Abstract
High altitude exposure negatively affects human attentional function. However, no studies have explored the regulation of attentional and physiological functions from a dietary perspective. A total of 116 Han Chinese students from Tibet University who were born and raised in a plain area and had been living in Tibet for > 2 years were recruited. All participants were male migrants. A food frequency questionnaire, complete blood count, and attention network test were performed on the participants. Pearson’s correlation was applied to assess the reliability and validity of the food frequency questionnaire. Principal component analysis was utilized to extract dietary patterns. A linear mixed model was employed to account for individual differences. The results showed that the five main dietary patterns were coarse grain, alcohol, meat, protein, and snacking dietary patterns. Furthermore, individuals who adhered to the coarse grain dietary pattern and had high mean corpuscular hemoglobin showed better attentional performance. Individuals with high alcohol consumption and systemic immune-inflammation index levels exhibited worse attentional performance. These findings imply that high-altitude migrants should include more coarse grains in their daily diet and avoid excessive alcohol consumption to improve attention.
Similar content being viewed by others
Introduction
Many people are currently migrating from plains to high-altitude (HA) areas1. Environmental characteristics of HA, including low atmospheric pressure and hypoxia (reduced oxygen levels), have been reported to negatively affect both the cognitive and physiological attributes of HA migrants2,3,4,5,6,7, Research has shown that a balanced and adequate nutritional intake is essential to the physical and mental health of an individual8,9. However, whether dietary patterns influence physiological and cognitive functions in HA conditions has not been fully understood. Therefore, investigating the relationship between dietary patterns and physiological and cognitive functions in HA migrants is imperative, which may help mitigate HA environment-induced cognitive and physiological function impairment.
HA exposure can induce both physiological and cognitive functions of HA migrants. HA exposure causes complex physiological alterations in multiple systems and organs22,23. Specifically, prolonged exposure to HA conditions is associated with a higher red blood cell (RBC) count and hemoglobin (HGB) levels in migrants, which may lead to increased blood viscosity24,25,26. Furthermore, HA hypoxia can impair the immunological function of residents27. HA exposure produces a maladaptive inflammatory response that can lead to an inflammation-related disease28. Multiple studies have also reported adverse cognitive effects of HA exposure12,13. Attention is a critical cognitive function that ensures effective interaction with the environment by selectively focusing on relevant information while ignoring irrelevant cues14. It has also been shown that HA hypoxia affects the attentional function15.
Dietary intakes are associated with HA exposure-induced physiological and cognitive function changes. Previous studies discovered that foods high in antioxidants, such as fruits and vegetables, can reduce the negative effects of oxidative stress in HA migrants29. Meanwhile, diets rich in diverse nutrients can prevent neuropsychological impairment and improve cognition16,17. Specific dietary nutrient intakes have also been associated with attentional function, and decreased total fat intake positively impacts attention18. Furthermore, macronutrient and micronutrient consumption has been reported to impact attentional function17,19. However, evaluating a single food or nutrient often overlooks its complex interactions with other nutrients and may not reflect an individual’s total dietary intake20,21. Consequently, a comprehensive assessment of an individual’s diet is critical. Incorporating dietary patterns obtained from principal component analysis (PCA) (which reflects individual food preferences) into the evaluation provides more information. It is also critical to include the influence of physiological factors when exploring the relationship between dietary patterns and attentional function in HA immigrants.
Although numerous studies have associated dietary intake with attentional function and physiological health, the relationship between dietary patterns and physiological health and attentional function in HA migrants remains elusive. Given the increasing number of HA migrants, providing appropriate dietary guidance beneficial to their physical and mental health is of great significance. The present study assessed the dietary patterns of HA migrants and explored the relationship between dietary patterns and physiological indicators and attentional function in HA migrants, which may guide appropriate dietary plans for HA migrants.
Results
Descriptive statistics
Descriptive statistics were used to calculate the mean and standard deviation (SD) for demographic variables, physical examination indicators, and attention task performance (Table 1).
Reliability and validity of the food frequency questionnaire
Food frequency questionnaire (FFQ) was employed to collect the dietary intake data. The retest reliability of the FFQ was determined by calculating Pearson’s correlation coefficient. The reliability values ranged from 0.187 to 0.897, with an average of 0.541. The sweets (reliability coefficient; r = 0.897) and dry goods (r = 0.187) categories had the highest and lowest reliability values, respectively. Except for the dry goods and dry beans categories, Pearson’s correlation coefficients before and after measurement were significant across all groups. The Cronbach’s alpha value of the FFQ was 0.619. The results suggest that the FFQ had good reliability and could be used in subsequent studies and analyses within an acceptable range. The reliability results are summarized in Table 2.
