Abstract
Mobile technology has significantly accelerated the rapid development of healthcare services. Despite the convenience brought by the proliferation of mobile health (mHealth) apps, the challenge of promoting their continued use among patients has garnered attention from many scholars and administrators. Based on the Expectation Confirmation Model (ECM), this study explores the impact of quality elements on the continuance intention of mHealth apps in Southwest China’s ethnic minority regions. Researchers conducted a structured questionnaire survey on 337 users of mHealth apps in these regions to measure their self-reported responses to seven constructs: information quality, system quality, service quality, perceived usefulness, confirmation, satisfaction, and continuance intention. The study uses the structural equation model-artificial neural network (SEM-ANN) approach to interpret the compensatory and non-linear relationships between predictors and continuance intention. The findings reveal that user satisfaction and perceived usefulness significantly predict the continuance intention to use mHealth apps. All other relationships were confirmed except for the non-significant relationships between service quality and confirmation, service quality and perceived usefulness, and system quality and perceived usefulness. Furthermore, based on the normalized importance obtained from the multilayer perceptron, the most critical predictors identified were satisfaction (100%), followed by information quality (70.2%), perceived usefulness (43.2%), system quality (25.1%), and confirmation (17.6%). Finally, this study presents theoretical and practical implications for the continuance intention towards mHealth apps in Southwest China’s ethnic minority regions.
Similar content being viewed by others
Introduction
Mobile technology enables users to perform communication-related tasks with mobile devices, effectively breaking down geographical barriers and enhancing the efficiency of real-time communication1. Its emergence has significantly accelerated the rapid development of the healthcare sector, especially in the area of mobile health applications (m-health Apps)2. Compared to traditional healthcare methods, m-health Apps have provided unprecedented convenience to the medical industry. Particularly after the COVID-19 outbreak, the use of m-health apps in China witnessed substantial expansion, with successful examples such as the “Health Code” and “Cloud Hospital,” which greatly facilitate public medical needs and epidemic control2. However, despite the convenience brought by the widespread use of m-health Apps, encouraging patients’ continued use of these applications has become a focal point of interest for many scholars and administrators. Quality factors play a decisive role in shaping individuals’ satisfaction (SAT) with and continuance intention (CI) to use m-health Apps3. Studies show that quality elements like the usefulness of mobile health apps, the accuracy of information, the timeliness of services, and the security of user privacy directly impact users’ CI to use these apps4,5,6. Therefore, in-depth research on these quality factors when using m-health apps is crucial for enhancing user experience and promoting the sustainable development of health information technology.
In the ethnic minority regions of Southwest China, due to the remoteness and underdevelopment of these areas, access to medical resources is often very limited7. In these regions, traditional medical services struggle to meet the basic health needs of residents, which provides a significant opportunity for the widespread adoption of mHealth applications8. mHealth applications, through functions such as telemedicine, health monitoring, and online consultations, can effectively bridge the gap in medical resources and improve access to healthcare services in ethnic minority areas9. Therefore, studying the CI of residents in these regions to use mHealth applications is crucial for enhancing the fairness and quality of healthcare services. This study focuses on exploring the key factors influencing the CI to use mHealth applications in these areas, particularly the impact of information quality, system quality, and service quality on user satisfaction and CI10. By analyzing these factors, this study aims to provide theoretical support and practical guidance for the promotion and optimization of mHealth applications in ethnic minority regions11.
A review of the existing literature indicates that the CI to use m-health Apps is influenced by a multitude of factors12,13,14,15,16,17,18, such as behavior change techniques, performance expectancy, price value, compatibility, perceived technology security, SAT, investment size, confirmation (CON), commitment, perceived disease threat, coping appraisal, social interactivity, informativeness gratification, function gratification, health empowerment, privacy risk, health technology self-efficacy, and self-regulatory behavior. For example, based on the Expectation Confirmation Model (ECM) and the Investment Model, Chiu et al.14examined users’ CI to use fitness and health apps, finding that SAT, investment size, commitment, and CON of expectation are significant predictors of CI. Furthermore, research methodologies related to mHealth APPs predominantly focus on structural equation modeling (SEM) and meta-analysis19,20,21,22,23,24. Wang et al.20 used meta-analysis to explore the factors influencing the CI to use mHealth apps. The results showed that attitude, SAT, health empowerment, perceived usefulness (PU), and perceived health-related quality of life have the largest aggregate effect coefficients on CI. Additionally, multi-group analysis indicated that geographical region, user type, m-Health Apps type, user age, and publication year significantly moderate the relationships between trust and CI, among other factors.
Despite the increasing volume of research related to m-health Apps, some gaps remain evident in the literature. Firstly, from a theoretical perspective, although existing literature emphasizes the importance of various factors in the CI to use m-Health Apps, there is less focus on how nuanced quality elements (such as system quality (SYQ), information quality (INQ), and service quality (SEQ)) affect users’ CI to use these apps25. The comprehensive impact of these quality elements on users’ CI when using m-Health Apps remains unclear. Different key elements may manifest differently in various contexts26. Secondly, from a methodological standpoint, while Partial Least Squares-Structural Equation Modeling (PLS-SEM) is notably effective in handling complex causal models in theory-based research and small sample data analysis, it is still limited by linear assumptions7. In contrast, the Artificial Neural Network (ANN) algorithm, with its outstanding adaptability to data, capability to handle complex non-linear relationships, and high accuracy and robustness in multivariate environments, presents an ideal tool for analyzing and predicting the factors influencing users’ CI to use m-Health Apps11.
In summary, the purpose of this study is twofold: (1) In the first phase, to explore the factors influencing users’ CI to use m-health Apps through SEM and to unveil how quality elements impact this CI; (2) In the second phase, to construct a high-performance predictive model for users’ CI to use m-Health Apps, based on ANN. These findings will provide theoretical and methodological support for understanding the CI of users who use m-Health Apps. Consequently, the research questions of this study are as follows:
-
(1)
What factors influence users’ CI when using m-health apps?
-
(2)
To what extent do these factors explain the variance in users’ CI when using m-health Apps?
-
(3)
What is the normalized importance of the factors influencing users’ CI to use m-health Apps?
Compared to existing research, this study makes two contributions: Firstly, it investigates the impact of nuanced quality elements (SYQ, INQ, and SEQ) on users’ CI when using m-health Apps. This enriches the existing literature on the CI to use m-Health Apps and deepens the understanding of how quality factors influence this CI. Secondly, this study employs the SEM-ANN method to capture the linear-nonlinear and non-compensatory relationships between exogenous and endogenous variables. This approach better explains the complexity of users’ CI when using m-Health Apps.
The remainder of this paper is organized as follows. The second and third sections, respectively, introduce this study’s literature review and research hypotheses. The fourth section presents the measurement methods, scales, and data analysis. The fifth section displays the study results, followed by a discussion in the sixth section on research findings, theoretical implications, practical implications, limitations, and future work. Finally, the seventh section presents the conclusions.
Literature review
ECM
Based on the Expectation Confirmation Theory and the Technology Acceptance Model (TAM), Bhattacherjee27 proposed the ECM (Fig. 1) in 2001. ECM is primarily used to study CI within the information systems framework and is currently widely employed to assess user SAT and post-purchase behavior14,28,29. The model comprises four constructs: PU, CON, SAT, and CI. According to Bhattacherjee30, PU is the extent to which a user evaluates the usability of the system, and it’s a primary reason people adopt certain technologies at a given time; CON is the user’s perception of the consistency between their expectations of the information system and its actual performance; SAT is the user’s subjective evaluation and feelings about their overall experience and performance of a product or service after use; CI is the tendency to continue using the system.
