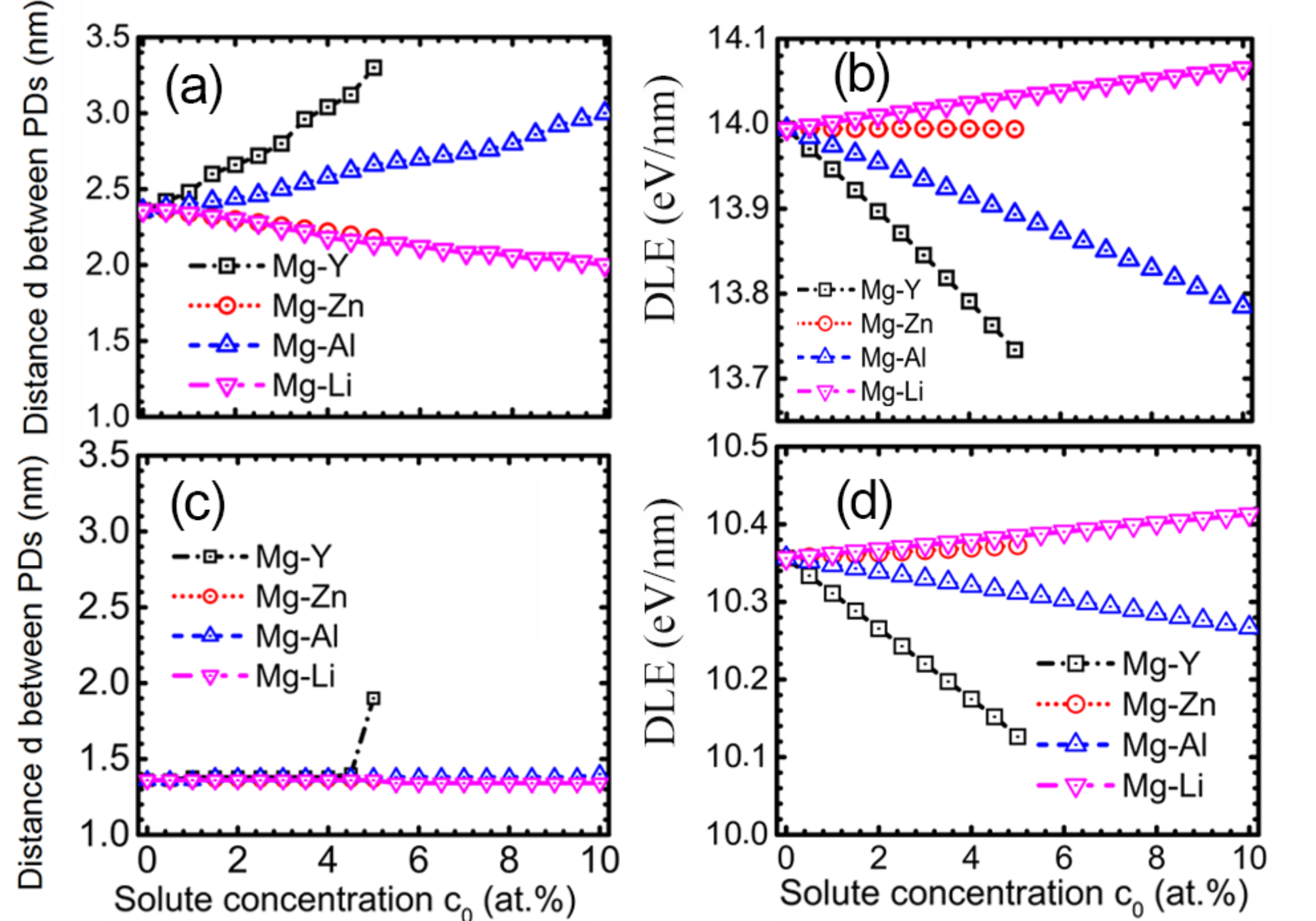
The dissociated distances and dislocation line energies for edge (a, b) and screw (c, d) dislocations as a function of solute concentration under homogeneously distributed solute atoms.

The dissociated distances and dislocation line energies for edge (a, b) and screw (c, d) dislocations as a function of solute concentration under homogeneously distributed solute atoms.