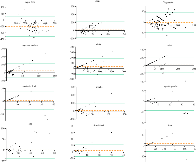
For the validity assessment of the FFQ, post-test FFQ was compared with 24-h dietary recall (24HDR) on three consecutive days (October 21–23, 2021) using Pearson’s correlation coefficient. Some foods that were not consumed by the participants during the 24HDR in three days, such as tsampa, ghee tea, and alcoholic products, were correlated with Pearson’s product correlation, which explains the drawbacks of this method. Pearson’s product correlation ranged from − 0.176 to 0.491 for the remaining foods. The validity results are summarized in Table 3. Bland-Altman plots show valid comparability of dietary intakes estimated from the post-test FFQ and 24HDR. Figure 1 depicts the Bland-Altman plots for the different food groups, revealing the consistency of the two food measures across the 12 food groups, with most values falling within 95% of the Limits of Agreement (LOA).
Bland-Altman plots for the 12 food groups. The average intakes from both the post-test of the food frequency questionnaire and 3-day 24-hour dietary recall are plotted on the X-axis, and the difference is plotted on the Y-axis. The orange line means the mean of difference. Two green lines mean the limits of agreement (LOA), defined as mean difference ± 1.96 × SD. The black points mean dietary intake data of participants.
Gaps between actual dietary intakes and recommended intakes
The Chinese Food Guide Pagoda (2022 version), the national standard for Chinese people, was used to assess specific food intake quantities. A one-sample t-test was used to compare the means of specific food intake values against the reference values. Livestock and poultry meat consumption rates were significantly higher than recommended in the 2022 version of standard recommendations (t = 6.279, p < 0.001). Although the difference was not significant, the intake of staple foods (rice, wheat, cereals, potatoes, tsampa, and porridge) was higher than recommended. The intake values of the remaining specific foods were significantly lower than those in the 2022 version of standard recommendations (p < 0.001). Regarding condiments, salt intake was greater than the maximum value recommended by the 2022 Chinese Food Guide Pagoda (m = 4.316, µ = 3, t = 3.310, p = 0.001), and the difference was statistically significant. Additionally, oil intake was higher than the standard value but the difference was not statistically significant (t = 0.297, p = 0.767) (Table 4).
Dietary patterns of migrants
PCA was performed to estimate the dietary patterns from the FFQ. Five principal components were obtained, which explained 43.3% of the total variance. The absolute value of the factor loadings ≥ 0.50 was mainly considered during the extraction of the principal components, corresponding to the following dietary patterns: coarse grain dietary pattern (potatoes, cereals, dried beans, ghee tea, etc.); alcohol dietary pattern (wine, liquor, and beer); meat dietary pattern (livestock and poultry products and tsampa); protein dietary pattern (milk, eggs, and pickled vegetables); and the snacking dietary pattern (nuts, juices, carbonated beverages, and fruits). The specific dietary patterns are depicted in Fig. 2.
Dietary patterns extracted by principal component analysis.
The relationship between dietary patterns and attention and physiological function
The Attention Network Test (ANT) scores of between-subject differences were statistically significantly different after constructing the null model. The goodness of fit of each model was determined using the Akaike information criterion (AIC), with smaller values indicating better models. The likelihood ratio test showed that the final preserved model differed significantly from the null model. The specific model results are described in Table 5. The orienting effect was used as the dependent variable, and the coarse grain dietary pattern and Mean Corpuscular Hemoglobin Concentration (MCH) were retained as the final independent variables. Higher adherence to the coarse grain dietary pattern and higher MCH levels were associated with a longer orienting effect and more positive attentive performance. The alerting effect was used as the dependent variable, and the alcohol dietary pattern and systemic immune-inflammation index (SII) were retained as the final independent variables. Higher adherence to the alcohol dietary pattern and higher SII levels were associated with a shorter alerting effect and poorer attentive performance.
Discussion
To the best of our knowledge, this is the first study to investigate the dietary patterns of migrants in the Tibetan region and explore the association between dietary patterns and physiological indicators and attentional function in HA migrants. The key findings of our study are summarized as follows: (a) the dietary patterns of HA migrants in the Tibetan region were unbalanced. (b) Five dietary patterns (coarse grain, alcohol, meat, protein, and snacking) were extracted using PCA. (c) Individuals who followed the coarse grain dietary pattern and had high MCH levels performed better in the orienting network’s attentional function. (d) Individuals with high alcohol intake and high SII levels performed worse in the alerting network’s attentional function.