According to Table 1, ECM has been widely applied to investigate users’ CI, such as in mobile health programs31, fitness and health apps14, and mobile health technology32. From the perspective of the ECM model, a user’s initial registration for m-health Apps is just the first step; the key is to maintain their CI to use it. In the ECM model, CON, PU, and SAT are critical factors influencing users’ CI22.
Literature indicates that in CI of m-health Apps, in addition to PU, CON, and SAT from ECM, other constructs like habit31, commitment14, trust33, flow experience34, technology readiness35, intrinsic motivation36, perceived privacy risk37, and subjective norm38 can also be incorporated into the ECM model to further enhance its predictive capacity. Moreover, ECM can be combined with other theoretical models to explain the CI to use m-health Apps, such as integrating ECM with consumer value theory31, the investment model14, TAM33, flow theory34, the human–organization–technology fit framework34, and self-determination theory36, thereby generating a comprehensive theoretical model framework for explaining CI. Based on these studies, this research posits that ECM can be used to predict the CI of users in Southwest China’s ethnic minority regions to use m-Health Apps.
Quality elements
Quality elements originate from The Updated D&M information system success model (ISSM), proposed by Delone and McLean39, which includes three dimensions: SYQ, INQ, and SEQ. These dimensions are primarily used to examine their impact on usage and SAT. Since then, quality elements have been applied by researchers in various contexts to test the use of electronic systems, such as in primary care applications40, mobile apps41, mobile commerce42, mobile learning43, and telehealth services44, among others. For example, Rana, Tandon44 collected data from 326 healthcare practitioners to examine the impact of quality elements on telehealth services in rural areas of India. The results showed that the quality of medical services, INQ, and SYQ influence the behavioral intention to use telehealth, which affects its actual usage. Additionally, quality elements are often integrated with other models to enhance the predictive capacity, such as the TAM45,46, flow theory47,48, and task-technology fit theory49,50, among others. For instance, based on flow theory, Qin, Omar48 explored the predictive factors of addiction behavior among teenagers using the short video app TikTok, finding that SYQ had a greater impact on adolescent TikTok addiction behavior than INQ, and that flow theory had a significant direct and indirect impact on TikTok addiction behavior.
This study incorporates the SYQ, INQ, and SEQ constructs from the IS-Success model into the analysis of the CI to use mHealth applications in the ethnic minority regions of Southwest China. While these quality factors have been mentioned in existing literature, they have not been thoroughly explored within specific cultural contexts. In particular, the ethnic minority regions of Southwest China, where medical resources are relatively scarce and traditional medical services fail to meet the health needs of residents, present significant potential for mHealth applications. Applying the IS-Success model constructs in this study provides a new perspective for understanding the continuance intention to use mHealth applications among residents in these regions. Unlike traditional quality factors, the comprehensive framework of the IS-Success model allows for a more holistic evaluation of user satisfaction and continuance intention, especially in under-served and resource-limited environments. By analyzing how these quality factors influence users’ continuance intention, this study fills a gap in the existing literature and provides important theoretical support for future research.
Research hypotheses
Recent studies have demonstrated that quality elements (INQ, SEQ, and SYQ) are significant predictors of the PU of a system/app41,51,52,53,54,55. For instance, based on the ISSM and TAM, Trang and Tuan53 examined the factors influencing user SAT with the hospital information system in Ho Chi Minh City, Vietnam. The study affirmed the direct impact of INQ, SEQ, and SYQ on PU, significantly affecting user SAT. Employing the ECM, Task-Technology Fit Model, and the updated Delone and McLean ISSM, Cheng54 investigated the influence of quality factors and TTF on physicians’ CI to use cloud computing intention information systems. This research verified that the INQ, SEQ, and SYQ within the cloud computing intention information system significantly positively impact PU. Based on these findings, this study hypothesizes that the higher the quality of m-health apps, the greater the PU of users in the ethnic minority regions of Southwest China. Therefore, the following hypothesis is proposed:
H1
INQ of m-health Apps significantly and positively influences the PU among users in the ethnic minority regions of Southwest China.
H2
SEQ of m-health Apps significantly and positively influences the PU among users in the ethnic minority regions of Southwest China.
H3
SYQ of m-health Apps significantly and positively influences the PU among users in the ethnic minority regions of Southwest China.
Numerous studies have proposed a significant positive relationship between quality factors and the CON of systems/apps54,56,57,58,59. For example, Cheng54 tested the impact of quality factors on Taiwanese physicians’ CI by using cloud computing intention information systems based on an integrated model. The study results indicated that INQ, SEQ, and SYQ in the cloud computing intention information system are significant predictors of CON. Based on the ECM, Cheng56 examined the relationship between perceived quality and CI in a cloud e-learning system among 600 medical professionals in Taiwan. The study demonstrated that INQ, SEQ, and SYQ significantly influence the CON among medical professionals. Based on these results, this study hypothesizes that the higher the quality of m-health Apps, the higher the CON among users in the ethnic minority regions of Southwest China. Therefore, the following hypothesis is proposed:
H4
INQ of m-health Apps significantly and positively influences CON among users in the ethnic minority regions of Southwest China.
H5
SEQ of m-health Apps significantly and positively influences CON among users in the ethnic minority regions of Southwest China.
H6
SYQ of m-health Apps significantly and positively influences CON among users in the ethnic minority regions of Southwest China.
Recent evidence suggests that the higher the user CON with a system/app, the greater the PU14,32,33,34,57,60. For example, based on the ECM, Flow Theory, and the Human-Organization-Technology Fit Framework, Cheng34 examined the impact of Taiwanese medical professionals’ beliefs on the CI to use cloud e-learning systems. The results showed that CON in the cloud e-learning system for medical professionals is an important predictive variable for PU. Anil Kumar and Natarajan33 integrated the ECM and TAM to test the CI of 453 outpatient patients and nursing staff in electronic medical service systems. The study confirmed a significant positive correlation between the users’ CON with the electronic medical service system and PU. Based on these results, this study hypothesizes that the higher of user CON with a m-health Apps, the greater the PU. Therefore, the following hypothesis is proposed:
H7
CON of m-health Apps by users in the ethnic minority regions of Southwest China significantly and positively influences PU.
Existing research has demonstrated a significant positive correlation between users’ PU and CON of a system/app and their SAT33,34,35,36,55. For example, based on the ECM, Leung and Chen35 investigated the technology readiness of users in Hong Kong, the ECM, and the role of e-health/m-health in predicting lifestyle improvement. The results showed that users’ PU and CON of e-health/m-health could significantly predict SAT. Anil Kumar and Natarajan33 examined the CI of users for an electronic medical service system, finding that users’ PU and CON of the electronic medical service system significantly influenced SAT. Based on these results, this study hypothesizes that the higher the users’ PU and CON of m-health Apps, the greater their SAT. Therefore, the following hypothesis is proposed:
H8
PU of m-health Apps significantly and positively influences SAT among users in the ethnic minority regions of Southwest China.
H9
CON of m-health Apps significantly and positively influences SAT among users in the ethnic minority regions of Southwest China.
Studies indicate that the two most important predictors of users’ CI for a system/app are PU and SAT14,32,33,36,61. For example, Chiu, Cho14, based on the ECM and Investment Model, explored the factors influencing consumers’ CI towards fitness and health apps. The study showed that consumers’ PU and SAT with fitness and health apps significantly affect their CI. Wang, Fan36 examined the impact of gamification-induced user experiences on the CI to use m-health Apps. The results indicated that users’ PU and SAT with m-health Apps are important antecedents of CI. Based on these results, this study hypothesizes that the higher the PU and SAT of users with m-health Apps, the stronger their CI. Therefore, the following hypothesis is proposed:
H10
PU of m-health Apps significantly and positively influences the CI among users in the ethnic minority regions of Southwest China.
