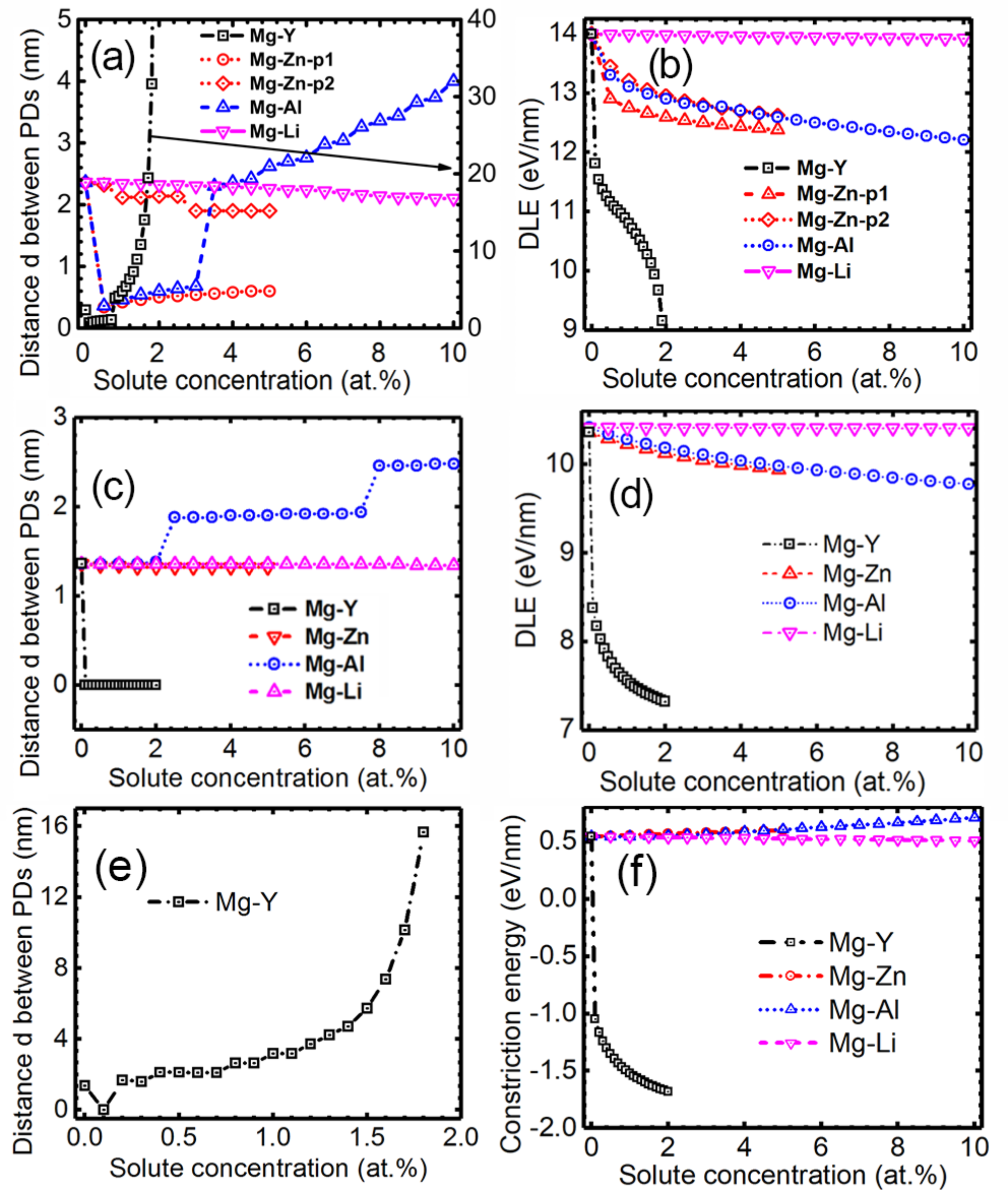
Fig. 9

The dissociated distance and DLEs for edge (a, b) and screw (c, d) BDs as a function of solute concentration at 300 K, respectively. (e) The dissociated width of screw BD without distortion solute–dislocation interaction energy and (f) constriction energy of screw dislocation is also presented.