The dietary intake of the migrants was unbalanced compared with the recommended intake values. According to the FFQ data, the amount of staple foods and livestock and poultry meat consumed by the participants was excessively higher than the dietary intake values recommended by the Chinese Food Guide Pagoda (2022 version). Notably, consumption of all other foods was insufficient and significantly below the recommended values. These results are comparable to the previous findings on HA natives11, which concluded that HA natives consumed more meat, soybeans, and nuts and less of all other food products. This consumption pattern may be attributable to the specificities of the Tibetan region, such as a relatively developed livestock industry and higher energy usage due to the HA environmental conditions. The consumption of vegetables and fruits was also insufficient and significantly below the recommended intake levels. According to another dietary intake study conducted between 1982 and 2012 at a national level, the consumption of vegetables and fruits never reached the levels recommended in the Chinese Dietary Guidelines30. Thus, the lower intake of vegetables and fruits among Tibetan migrants could be explained by the long-term habits of the migrants and complex HA environments, which are not only unsuitable for cultivating fruits and vegetables but also limit their transportation31. These conditions may also explain the low intake of aquatic products in HA areas. Dermience et al.10 reported a higher cereal and potato staple food intake among native Tibetans. Another study reported a higher intake of staple foods among Tibetan children as it provided them with adequate energy32. Although both migrants and Tibetan residents maintain a high intake of staple food items, the specific products consumed vary. While most residents prefer barley, migrants mostly prefer wheat and rice.
Based on the survey findings of the current study, dietary patterns were extracted using PCA after comparing the intake volumes of different dietary categories. Traditional nutritional studies are rather limited as they primarily focus on the effects of a single or few nutrients or foods on disease development. Contrary to an average individual’s diet, a population’s nutritional intake involves not only a single food or nutrient but also the interactions and associations between several food products20. Therefore, we employed the PCA approach to extract principal components from the data collected using the FFQs to summarize the main dietary patterns. This statistical method has been widely used in various dietary structure studies33,34. Our analysis yielded five main dietary patterns: coarse grain, alcohol, meat, protein, and snacking dietary patterns. The cumulative variance contribution of these five patterns was 43.4%.
Overall, it was found that both coarse grain and alcohol dietary patterns, combined with specific physiological indicators, impacted attentional function. Specifically, individuals who adhered to the coarse grain dietary pattern and had high MCH levels performed better in the orienting network, which positively affected their attentional function. This finding is consistent with that of a previous study in which individuals with a higher intake of whole-grain foods exhibited better selective attention35. The coarse grain dietary pattern is plant-based; it has been previously confirmed that plant-based dietary patterns are beneficial to the nervous system36,37. Furthermore, a Greek study found that consuming beans, nuts, and seeds was associated with improved cognitive abilities38. Notably, the Mediterranean dietary pattern is characterized by a high intake of plant foods. Adherence to the Mediterranean dietary pattern was associated with improved attentional and cognitive performance39,40. Additionally, some studies found a positive relationship between the physiological indicator MCH and the orienting network. It has also been established that healthy erythrocytes ensure oxygen and nutrient-rich blood are delivered to brain tissue, resulting in good cognitive performance41, which is particularly important for HA migrants. A previous study found that HGB levels were positively correlated with MCH, implying that higher MCH levels are associated with good cognitive performance42, consistent with the findings of the present study. Although our study findings are supported by previous reports, future randomized controlled trials are required to further validate the positive effects of the coarse grain dietary pattern on attentional function.
The current study also discovered that individuals with a high intake of alcoholic beverages and high SII levels performed worse in the alerting network, negatively affecting attentional function. Alcohol is a central nervous system (CNS) depressant that alters the activity of neurons in the CNS, thus affecting the brain areas that govern executive control, working memory, and attention43,44,45. The relationship between alcoholic beverage consumption and alertness or sustained attention is controversial46,47. This controversy is perhaps related to the amount of alcohol consumed and the sensitivity of behavioral measures48. Magrys et al. discovered that sustained attention performance declined after consumption of moderate or high amounts of alcohol49, in line with our results and those of previous studies50. Our data showed that the physiological indicator SII was negatively associated with the alerting network, adversely affecting attentional function. SII is a systemic inflammatory biomarker that comprehensively reflects the systemic immune response and inflammatory status51. Furthermore, higher SII levels are associated with cardiovascular diseases (CVDs)52,53. A previous longitudinal study found that cognitive processes such as attention, working memory, and executive function may be more susceptible to the effects of CVDs54, congruous with the results of the current study. A different study reported that higher SII levels negatively impacted cognitive function51. Given that HA migrants experience a decline in attentional function due to hypoxia-induced inflammatory responses, their alcoholic beverage consumption levels should be minimized. However, due to some study limitations, the relationship between the amount of alcoholic beverage consumption and attentional function was not explored, which warrants further investigation in the future. The intrinsic mechanisms by which alcohol dietary patterns and SII affect attentional function are also worthy of investigation.