H11
SAT with m-health Apps significantly and positively influences the CI among users in the ethnic minority regions of Southwest China.
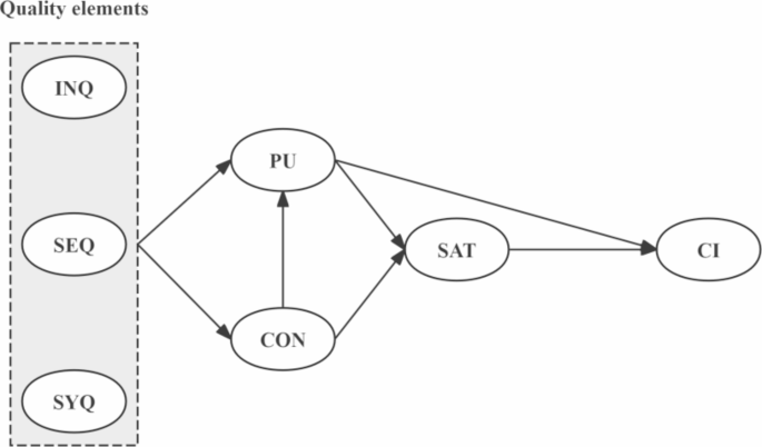
Based on the above hypotheses, the research model is illustrated as follows (Fig. 2):
Method
Sample and data collection
This study collected data through the online survey platform Questionnaire Star (www.Sojump.com) and tested the proposed hypothesis model. The data collection period spanned from January to March 2024. Before conducting the survey, we ensured each participant knew the study’s objectives. Additionally, participation in this study was voluntary, with a clear commitment to protecting personal information. To ensure the sample’s representativeness, we randomly selected users of m-health Apps from the ethnic minority regions of Southwest China. All participants had been using m-health Apps for over six months. In this study, a total of 337 valid questionnaires were collected. Specific demographic characteristics are presented in Table 2. Among the participants, 176 were male (52.2%), and 161 were female (47.8%); the majority age group was 21–30 years, comprising 186 individuals (55.2%); users from rural areas accounted for 160 (47.5%), those from county towns for 48 (14.2%), and city areas for 129 (38.3%).
Pre-test
Before the formal data collection, we conducted a pre-test of the questionnaire to ensure its validity and reliability. The pre-test involved 30 users of mobile health applications from the ethnic minority regions of Southwest China, who were representative of the study’s target population. The purpose of the pre-test was to assess the clarity, comprehensibility, and relevance of the questionnaire items, as well as to identify any potential issues with the structure and length of the questionnaire.
During the pre-test, participants were asked to complete the questionnaire and provide feedback on any items they found confusing or difficult to understand. Based on their feedback, we made minor adjustments to the wording of certain items to improve clarity. Additionally, we reviewed the overall structure of the questionnaire to ensure logical flow and minimize respondent fatigue.
The results of the pre-test indicated that the questionnaire was generally well understood by the participants, with only a few minor adjustments needed. The revised questionnaire was then finalized and used for large-scale data collection.
Measurement instruments
The survey questionnaire was divided into two main sections: firstly, it collected demographic information of the participants, followed by an in-depth exploration of the various constructs related to this study. Validated scales were used to assess these constructs, and necessary adjustments were made according to the research background and objectives. In addition to basic demographic information, the questionnaire also comprehensively covered key constructs such as INQ, SEQ, SYQ, PU, CON, SAT, and CI. The process of questionnaire construction and its reliability and validity analyses are described as follows.
-
(1)
Quality elements scale
The Quality Elements Scale was adapted from the study by Lee et al.62 and comprises 12 items. This scale includes sub-scales for INQ, SEQ, and SYQ. Each item is rated using a 5-point Likert scale, ranging from 1 for “strongly disagree” to 5 for “strongly agree.” For instance, “Service personnel provide related services of the m-health Apps at the agreed time,” or “The information provided by the m-health Apps is up-to-date.” The Cronbach’s alpha values for each sub-scale are 0.936, 0.943, and 0.936, respectively, demonstrating good internal consistency.
-
(2)
PU scale
The PU Scale was adapted from Mohammadi’s study and includes four items. To ensure precise assessment, each item uses a 5-point Likert scale, with ratings ranging from 1 for “strongly disagree” to 5 for “strongly agree.” A higher overall score indicates a stronger PU. The Cronbach’s alpha value for this scale is 0.93, indicating a high level of reliability.
-
(3)
SAT scale
The SAT Scale, inspired by the study of Almaiah and Alismaiel63, consists of 3 items. Each item is rated on a 5-point Likert scale, with scores ranging from 1 for “strongly disagree” to 5 for “strongly agree.” A higher final score indicates a higher level of participant SAT. The Cronbach’s alpha is 0.926, demonstrating good reliability.
-
(4)
CON scale
The CON Scale, adapted from Bhattacherjee30 study, consists of three items, each utilizing a Likert 5-point scale. The scale ranges from (1) “Strongly Disagree” to (5) “Strongly Agree,” with higher scores indicating greater levels of CON. The scale demonstrated high reliability in this study, as evidenced by a Cronbach’s alpha value of 0.927.
-
(5)
CI scale
The CI Scale, adapted from the research of Cheng, Chen52, comprises four items. Each item employs a Likert 5-point scale, with the range extending from (1) “Strongly Disagree” to (5) “Strongly Agree.” The total score of the scale reflects the participants’ CI. The scale showed good reliability in this study, as indicated by a Cronbach’s alpha of 0.942.
Data analysis
A two-stage method was employed to validate hypotheses and establish a predictive model. Initially, the SEM, a theory-driven approach, was used. SEM can only detect linear relationships between exogenous and endogenous variables through a compensatory model, where an increase in another offsets a decrease in one variable. However, the connections between quality factors, PU, CON, SAT, and CI are not merely linear or compensatory. In contrast to SEM, ANN can capture both linear and non-linear relationships using a non-compensatory model, leading to greater prediction accuracy. Moreover, due to its “black box” nature, ANN is more suitable for prediction than hypothesis testing. Finally, ANN analysis can further validate the results obtained from SEM. Therefore, this study integrated both strengths, employing a hybrid method for hypothesis validation and prediction.
Specifically, in the first phase, SEM was utilized to uncover the impact of quality factors, PU, CON, and SAT, on the CI of m-health Apps in Southwest China’s ethnic minority regions. This phase identified significant predictors. Subsequently, in the second phase, these significant predictors were used as input neurons in an ANN to forecast the CI for m-health Apps. This approach ultimately yielded accuracy in prediction and a ranking of key variables.
Results
Measurement model
Guided by Hair64, reliability indicators include item reliability and internal consistency reliability (composite reliability and Cronbach’s α). First, item reliability must exceed 0.70864. Second, composite reliability and Cronbach’s α should be above 0.764. According to the results in Table 3, item reliability, composite reliability, and Cronbach’s α are all above 0.7, indicating good reliability for all constructs. Additionally, the convergent and discriminant validity of the scale were assessed. Convergent validity is evaluated using the Average Variance Extracted (AVE), with values exceeding 0.5. Discriminant validity was assessed using the traditional Fornell-Larcker criterion65 and the cross-loading standards. Fornell and Larcker65 suggest that if the correlation coefficient between constructs is less than the square root of the AVE, this indicates high discriminant validity (Table 4). Moreover, according to the cross-loading criterion, an indicator’s outer loading on the associated construct should be greater than any of its cross-loadings on other constructs (Table 5). Tables 4 and 5 demonstrate that each construct possesses good discriminant validity.