This study has several shortcomings. First, causality could not be determined since this is a cross-sectional study, which necessitates stronger evidence. Secondly, the small sample size may have led to underrepresentation, which is reflected in the following aspects: (a) the internationally accepted criteria for classifying altitude categorizes < 1,000 m as a low altitude, 1,500-3,500 m as a high altitude, and 3,500-5,500 m as an ultra-high altitude. The study participants lived in Lhasa at an altitude of 3,680 m, which is an ultra-high altitude. Therefore, the representativeness of the study was insufficient, as other altitudes were excluded. (b) The study participants were university students whose age range was not sufficiently generalized. (c) Regarding sex, only male participants were involved. Although the decision to include only male participants averts excessive sex-based differences in physiological indicators, it lacks generalization. (d) Although no participant reported the use of additional dietary supplements in the 24HDR, the fact that the FFQ did not account for additional supplements may pose a confounding factor. Finally, although the effect of certain between-subjects differences was controlled for, it is difficult to exclude other potential factors, such as sleep.
To improve representativeness, a wider group of participants should be enrolled in future studies, considering ethnicity, sex, age, and altitude differences. Additionally, more in-depth studies should be conducted to determine diet efficacy in terms of nutrient levels to achieve HA acclimatization based on the relationship between nutrients and physiological indicators and cognitive performance. Finally, the role of nutrient supplements cannot be overlooked and future research should explore the effects of nutrition on cognitive function, mood, and physical and mental health interventions for HA residents.
Conclusion
In summary, the dietary patterns of young participants who had migrated to and lived in Tibet for > 2 years were unbalanced. Five dietary patterns (coarse grain, alcohol, meat, protein, and snacking) were extracted using PCA. The coarse grain dietary pattern positively affected attentional function, whereas the alcohol dietary pattern exerted the opposite effect, suggesting that migrants should consume more coarse grains in their daily diet and avoid excessive alcohol intake to improve attentional function.
Methods
Participants
A total of 116 Han Chinese students from Tibet University who were born and raised in a plain area (< 1,500 m) and had been living in Tibet (3,680 m) for > 2 years were recruited from June 1, 2021 to October 3, 2021. The average age of the participants was 20.652 years, with an SD of 0.848 years. The exclusion criteria were as follows: (a) individuals with cardiovascular, cerebrovascular, respiratory, or psychiatric disorders; (b) individuals with tobacco or alcohol addiction; (c) left-handed participants; and (d) individuals who failed to complete the questionnaire or cognitive task. A priori power analysis was performed by G*Power 3.1.9.7 and the sample size for this study was deemed adequate to address the key scientific questions (power = 0.95, effect size = 0.25, α = 0.05). All participants provided written informed consent and were compensated for their time. The study was approved by the Ethics Committee of Tibet University (protocol code: XZTU2021ZRG-06, Lhasa, Tibet, China) and adhered to the Declaration of Helsinki principles.
Study design
A self-adjusted FFQ was employed to collect participants’ dietary intake data. The questionnaire was retested after one month to assess its reliability. A 24HDR was also conducted for three consecutive days to test the validity of the questionnaire. The physical examination indicators were obtained from complete blood count (CBC) analyses. Each participant completed an ANT cognitive task after the physical examination. The pre-test FFQ, venous blood collection, and cognitive test were completed by 95 of the 116 participants. Fifty-nine valid questionnaires were recovered during the retest, and 56 participants underwent 24HDR. Two subjects had missing data; thus, only 93 participants had valid cognitive data. The flowchart of patient selection is presented in Fig. 3.
Flow chart of the study.
Food frequency questionnaire
The applied FFQ was modified and supplemented as previously described55. Tsampa, ghee tea, sweet tea, and change were among the local traditional Tibetan foods considered in the present study. The FFQ comprised 40 items and was employed to examine dietary intake over a year. Participants were asked two questions for each food item to determine the respective intake values: the frequency of eating a specific food and the amount of food consumed each time. The researcher provided consistent explanations if the participants did not understand the questionnaire.
The FFQ was validated using 24HDR. Participants who completed pre- and post-test questionnaires were instructed to conduct 24HDR on three consecutive days: October 21–23, 2021. The 24HDR was an estimated dietary record and contained sections for the time for each meal’s intake, the food and beverage consumed, and the quantity of the food. Participants were asked to provide photos of the food and beverages consumed and the brand of the food and beverages consumed. Finally, the amounts of food intake recorded in the 24HDR were first converted to grams and then to total intake for three days.
Cognitive task
The functioning of the three attention networks (alerting, orienting, and executive control) was assessed using the ANT task. Prolonged exposure to HA conditions has been shown to affect the task56. The ANT task included three cue conditions (no cue, center cue, and spatial cue) and two target conditions (congruent and incongruent). All stimuli were black on a gray background. A cue appeared before the target was presented, and the cues were usually of three types: no cues, central cues, and spatial cues. The arrowheads were pointed in the same or opposite direction during congruent and incongruent trials, respectively. Participants were instructed to respond to the direction of a central arrow, that is, “F” if the central arrow pointed to the left and “J” if the central arrow pointed to the right. Participants were trained before the actual experiment. Since the experiment only explored changes in behavior, two blocks (each containing 108 trials) of the task were kept. Although the task only included halved blocks, its validity was confirmed56,57. ANT scores were defined based on the reaction time (RT) median: Alerting effect = RT no cue – RT center cue; Orienting effect = RT center cue – RT spatial cue; and Executive control effect = RT incongruent – RT congruent. Higher alerting and orienting effects scores indicate more efficient alerting and orienting networks, whereas lower executive control effect scores indicate more efficient executive control networks.