Common method bias (CMB)
CMB was assessed using two approaches. First, Harman’s single-factor test revealed that no single factor accounted for most of the variance66. The test showed that the largest single factor explained only 31.257% of the variance, well below the critical threshold of 50%66. Second, the marker variable technique was employed, which involves introducing a theoretically unrelated marker variable into the research model to test for common method bias67. The maximum shared variance with other factors was estimated to be 0.0201 (2.01%), which is considerably low68. Therefore, based on these two tests, it can be inferred that no significant common method bias is present.
Structural model assessment
Collinearity
To assess collinearity, the VIF values in the predictor constructs were adopted. According to Hair64, the VIF values should be below five and perfectly below a value of 3 to ensure that collinearity does not substantially affect the structural model estimates. Table 6 indicated that all VIF values between 3.139 and 4.754 and thus met the recommended level.
Significance of the structural model relationship
The significance of the structural model relationship was assessed using the bootstrapping algorithm in Smart PLS. According to Hair64, t statistics (t > 1.96), p values (p < 0.05), and confidence interval (excluding zero) were used to test the significance of the relationship. Table 7 indicates the path coefficient, confidence interval, t statistics, and p values. Specifically, among the direct and significant predictors of CI, SAT emerged as the strongest determinant (β = 0.662, t = 8.929, p = 0.000), followed by PU (β = 0.259, t = 3.563, p = 0.000). Similarly, among the significant predictors for CON, INQ was identified as the most influential factor (β = 0.481, t = 5.350, p = 0.000), followed by SYQ (β = 0.283, t = 3.471, p = 0.001). CON (β = 0.444, t = 4.631, p = 0.000) and INQ (β = 0.366, t = 3.8774, p = 0.000) significantly positively impacted PU. Likewise, CON (β = 0.751, t = 18.232, p = 0.000) and PU (β = 0.208, t = 4.883, p = 0.000) significantly positively influenced SAT. However, SEQ did not significantly impact either CON (β = 0.125, t = 1.288, p = 0.198) or PU (β=-0.056, t = 0.685, p = 0.493). Similarly, SYQ (β = 0.148, t = 1.471, p = 0.141) had no significant impact on PU.
Explanatory power and predictive validity
The R2 values of the endogenous constructs and the Stone-Geisser Q2 values, respectively, explain the model’s explanatory power and predictive relevance64. The R2 values (Table 8) indicate the model has satisfactory explanatory power. The R2 value for CI suggests that the predictors explain 79.0% of the variance in CI. Similarly, the R2 value for SAT indicates that its predictors account for approximately 86.5% of the variance. Additionally, all Q2 values are above zero (Table 8), signifying that the empirical model possesses high predictive relevance64.
ANN analysis
In the next phase, akin to the study by Liébana-Cabanillas et al.69, we use the significant factors from the PLS-SEM path analysis as input neurons for the ANN model. The rationale for applying ANN includes the non-normal distribution of data and non-linear relationships between exogenous and endogenous variables. Additionally, ANN demonstrates robustness against noise, outliers, and smaller sample sizes. It is also adaptable to non-compensatory models, where a decrease in one factor doesn’t necessitate an increase in another. The ANN analysis was conducted using IBM’s SPSS Neural Network Module. ANN algorithms can capture linear and non-linear relationships without normal distribution70. The algorithm learns through training, employing the feed-forward back-propagation algorithm for predictive analysis71. Multilayer perceptrons and sigmoid activation functions were utilized in the input and hidden layers72. The error is minimized through multiple learning iterations, further enhancing prediction accuracy73. Like Leong, Jaafar74, we used 80% of the sample for the training process and the remainder for testing. To avoid the possibility of over-fitting, we conducted a ten-fold cross-validation process, obtaining the Root Mean Square Error (RMSE)75. Table 9 shows that the average RMSE values for the training and testing processes were 0.0938 and 0.0973, respectively, confirming excellent model fit.
To measure the predictive power of each input neuron, we conducted a sensitivity analysis (Table 10). This was achieved by calculating the normalized importance of these neurons, which involved dividing their relative importance by the maximum importance and presenting the results as a percentage76. The results indicate that SAT is the most crucial predictive factor, with a normalized importance of 100%. This is followed by INQ, with a normalized importance of 70.2%, then PU (43.2%), SYQ (25.1%), and CON (17.6%).
Discussion
This study aimed to identify and examine the factors influencing the CI of m-health app users in the ethnic minority regions of Southwest China using a mixed-methods approach. The testing of the proposed model confirmed that CON, INQ, PU, SAT, and SYQ are significant predictors of the CI for m-health Apps among users in these regions. Furthermore, the ANN analysis revealed that SAT is the most critical predictive factor for the CI of m-health Apps, followed by INQ, PU, SYQ, and CON. These findings will be discussed in greater detail below.
This study confirmed that SAT with m-health Apps is a significant predictive factor for the CI among users in the ethnic minority regions of Southwest China. This suggests that users in these regions with higher SAT levels are likely to continue using m-health apps. Among the direct influencing factors of CI, SAT had the strongest impact. This finding aligns with Chiu, Cho14, who explored the factors affecting the CI of fitness and health app users based on the ECM and Investment Model. Their results indicated that users’ SAT with fitness and health apps is a key predictor of CI. In this study, on the one hand, within the m-health domain, when users are satisfied with m-health Apps, they are likely to form stable usage habits. This implies that they may frequently revisit the app for health consultations, doctor appointments, etc., fostering a long-term motivation for use. On the other hand, users with higher SAT are more likely to recommend the app to others. This is particularly significant in closely-knit ethnic communities. User recommendations can enhance the credibility and appeal of the app, thereby promoting its continued use by more users.
The PU of m-health Apps significantly influences the CI among users in the ethnic minority regions of Southwest China. The empirical examination in this study found that PU is the second strongest factor directly predicting CI. This indicates that if users in these regions perceive m-health Apps as providing effective guidance and information, their intention to continue using these apps increases. This finding is corroborated by Wang, Fan36, who explored the factors influencing the CI of m-health Apps and how gamification-induced user perceptions affect CI. Their results demonstrated that users’ PU of m-health Apps is an effective predictor of CI. In the context of Southwest China’s ethnic minority regions, traditional medical resources may be insufficient or inaccessible due to geographical and cultural factors. If m-health Apps provide easily accessible services such as medical consultation, disease prevention information, and medication purchasing, they can effectively meet these users’ needs. Users who perceive this usefulness are more likely to rely on these apps long-term to meet their health needs.
The CON of users in the ethnic minority regions of Southwest China regarding m-health Apps significantly affects their SAT. This means that the higher the level of CON of expectations after using m-health Apps, the more satisfied the users are. Among the direct influencing factors of SAT, CON emerged as the strongest predictive factor. According to current results, previous studies have already demonstrated that outpatient CON of e-health services in India effectively predicts SAT33. In this study, on the one hand, m-health Apps provide accurate health information, high-quality consultation services, and user-friendly interfaces. These features often meet or exceed user expectations, typically leading to higher SAT with the app. On the other hand, m-health Apps contribute to health education and disease management tools, enhancing users’ awareness and self-management capabilities regarding health issues. Once users acknowledge these benefits, their SAT correspondingly increases.