Complete blood Count (CBC)
The 17 CBC indexes were obtained through fasting blood samples and mathematical calculations. Participants were asked to avoid drinking alcohol and eating greasy foods three days before the fasting blood samples were collected. Blood samples were drawn from participants who had fasted for 8 h. The physiological indexes included RBC, HGB, Hematocrit (HCT), Mean Corpuscular Volume (MCV), Mean Corpuscular Hemoglobin (MCH), MCHC, White Blood Cell Count (WBC), Neutrophil Count (NEUT), Neutrophil Ratio (NEUT%), Lymphocyte Count (LYMPH), Lymphocyte Ratio (LYMPH%), and Blood Platelet (PLT). The Mindray SAL-9000 automatic biochemical analyzer (SAL-9000, Mindray) and Mindray BC-5390 automatic blood analyzer (BC-5390, Mindray, Shenzhen, China) were used to analyze the above-listed indexes in a standardized environment at Fokind Medical Care Co., Ltd. (Lhasa, China). The SII was computed using the following formula: SII = PLT × NEUT: LYMPH58,59.
Statistical analyses
All statistical analyses were performed using IBM SPSS 25.0 and R 4.1.2. The reliability and validity of the questionnaire were determined using Pearson’s product-moment correlation. The Bland-Altman approach was utilized to visually compare the consistency of the two dietary tools60,61. The plots included lines for the mean difference and the LOA, defined as the mean difference ± 1.96 × SD. This approach was also employed to assess the validity of the questionnaire. Due to the large number of questionnaire items, the questionnaire was consolidated into 12 food groups to assess the consistency between the two methods. A one-sample t-test was used to compare differences between specific food intake values and recommended intake values. To identify dietary patterns within the study population, PCA was conducted on 12 food groups to extract the main dietary patterns. The variance maximization method was used to rotate the component matrix, and the principal components were named based on the rotation results. The dietary pattern score of each participant was determined. The LLM model was utilized to determine further relationships between dietary patterns and physiological indicators and cognitive performance. The effects of between-subject variations were adjusted using the LMM model, and random intercept models were used in main analyses with between-subject differences as the random intercepts. Both physiological indicators and dietary principal component scores were included as independent variables and significant variables were retained based on statistical tests. The goodness of fit of each model was determined using the AIC. The significance of the LMM model was verified using the likelihood ratio test. Results with α < 0.05 were considered statistically significant.
Data availability
The data during the current study are available from the corresponding author on reasonable request.
References
Stobdan, T. et al. Attributes of Seabuckthorn (Hippophae rhamnoides L.) to Meet Nutritional requirements in high Altitude. Def. Sci. J.60, 226–230 (2010).
Luks, A. M., Swenson, E. R. & Bärtsch, P. Acute high-altitude sickness. Eur. Respir Rev.26https://doi.org/10.1183/16000617.0096-2016 (2017).
Virués-Ortega, J., Buela-Casal, G., Garrido, E. & Alcázar, B. Neuropsychological functioning associated with high-altitude exposure. Neuropsychol. Rev.14, 197–224. https://doi.org/10.1007/s11065-004-8159-4 (2004).
Virués-Ortega, J., Garrido, E., Javierre, C. & Kloezeman, K. C. Human behaviour and development under high-altitude conditions. Dev. Sci.9, 400–410. https://doi.org/10.1111/j.1467-7687.2006.00505.x (2006).
Su, R. et al. The effects of long-term high-altitude exposure on cognition: a meta-analysis. Neurosci. Biobehav. Rev.161https://doi.org/10.1016/j.neubiorev.2024.105682 (2024).
Kolb, J. C., Ainslie, P. N., Ide, K. & Poulin, M. J. Protocol to measure acute cerebrovascular and ventilatory responses to isocapnic hypoxia in humans. Respir Physiol. Neurobiol.141, 191–199. https://doi.org/10.1016/j.resp.2004.04.014 (2004).
Peltonen, J. E. et al. Cerebral and muscle tissue oxygenation in acute hypoxic ventilatory response test. Respir Physiol. Neurobiol.155, 71–81. https://doi.org/10.1016/j.resp.2006.03.008 (2007).
Schwingshackl, L. & Hoffmann, G. Diet quality as assessed by the healthy eating Index, the alternate healthy eating Index, the Dietary approaches to stop hypertension score, and health outcomes: a systematic review and meta-analysis of cohort studies. J. Acad. Nutr. Diet.115, 780–800e785. https://doi.org/10.1016/j.jand.2014.12.009 (2015).
O’Neil, A. et al. Relationship between diet and mental health in children and adolescents: a systematic review. Am. J. Public. Health. 104, e31–42. https://doi.org/10.2105/ajph.2014.302110 (2014).
Michael, D. et al. Minerals and Trace Elements intakes and Food Consumption Patterns of Young Children Living in Rural Areas of Tibet Autonomous Region, P.R. China: a cross-sectional survey. Healthcare. 5, 12. https://doi.org/10.3390/healthcare5010012 (2017).
Zhou, C. et al. Food consumption and dietary patterns of local adults living on the Tibetan Plateau: results from 14 countries along the Yarlung Tsangpo River. Nutrients. 13https://doi.org/10.3390/nu13072444 (2021).
Pun, M. et al. Effects on cognitive functioning of Acute, Subacute and repeated exposures to high Altitude. Front. Physiol.9, 1131. https://doi.org/10.3389/fphys.2018.01131 (2018).
Dykiert, D. et al. The effects of high altitude on choice reaction time mean and intra-individual variability: results of the Edinburgh Altitude Research Expedition of 2008. Neuropsychology. 24, 391–401. https://doi.org/10.1037/a0018502 (2010).
Posner, M. I. & Petersen, S. E. The attention system of the human brain. Annu. Rev. Neurosci.13, 25–42. https://doi.org/10.1146/annurev.ne.13.030190.000325 (1990).
Singh, S. B. et al. Effect of chronic hypobaric hypoxia on components of the human event related potential. Indian J. Med. Res.120, 94–99 (2004).
Miranda, A. R., Cortez, M. V., Scotta, A. V. & Soria, E. A. Dietary Intake of Polyphenols Enhances Executive/Attentional Functioning and memory with an improvement of the milk lipid Profile of Postpartum women from Argentina. J. Intell.10https://doi.org/10.3390/jintelligence10020033 (2022).
Bourre, J. M. Effects of nutrients (in food) on the structure and function of the nervous system: update on dietary requirements for brain. Part 1: micronutrients. J. Nutr. Health Aging. 10, 377–385 (2006).
Holloway, C. J. et al. A high-fat diet impairs cardiac high-energy phosphate metabolism and cognitive function in healthy human subjects. Am. J. Clin. Nutr.93, 748–755. https://doi.org/10.3945/ajcn.110.002758 (2011).
Bourre, J. M. Effects of nutrients (in food) on the structure and function of the nervous system: update on dietary requirements for brain. Part 2: macronutrients. J. Nutr. Health Aging. 10, 386–399 (2006).
Hu, F. B. Dietary pattern analysis: a new direction in nutritional epidemiology. Curr. Opin. Lipidol.13, 3–9. https://doi.org/10.1097/00041433-200202000-00002 (2002).
Jacques, P. F. & Tucker, K. L. Are dietary patterns useful for understanding the role of diet in chronic disease? Am. J. Clin. Nutr.73, 1–2. https://doi.org/10.1093/ajcn/73.1.1 (2001).
Qian, G. et al. Systemic lupus erythematosus patients in the low-latitude plateau of China: altitudinal influences. Lupus. 23, 1537–1545. https://doi.org/10.1177/0961203314544186 (2014).
Rimoldi, S. F. et al. Systemic vascular dysfunction in patients with chronic mountain sickness. Chest. 141, 139–146. https://doi.org/10.1378/chest.11-0342 (2012).
Zhang, R. et al. Correlation between RBC changes and coagulation parameters in high altitude population. Hematology. 24, 325–330. https://doi.org/10.1080/16078454.2019.1568658 (2019).
Zhong, R. et al. Adaption to high altitude: an evaluation of the storage quality of suspended red blood cells prepared from the whole blood of tibetan plateau migrants. PLoS One. 10, e0144201. https://doi.org/10.1371/journal.pone.0144201 (2015).
Wu, T. et al. Hemoglobin levels in Qinghai-Tibet: different effects of gender for tibetans vs. Han. J. Appl. Physiol. (1985). https://doi.org/10.1152/japplphysiol.01034.2002 (2005).
Caris, A. & Santos, R. Performance and altitude: is there anything that nutrition can do for it. Nutrition. 60, 35–40. https://doi.org/10.1016/j.nut.2018.09.030 (2019).
Pham, K., Parikh, K. & Heinrich, E. C. Hypoxia and inflammation: insights from high-Altitude Physiology. Front. Physiol.12, 676782. https://doi.org/10.3389/fphys.2021.676782 (2021).
Wang, S., Melnyk, J. P., Tsao, R. & Marcone, M. How natural dietary antioxidants in fruits, vegetables and legumes promote vascular health. Food Res. Int.44, 14–22 (2011).
Zhang, N., Du, S. & Ma, G. Current lifestyle factors that increase risk of T2DM in China. Eur. J. Clin. Nutr.71, 832–838. https://doi.org/10.1038/ejcn.2017.41 (2017).