The PU of m-health Apps significantly affects the SAT of users in the ethnic minority regions of Southwest China. This implies that if users in these areas believe that m-health Apps can improve their health status or knowledge, their SAT will increase. In the direct predictors of SAT, PU is the second strongest factor. This study supports previous evidence observed35. Leung and Chen35 examined the role of Hong Kong users’ technology readiness and ECM in improving life, showing that PU significantly impacts SAT among Hong Kong users. In this study, on the one hand, traditional medical resources may not be easily accessible in remote ethnic minority areas of Southwest China. M-health Apps provide a convenient avenue to access medical services and information, and this convenience and accessibility enhances user SAT. On the other hand, the tools and resources offered by m-health Apps help users manage their health conditions more effectively. For instance, through tracking health indicators, providing customized health advice, or convenient online consultations, users’ SAT with m-health Apps is increased.
The CON of m-health Apps significantly influences the PU for users in the ethnic minority regions of Southwest China. This means the more positively users in these regions confirm their experiences with m-health Apps, the stronger their PU becomes. This result aligns with the findings of Cheng34, who, based on the ECM and Flow Theory, examined the impact of human, organizational, and technological factors on the CI of Taiwanese medical personnel towards a cloud e-learning system. The results indicated that Taiwanese medical personnel’s CON of the cloud e-learning system effectively predicts PU. In this study, on the one hand, m-health Apps may have been well adapted to the cultural characteristics of the Southwest ethnic minority regions, such as offering interfaces in local languages and aligning with local users’ habits and preferences, making the app more easily accepted and perceived as useful. On the other hand, in areas where resources are relatively scarce, m-health Apps provide convenient access to medical information and services, addressing the shortage of physical medical resources and thereby being perceived as useful by users.
The INQ of m-health Apps in the ethnic minority regions of Southwest China significantly impacts users’ PU. This indicates that the more effective and scientifically sound the information provided by the m-health Apps, the more useful these apps are perceived by users in these regions. This finding is supported by Cheng, Chen52, who, based on the ISSM and the TAM, examined the behavioral intentions of smartphone users. Their results showed that the INQ provided by mobile phones is one of the key predictors of users’ PU. In this study, high-quality information typically implies that the content is accurate and reliable. In the medical field, accuracy is crucial as it directly relates to users’ health and treatment decisions. When users access accurate medical information in an app, they are more likely to perceive it as useful, as it provides trustworthy guidance and recommendations.
The INQ of m-health Apps significantly influences user CON in the ethnic minority regions of Southwest China. This means that the higher the INQ of the m-health Apps, the more positive the CON is for users in these regions. This study supports the results previously observed54. Their research, which collected self-reported data from 305 Taiwanese doctors exploring the factors influencing their CI to use cloud hospital information systems, found that the INQ of these systems significantly impacts doctors’ CON. In this study, given the potential educational and linguistic differences among users in the ethnic minority regions of Southwest China, the information’s clarity and ease of understanding becomes particularly important. Information should be presented clearly and straightforwardly, ensuring that users with different educational backgrounds and language habits can easily comprehend it. This helps increase users’ understanding and acceptance of the information, influencing their overall app evaluation.
The SYQ of m-health Apps significantly affects user CON in the ethnic minority regions of Southwest China. This suggests that if m-health Apps are well-designed and user-friendly, the users in these regions will have a higher level of CON. This finding aligns with the results of Cheng56, who, based on the Cognitive Absorption Theory and the ISSM, explored the factors influencing the CI of 378 Taiwanese medical personnel using cloud e-learning systems. The results indicated that the SYQ of cloud e-learning systems significantly impacts medical personnel’s CON. In this study, users in the ethnic minority regions of Southwest China may have diverse technological backgrounds and usage habits. An intuitive, easy-to-navigate interface can help users utilize the app more effectively, especially those less familiar with digital technology, enhancing their CON of the app. Additionally, in areas where network connectivity may be unstable, like ethnic minority regions, the application must be optimized to ensure stable performance in poor network conditions. Frequent crashes or prolonged loading times can lead to a poor user experience, affecting users’ CON and trust in the app.
The SEQ of m-health Apps does not significantly impact the PU for users in the ethnic minority regions of Southwest China. This implies that, in the context of m-health app usage, users in these regions do not believe that the assistance and support of service personnel significantly enhance the app’s helpfulness for their health. This finding contrasts with the discoveries of Trang and Tuan53, who, based on the TAM and ISSM, examined the SAT with information SYQ among 363 users of hospital management information systems in Vietnam. Their results showed that the SEQ of management information systems significantly impacts users’ PU. The observed discrepancy between SEQ and PU can be explained as follows: On the one hand, the user group in the ethnic minority regions of Southwest China (primarily the general public) may have different needs and expectations compared to the user group of hospital management information systems in Vietnam (hospital administrators). Professional users might be more inclined to link SEQ with PU, whereas general users might focus more on other factors like ease of use or accessibility. On the other hand, there could be significant cultural, economic, and societal differences between the ethnic minority regions of Southwest China and Vietnam. These differences could influence users’ expectations and perceptions of SEQ, as well as how they evaluate the usefulness of an app. Users in different regions may react and perceive the same level of SEQ differently.
The SYQ of m-health Apps in the ethnic minority regions of Southwest China does not significantly impact users’ PU. This suggests that although m-health Apps are well-structured and easy to navigate, they may not necessarily enhance users’ health management or decision-making abilities. However, this result does not align with previous research51. Based on the ISSM, Widiastuti, Haryono51 investigated the factors influencing SAT and net benefits of the information system among 93 lecturers at Malang State University, finding that the quality of the information system is a significant predictor of users’ PU. There are two possible explanations for this discrepancy. Firstly, the characteristics of users in the ethnic minority regions of Southwest China, such as cultural background, health needs, and technological proficiency, may differ from the target groups of previous studies. Different user groups may have varying perceptions and experiences regarding the importance of SYQ. Secondly, specific socio-economic conditions, health resource distribution, and network infrastructure in the ethnic minority regions may influence users’ expectations and experiences with m-health Apps, thereby affecting their perception of SYQ.
The SEQ of m-health Apps in the ethnic minority regions of Southwest China does not significantly impact user CON. This indicates that even though m-health Apps can provide informational support and professional knowledge, this does not necessarily elevate the level of user CON. This finding contradicts previous research, which indicated that the SEQ of cloud e-learning systems significantly positively affects the CON of Taiwanese medical personnel56. Several reasons could explain this discrepancy. Firstly, the user groups of these two types of systems might have different characteristics and needs. For instance, users of e-learning systems might focus more on the system’s instructional effectiveness and content quality. In contrast, users of m-health Apps might be more concerned with the accuracy and timeliness of information. Secondly, m-health Apps and cloud e-learning systems serve different purposes and functions. E-learning systems typically focus on providing educational content and learning experiences, whereas medical apps emphasize providing health information and medical consultations. These two types of applications might differ in terms of user expectations and how SEQ affects them.
Implications
Theoretical implications
The first theoretical implication of this study is the impact of quality factors on CI’s use of m-health Apps. The study further confirms the significant influence of quality factors (INQ, SEQ, and SYQ) on the CI of m-health Apps. By thoroughly analyzing the specific mechanisms of these quality factors, the research enriches the application of SEQ theory in mobile healthcare. It provides a new theoretical perspective for understanding users’ expectations of mobile healthcare services. This contribution is significant for the design of user-centered m-health Apps, aiding in enhancing user SAT and loyalty.