Rooze, S. et al. Growth, nutritional status, and signs of rickets in 0–5-year-old children in a Kashin–Beck disease endemic area of Central Tibet. Eur. J. Pediatr.171, 1185–1191. https://doi.org/10.1007/s00431-012-1699-3 (2012).
Wang, Z., Dang, S. & Yan, H. Nutrient intakes of rural tibetan mothers: a cross-sectional survey. BMC Public. Health. 10, 1–8. https://doi.org/10.1186/1471-2458-10-801 (2010).
Hu, F. B. et al. Reproducibility and validity of dietary patterns assessed with a food-frequency questionnaire. Am. J. Clin. Nutr.69, 243–249. https://doi.org/10.1093/ajcn/69.2.243 (1999).
Randall, E., Marshall, J., Graham, S. & Brasure, J. Patterns in food use and their associations with nutrient intakes. Am. J. Clin. Nutr.52, 739–745. https://doi.org/10.1093/ajcn/52.4.739 (1990).
Evensen, J., Edwards, C. G., Thompson, S. V. & Holscher, H. D. & Khan, N. A. relationship between whole grain consumption and selective attention. FASEB J.31, 636.28-636.28 (2017).
Zhu, A., Yuan, C., Pretty, J. & Ji, J. S. Plant-based dietary patterns and cognitive function: a prospective cohort analysis of elderly individuals in China (2008–2018). Brain Behav.12, e2670. https://doi.org/10.1002/brb3.2670 (2022).
Rajaram, S., Jones, J. & Lee, G. J. Plant-based dietary patterns, Plant Foods, and Age-Related Cognitive decline. Adv. Nutr.10, S422–s436. https://doi.org/10.1093/advances/nmz081 (2019).
Katsiardanis, K. et al. Cognitive impairment and dietary habits among elders: the Velestino Study. J. Med. Food. 16, 343–350. https://doi.org/10.1089/jmf.2012.0225 (2013).
Tangney, C. C. et al. Adherence to a Mediterranean-type dietary pattern and cognitive decline in a community population. Am. J. Clin. Nutr.93, 601–607. https://doi.org/10.3945/ajcn.110.007369 (2011).
Paknahad, Z., Sheklabadi, E., Derakhshan, Y., Bagherniya, M. & Chitsaz, A. The effect of the Mediterranean diet on cognitive function in patients with Parkinson’s disease: a randomized clinical controlled trial. Complement. Ther. Med.50, 102366. https://doi.org/10.1016/j.ctim.2020.102366 (2020).
Chen, Y. et al. The cross-sectional association between mean corpuscular volume level and cognitive function in Chinese over 45 years old: evidence from the China Health and Retirement Longitudinal Study. PLoS One. 15, e0243227. https://doi.org/10.1371/journal.pone.0243227 (2020).
Jonassaint, C. R. et al. Lower hemoglobin is associated with poorer cognitive performance and smaller brain volume in older adults. J. Am. Geriatr. Soc.62, 972–973. https://doi.org/10.1111/jgs.12810 (2014).
Dry, M. J., Burns, N. R., Nettelbeck, T., Farquharson, A. L. & White, J. M. Dose-related effects of alcohol on cognitive functioning. PLoS One. 7, e50977. https://doi.org/10.1371/journal.pone.0050977 (2012).
Abrahao, K. P., Salinas, A. G. & Lovinger, D. M. Alcohol and the brain: neuronal molecular targets, synapses, and circuits. Neuron. 96, 1223–1238. https://doi.org/10.1016/j.neuron.2017.10.032 (2017).
Bjork, J. M. & Gilman, J. M. The effects of acute alcohol administration on the human brain: insights from neuroimaging. Neuropharmacology. 84, 101–110. https://doi.org/10.1016/j.neuropharm.2013.07.039 (2014).
Oken, B. S., Salinsky, M. C. & Elsas, S. M. Vigilance, alertness, or sustained attention: physiological basis and measurement. Clin. Neurophysiol.117, 1885–1901. https://doi.org/10.1016/j.clinph.2006.01.017 (2006).
Koelega, H. S. Alcohol and vigilance performance: a review. Psychopharmacol. (Berl). 118, 233–249. https://doi.org/10.1007/bf02245951 (1995).
Davidson, D., Camara, P. & Swift, R. Behavioral effects and pharmacokinetics of low-dose intravenous alcohol in humans. Alcohol Clin. Exp. Res.21, 1294–1299 (1997).
Magrys, S. A. & Olmstead, M. C. Alcohol intoxication alters cognitive skills mediated by frontal and temporal brain regions. Brain Cogn.85, 271–276. https://doi.org/10.1016/j.bandc.2013.12.010 (2014).
Dougherty, D. M., Marsh, D. M., Moeller, F. G., Chokshi, R. V. & Rosen, V. C. Effects of moderate and high doses of alcohol on attention, impulsivity, discriminability, and response bias in immediate and delayed memory task performance. Alcohol Clin. Exp. Res.24, 1702–1711 (2000).
Xiao, Y. et al. Systemic Immune-inflammation index is Associated with Cerebral Small Vessel Disease Burden and Cognitive Impairment. Neuropsychiatr Dis. Treat.19, 403–413. https://doi.org/10.2147/ndt.S401098 (2023).
Jin, Z. et al. The associations of two novel inflammation indexes, SII and SIRI with the risks for Cardiovascular diseases and all-cause mortality: a ten-year Follow-Up study in 85,154 individuals. J. Inflamm. Res.14, 131–140. https://doi.org/10.2147/jir.S283835 (2021).
Xia, Y. et al. Systemic Immune inflammation index (SII), system inflammation response index (SIRI) and risk of all-cause Mortality and Cardiovascular Mortality: a 20-Year Follow-Up Cohort Study of 42,875 US adults. J. Clin. Med.12https://doi.org/10.3390/jcm12031128 (2023).
Wei, M. Y., Levine, D. A., Zahodne, L. B., Kabeto, M. U. & Langa, K. M. Multimorbidity and Cognitive decline over 14 years in older americans. J. Gerontol. Biol. Sci. Med. Sci.75, 1206–1213. https://doi.org/10.1093/gerona/glz147 (2020).
Hong, X. et al. Reproducibility and validity of dietary patterns identified using factor analysis among Chinese populations. Br. J. Nutr.116, 842–852. https://doi.org/10.1017/s000711451600249x (2016).
Su, R. et al. Intensity-dependent acute aerobic exercise: Effect on reactive control of attentional functions in acclimatized lowlanders at high altitude. Physiol. Behav.250, 113785. https://doi.org/10.1016/j.physbeh.2022.113785 (2022).
Zhang, D. et al. Competition among the attentional networks due to resource reduction in tibetan indigenous residents: evidence from event-related potentials. Sci. Rep.8, 610. https://doi.org/10.1038/s41598-017-18886-7 (2018).
Candemir, M., Kiziltunç, E., Nurkoç, S. & Şahinarslan, A. Relationship between systemic Immune-inflammation index (SII) and the severity of stable coronary artery disease. Angiology. 72, 575–581. https://doi.org/10.1177/0003319720987743 (2021).
Wang, X. et al. Association of Dietary Inflammatory Potential with Blood Inflammation: The Prospective Markers on Mild Cognitive Impairment. Nutrients14, doi: (2022). https://doi.org/10.3390/nu14122417
Bland, J. M. & Altman, D. Statistical methods for assessing agreement between two methods of clinical measurement. Lancet. 327, 307–310. https://doi.org/10.1016/S0140-6736(86)90837-8 (1986).
Ding, Y. et al. Reproducibility and relative validity of a semi-quantitative food frequency questionnaire for the Chinese lactating mothers. Nutr. J.20, 1–12. https://doi.org/10.1186/s12937-021-00678-5 (2021).
Acknowledgements
We are grateful to all the participants who agreed to participate in this study and the staff who helped make this study proceed successfully.
Author information
Authors and Affiliations
Contributions
H.M., D.Z., R.S., H.L. and Y.L.: Conceptualization, J.H., J.F. P.P. and W.Z.: Investigation and data analysis, R.S. and W.Z.: Writing – original draft preparation, Z.L., L.N. and H.M: Writing – review and editing. All authors have read and agreed to the published version of the manuscript.
Corresponding authors
Ethics declarations
Competing interests
The authors declare no competing interests.
Additional information
Publisher’s note
Springer Nature remains neutral with regard to jurisdictional claims in published maps and institutional affiliations.
Rights and permissions
Open Access This article is licensed under a Creative Commons Attribution-NonCommercial-NoDerivatives 4.0 International License, which permits any non-commercial use, sharing, distribution and reproduction in any medium or format, as long as you give appropriate credit to the original author(s) and the source, provide a link to the Creative Commons licence, and indicate if you modified the licensed material. You do not have permission under this licence to share adapted material derived from this article or parts of it. The images or other third party material in this article are included in the article’s Creative Commons licence, unless indicated otherwise in a credit line to the material. If material is not included in the article’s Creative Commons licence and your intended use is not permitted by statutory regulation or exceeds the permitted use, you will need to obtain permission directly from the copyright holder. To view a copy of this licence, visit http://creativecommons.org/licenses/by-nc-nd/4.0/.
About this article
Cite this article
Su, R., Zhang, W., Huang, J. et al. Dietary patterns related to attention and physiological function in high-altitude migrants. Sci Rep 14, 23319 (2024). https://doi.org/10.1038/s41598-024-75313-4
Received:
Accepted:
Published:
Version of record:
DOI: https://doi.org/10.1038/s41598-024-75313-4