Secondly, another theoretical implication of this study is its specific focus on the Southwest ethnic minority regions of China. The findings related to these regions reveal the unique impact of regional culture and socio-economic background on the CI’s use of m-health Apps. This discovery adds a new dimension of regional culture to the SEQ theory and provides valuable theoretical guidance for understanding and promoting healthcare informatization in remote areas. The research underscores the importance of considering regional characteristics in designing and promoting m-health Apps, offering strategies to bridge the gap in health information access across different regions.
Thirdly, this study’s innovative combination of SEM and ANN methods makes a significant contribution in terms of accuracy and depth in analyzing the relationship between quality factors and the CI to use m-health Apps. This methodological innovation enhances the credibility and explanatory power of the research and provides new tools and pathways for future studies in complex data analysis and pattern recognition. This has a lasting impact on elevating the methodological standards of social science research, marking the third theoretical implication of this study.
Finally, compared to prior literature53,54,56, this study reports contradictory findings, such as the non-significant impact of m-health Apps on user CON, the non-significant influence of SEQ on PU, and the non-significant effect of SYQ on PU. These discrepancies call for more exhaustive research, necessitating the inclusion of larger and more representative samples to better understand and resolve these contradictions. This highlights the need for continuous and expansive exploration in the field, especially in the context of varying regional and cultural settings.
6.1.2 Practical implications.
Firstly, SAT and PU of m-health Apps are significant predictive factors for users’ CI. This study underscores the central role of SAT users in the CI in using medical apps, especially within the specific socio-cultural context of the ethnic minority regions of Southwest China. As a key predictive factor, SAT highlights the importance of focusing on user experience for medical app developers and policymakers in the design and improvement of apps. This necessitates providing high-quality services to ensure user SAT, thereby fostering long-term usage of the app.
Secondly, while the study found that the impact of SYQ on users’ PU is insignificant, its significant influence on user CON indicates that the usability and stability of the system design have an undeniable effect on user experience. This emphasizes the need to focus on technical performance and user interface design in developing medical apps, ensuring they meet the needs of various user groups, especially in Southwest ethnic minority regions where technological infrastructure might be less developed. This consideration is crucial for ensuring the apps are accessible and user-friendly, catering to the specific contexts of these regions.
Thirdly, the importance of INQ and PU as predictive factors highlights that medical apps must provide accurate, reliable, and useful information to meet users’ needs. This aspect is particularly crucial for the ethnic minority regions of Southwest China, where there may be a lack of traditional medical resources. Thus, the high-quality information provided by medical apps can satisfy users’ immediate needs and foster their long-term reliance on these digital health tools. Providing trustworthy and relevant health information becomes a key strategy for ensuring these apps’ effectiveness and sustained use in regions where alternative medical resources are limited.
Finally, user CON of medical apps - the match between their expectations and actual usage experience - is crucial for enhancing user SAT and PU. This suggests that developers of medical apps need to understand and manage users’ expectations, ensuring that the app’s features and services meet or exceed these expectations. It highlights the importance of aligning the app’s offerings with users’ needs and preferences and continually adapting to evolving user expectations, especially in dynamic healthcare contexts. This approach can help build a loyal user base and enhance the overall effectiveness of the app.
Limitation and future work
In this study, there are some limitations despite considering various factors like SYQ, INQ, and SEQ in the CI of m-health app users in the Southwest region. Firstly, the study primarily relied on questionnaire surveys for data collection, which may limit a deeper understanding of participants’ actual CI for using m-health Apps. Survey reliance on self-reporting is subject to the subjectivity of respondents. Future research could consider more objective data collection methods, such as in-depth interviews and case studies, to acquire richer and more authentic data. Secondly, this study’s choice of explanatory variables was somewhat limited, focusing on quality factors. However, the determinants of users’ CI for m-health Apps might be multifaceted, and other variables such as subjective norms, social support, and familial environment could also significantly impact the CI. Future research should consider additional potential influencing factors and use more comprehensive models to explore and predict the CI of m-health Apps. Including these variables can provide a more holistic theoretical framework and support the development of more targeted intervention strategies. Lastly, the study was primarily based on cross-sectional research, which does not reveal the long-term changes in CI for m-health Apps over time. Future studies should conduct longitudinal research to better understand the evolution of these behaviors over time and their long-term impacts. This approach would provide valuable insights into user engagement and retention dynamics with m-health Apps.
Conclusion
This study explores the impact of quality factors on the CI’s use of m-health apps in the ethnic minority regions of Southwest China, based on the ECM. A literature review indicates that quality factors, PU, CON, and SAT, are significant predictors of CI for m-health Apps. The study collected 337 valid responses through an online survey platform. Initially, the study employed SEM to verify the linear relationship between quality factors and CI. Subsequently, ANN was used to explain the non-compensatory and non-linear relationships between predictive factors and the CI for m-health Apps. The results show that user SAT and PU are significant predictive factors for the CI. All relationships were confirmed except for the non-significant relationships between SEQ and CON, SEQ and PU, and SYQ and PU. Moreover, based on the normalized importance obtained from multilayer perceptrons, the study identified the most critical predictive factor as SAT (100%), followed by INQ (70.2%), PU (43.2%), SYQ (25.1%), and CON (17.6%). The study confirms the significant impact of quality factors (INQ, SEQ, and SYQ) on the CI using m-health apps. It reveals the specific influence of regional culture and socio-economic background in the ethnic minority areas of Southwest China on this intention. Finally, developers and policymakers of m-health Apps should focus on the importance of user experience, the app’s technical performance, and user interface design when designing and improving apps. This approach will ensure the app meets users’ diverse needs and preferences in these regions.
Tables.
Data availability
The data that support the findings of this study are available on request from the corresponding author.
References
Alghazi, S. S. et al. For sustainable application of mobile learning: An extended UTAUT model to examine the effect of technical factors on the usage of Mobile devices as a Learning Tool. 13(4), 1856 (2021).
Sharma, S. et al. Mobile technology: A tool for healthcare and a boon in pandemic. 11(1), 37–43. (2022).
Dinakrisma, A. A. et al. The role of digital mobile technology in elderly health management among health care workers in Indonesia: Analysis of knowledge, attitudes, and practice. Dig. Health 8 (2022).
Ashrafi, A. et al. Exploring factors influencing students’ continuance intention to use the learning management system (LMS): A multi-perspective framework. Interact. Learn. Environ. 30(8), 1475–1497 (2022).
Cheng, Y. M. Which quality determinants cause MOOCs continuance intention? A hybrid extending the expectation-confirmation model with learning engagement and information systems success. (Library Hi Tech, ahead , 2022).
Kim, R. & Song, H. D. Examining the influence of teaching presence and task-technology fit on continuance intention to use MOOCs. Asia-Pacific Educ. Res.. 31(4), 395–408 (2022).
Latulippe, K., Hamel, C. & Giroux, D. Social health inequalities and eHealth: A literature review with qualitative synthesis of theoretical and empirical studies. J. Med. Internet. Res., 19(4), e136. (2017).
Ameyaw, E. K., Amoah, P. A. & Ezezika, O. Effectiveness of mHealth apps for maternal Health Care Delivery: Systematic review of systematic reviews. J. Med. Internet. Res. 26, 19 (2024).
Marcolino, M. S. et al. The impact of mHealth interventions: Systematic review of systematic reviews. Jmir Mhealth Uhealth. 6(1), 11 (2018).
Amin, R. et al. Stimuli Influencing Engagement, satisfaction, and intention to Use Telemedicine services: An integrative model. Healthcare. 10(7), 24 (2022).
Alam, M. Z. et al. Factors influencing the adoption of mHealth services in a developing country: A patient-centric study. Int. J. Inf. Manag. 50, 128–143 (2020).
Chang, Y. Z. et al. Influences on medical app adoption by patients: The unified theory of acceptance and use of technology model and the moderating effects of technology readiness. Social Sci. J. 1–14 (2020).
Kaium, M. A. et al. Understanding continuance usage intention of mHealth in a developing country. Int. J. Pharm. Healthc. Mark. 14(2), 251–272 (2020).
Chiu, W., Cho, H. & Chi, C. G. Consumers’ continuance intention to use fitness and health apps: An integration of the expectation–confirmation model and investment model. Inform. Technol. People 34, 978–998 (2021).
Hartono, I. K. et al. Determinants factor affecting user continuance usage and intention to recommend of mobile telemedicine. IOP Conf. Series Earth Environ. Sci. 794(1), 012079 (2021).
Kim, E. & Han, S. Determinants of continuance intention to use health apps among users over 60: A test of Social Cognitive Model. Int. J. Environ. Res. Public Health 18(19), 10367 (2021).
Liu, Y., Jiang, F. & Lin, P. Influence mechanism of the affordances of chronic disease management apps on continuance intention: Questionnaire study. JMIR mHealth and uHealth 9, e21831 (2021).
Yan, M. et al. Mobile apps for healthy living: Factors influencing continuance intention for health apps. Technol. Forecast. Soc. Chang. 166, 120644 (2021).
Luo, Y. & Mou, J. Understanding gender differences in mHealth apps continuance: A modified protection motivation theory. J. Electron. Bus. Digit. Econ. 1(1/2), 225–247 (2022).
Wang, T. et al. Identifying major impact factors affecting the continuance intention of mHealth: A systematic review and multi-subgroup meta-analysis. Npj Digit. Med. 5(1), 145 (2022).
Xu, Q. et al. Factors affecting medical students’ continuance intention to Use Mobile Health Applications. J. Multidisciplinary Healthc. 15(null), 471–484 (2022).
Han, K. & Zo, H. Understanding the mobile healthcare applications continuance: The regulatory focus perspective. Int. J. Med. Informatics. 177, 105161 (2023).
Lu, H. H. et al. A study investigating user adoptive behavior and the continuance intention to use mobile health applications during the COVID-19 pandemic era: Evidence from the telemedicine applications utilized in Indonesia. Asia Pac. Manage. Rev. 28(1), 52–59 (2023).
Elsotouhy, M. M. et al. Investigating health and fitness app users’ stickiness, WOM, and Continuance Intention using S-O-R model: The moderating role of Health consciousness. Int. J. Hum. Comput. Interact. 40(5), 1235–1250 (2024).
Nouri, R. et al. Criteria for assessing the quality of mHealth apps: A systematic review. J. Am. Med. Inform. Assoc. 25(8), 1089–1098 (2018).
Zhu, L., Jiang, X. S. & Cao, J. W. Factors Affecting Continuance Intention in Non-face-to-face telemedicine services: Trust typology and privacy concern perspectives. Healthcare 11(3) (2023).
Bhattacherjee, A. Understanding Information systems Continuance: An expectation-confirmation model. MIS Q. 3(25), 351 (2001).
Ashrafi, A. et al. Exploring factors influencing students’ continuance intention to use the learning management system (LMS): A multi-perspective framework. Interact. Learn. Environ. 1–23. (2020).
Lee, J. S. & Cho, J. Determinants of continuance intention for over-the-top services. Soc. Behav. Personal. Int. J. 49, 1i (2021).
Bhattacherjee, A. Understanding Information systems Continuance: An expectation-confirmation model. MIS Q. 25(3), 351–370 (2001).
Wang, J. & Cao, Y. Factors affecting users’ continuance intention toward Mobile Health: Integration of theory of consumption value and expectation confirmation. OALib. 10(03), 1–15 (2023).
Wu, C. et al. Understanding the mechanism between IT Identity, IT Mindfulness and Mobile Health Technology Continuance Intention: An extended expectation confirmation model. Technol. Forecast. Soc. Chang. 176, 121449 (2022).
Anil Kumar, K. & Natarajan, S. An extension of the expectation confirmation model (ECM) to study continuance behavior in using e-Health services. Innovative Mark. 16(2), 15–28 (2020).
Cheng, Y. M. Investigating medical professionals’ continuance intention of the cloud-based e-learning system: An extension of expectation–confirmation model with flow theory. J. Enterp. Inform. Manage. 34(4), 1169–1202 (2021).
Leung, L. & Chen, C. E-health/m-health adoption and lifestyle improvements: Exploring the roles of technology readiness, the expectation-confirmation model, and health-related information activities. Telecomm. Policy. 43(6), 563–575 (2019).
Wang, T. et al. The impact of Gamification-Induced users’ feelings on the continued use of mHealth apps: A structural equation Model with the self-determination theory Approach. J. Med. Internet Res. 23(8), e24546 (2021).
Huang, C. K. et al. A trade-off dual-factor model to investigate discontinuous intention of health app users: From the perspective of information disclosure. J. Biomed. Inform. 100, 103302 (2019).
Nie, L. et al. Continuous usage intention of mobile health services: Model construction and validation. BMC Health Serv. Res. 23(1), 442 (2023).
Delone, W. H. & McLean, E. R. The DeLone and McLean Model of Information systems Success: A ten-year update. J. Manage. Inform. Syst. 19(4), 9–30 (2003).
Ariyanto, R., Rohadi, E. & Lestari, V. A. The effect of information quality, system quality, service quality on intention to use and user satisfaction, and their effect on net benefits primary care application at primary health facilities in Malang. In IOP Conference Series: Materials Science and Engineering, Vol. 732, No. 1, 012084 (2020).
Hanjaya, S. M., Kenny, S. K. & Gunawan, S. F. Understanding factors influencing consumers online purchase intention via mobile app: Perceived ease of use, perceived usefulness, system quality, information quality, and service quality. Mark. Sci. Res. Organ. 32(2), 175–205 (2019).
Mohammad Salameh, A. A. et al. Relationships between system quality, service quality, and customer satisfaction. J. Syst. Inform. Technol. 20(1), 73–102 (2018).
Al-nassar, B. A. Y. Effect of information quality and system quality in information system success model as an antecedent of mobile learning in education institutions: Case study in Jordan. Int. J. Mob. Learn. Organ 14(3), 277–306 (2020).
Rana, S., Tandon, U. & Kumar, H. Understanding medical service quality, system quality and information quality of Tele-Health for sustainable development in the Indian context. Kybernetes, ahead- (2023).
Ramkumar, M. et al. Q-TAM: A quality technology acceptance model for predicting organizational buyers’ continuance intentions for e-procurement services. Int. J. Prod. Econ. 216, 333–348 (2019).
Nazari-Shirkouhi, S. et al. A model to improve user acceptance of e-services in healthcare systems based on technology acceptance model: An empirical study. J. Ambient Intell. Humaniz. Comput. 14(6), 7919–7935 (2023).
Aboelmaged, M. G. Predicting the success of Twitter in healthcare. Online Inf. Rev. 42(6), 898–922 (2018).
Qin, Y., Omar, B. & Musetti, A. The addiction behavior of short-form video app TikTok: The information quality and system quality perspective. Front. Psychol. 13 (2022).
Wu, R. Z. & Tian, X. F. Investigating the impact of critical factors on continuous usage intention towards Enterprise Social networks: An Integrated Model of IS Success and TTF. Sustainability. 13(14), 7619 (2021).
Yuce, A., Abubakar, A. M. & Ilkan, M. Intelligent tutoring systems and learning performance. Online Inf. Rev. 43(4), 600–616 (2019).
Widiastuti, R., Haryono, B. S. & Said, A. Influence of system quality, information quality, service quality on user acceptance and satisfaction and its impact on net benefits (study of information system users Lecturer Performance load (BKD) in Malang State University). HOLISTICA J. Bus. Public. Adm. 10(3), 111–132 (2019).
Cheng, C. H. et al. Exploring Taiwanese’s smartphone user intention: An integrated model of technology acceptance model and information system successful model. Int. J. Social Humanistic Comput. 3(2), 97–107 (2019).
Trang, N. T. T. & Tuan, N. M. User’s Satisfaction with Information System Quality: An Empirical Study on the Hospital Information Systems in Ho Chi Minh City, VietnamVol. 9, No. 2 (Hcmcoujs - Economics and Business Administration, 2020).
Cheng, Y. M. Quality antecedents and performance outcome of cloud-based hospital information system continuance intention. J. Enterp. Inform. Manage. 33 (3), 654–683 (2020).
Feng, Z. Q., Han, X. H. & Zhang, X. Users’ satisfaction improvement of financial shared service platform—Perceived usefulness mediation and NGIT application maturity adjustment. IEEE Access. 12, 48960–48974 (2024).
Cheng, Y. M. What roles do quality and cognitive absorption play in evaluating cloud-based e-learning system success? Evidence from medical professionals. Interact. Technol. Smart Educ. 20 (2), 228–256 (2023).
Alshammari, S. H. & Alshammari, R. A. An integration of expectation confirmation model and information systems success model to explore the factors affecting the continuous intention to utilise virtual classrooms. Sci. Rep. 14(1), 18491 (2024).
Tessema, W. M. & Cavus, N. Determining information system end-user satisfaction and continuance intension with a unified modeling approach. Sci. Rep. 14(1), 6882 (2024).
Chen, Q., Jin, J. H. & Yan, X. B. Impact of online physician service quality on patients’ adoption behavior across different stages: An elaboration likelihood perspective. Decis. Support Syst. 176, 15 (2024).
Yu, X. F., Yang, Y. & Li, S. Users’ continuance intention towards an AI painting application: An extended expectation confirmation model. Plos One 19(5), 25 (2024).
Putro, A. K. & Takahashi, Y. Entrepreneurs’ creativity, information technology adoption, and continuance intention: Mediation effects of perceived usefulness and ease of use and the moderation effect of entrepreneurial orientation. Heliyon. 10(3) (2024).
Lee, J., Song, H. D. & Kim, Y. Quality factors that influence the continuance intention to use MOOCs: An expectation-confirmation perspective. Eur. J. Psychol. Open. 82(3), 109–119 (2023).
Almaiah, M. A. & Alismaiel, O. A. Examination of factors influencing the use of mobile learning system: An empirical study. Educ. Inform. Technol. 24(1), 885–909 (2019).
Hair, J. Jr., Tomas, G., Hult, M., Ringle, C. M. & Sarstedt, M. A Primer on Partial Least Squares Structural Equation Modeling (PLS-SEM) 3rd edn (SAGE Publications, Inc, 2021).
Fornell, C. & Larcker, D. F. Evaluating Structural equation models with unobservable variables and measurement error. J. Mark. Res. 18(1), 39–50 (1981).
Podsakoff, P. M. et al. Common method biases in behavioral research: A critical review of the literature and recommended remedies. J. Appl. Psychol. 88(5), 879–903 (2003).
Lindell, M. K. & Whitney, D. J. Accounting for common method variance in cross-sectional research designs. J. Appl. Psychol. 86(1), 114–121 (2001).
Johnson, R. E., Rosen, C. C. & Djurdjevic, E. Assessing the impact of common method variance on higher order multidimensional constructs. J. Appl. Psychol. 96(4), 744–761 (2011).
Liébana-Cabanillas, F., Marinković, V. & Kalinić, Z. A SEM-neural network approach for predicting antecedents of m-commerce acceptance. Int. J. Inf. Manag. 37(2), 14–24 (2017).
Teo, A. C. et al. The effects of convenience and speed in m-payment. Ind. Manage. Data Syst. 115(2), 311–331 (2015).
Taneja, A. & Arora, A. Modeling user preferences using neural networks and tensor factorization model. Int. J. Inf. Manag. 45, 132–148 (2019).
Sharma, S. K., Sharma, H. & Dwivedi, Y. K. A hybrid SEM-neural network model for predicting determinants of mobile payment services. Inform. Syst. Manage. 36(3), 243–261 (2019).
El Idrissi, T., Idri, A. & Bakkoury, Z. Systematic map and review of predictive techniques in diabetes self-management. Int. J. Inf. Manag. 46, 263–277 (2019).
Leong, L. Y., Jaafar, N. I. & Ainin, S. Understanding Facebook commerce (f-commerce) actual purchase from an artificial neural network perspective. J. Electron. Commer. Res., 19(1). (2018).
Ooi, K. B. & Tan, G. W. H. Mobile technology acceptance model: An investigation using mobile users to explore smartphone credit card. Expert Syst. Appl. 59, 33–46 (2016).
Karaca, Y. et al. Mobile cloud computing based stroke healthcare system. Int. J. Inf. Manag. 45, 250–261 (2019).
Funding
China Postdoctoral Science Foundation Funded Project (No.:2023M740531). BaGui Scholar Subsidy Program in Guangxi.
Author information
Authors and Affiliations
Contributions
Conceptualization: D. H. Methodology: D. H. and C. H. Formal analysis and investigation: Z. J. and C. H. Writing - original draft preparation: D. H. and Z. J. Writing - review and editing: C. H. Supervision: C. H. All authors reviewed the manuscript.
Corresponding author
Ethics declarations
Competing interests
The authors declare no competing interests.
Ethics statement
The researchers confirms that all research was performed in accordance with relevant guidelines/regulations applicable when human participants are involved (e.g., Declaration of Helsinki or similar). This study was approved by the Ethics Committee of Guilin Medical University, with the approval number: GLMU-2023-05-0031.
Informed consent
Informed consent was obtained from all participants involved in the study.
Additional information
Publisher’s note
Springer Nature remains neutral with regard to jurisdictional claims in published maps and institutional affiliations.
Electronic supplementary material
Below is the link to the electronic supplementary material.
Rights and permissions
Open Access This article is licensed under a Creative Commons Attribution-NonCommercial-NoDerivatives 4.0 International License, which permits any non-commercial use, sharing, distribution and reproduction in any medium or format, as long as you give appropriate credit to the original author(s) and the source, provide a link to the Creative Commons licence, and indicate if you modified the licensed material. You do not have permission under this licence to share adapted material derived from this article or parts of it. The images or other third party material in this article are included in the article’s Creative Commons licence, unless indicated otherwise in a credit line to the material. If material is not included in the article’s Creative Commons licence and your intended use is not permitted by statutory regulation or exceeds the permitted use, you will need to obtain permission directly from the copyright holder. To view a copy of this licence, visit http://creativecommons.org/licenses/by-nc-nd/4.0/.
About this article
Cite this article
Honglin, D., Jianghua, Z. & Hui, C. Quality factors affecting the continued use of mobile health apps in ethnic minority regions of Southwest China using PLS-SEM and ANN. Sci Rep 14, 25469 (2024). https://doi.org/10.1038/s41598-024-75410-4
Received:
Accepted:
Published:
Version of record:
DOI: https://doi.org/10.1038/s41598-024-75410-4
Keywords
This article is cited by
-
Generative AI Health Assistants in Modern Healthcare: Drivers and Barriers to Adoption
Information Systems Frontiers (2025)




