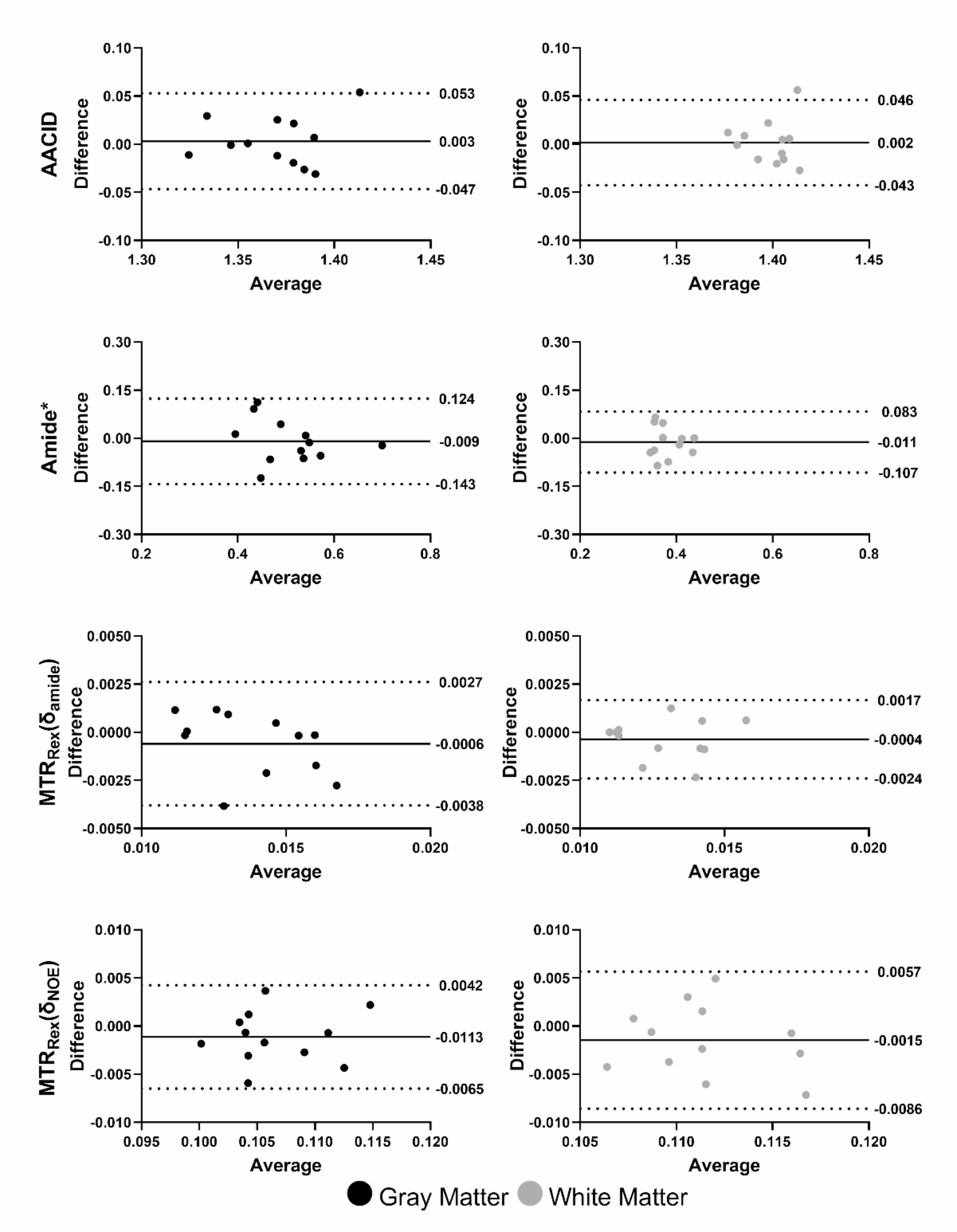
Fig. 5

Bland-Altman plots depict the average of the scan and rescan mean values and the difference between the scan and rescan mean values for all contrasts and for both gray and white matter (n = 12). The solid black lines represent the mean bias, and the dotted black lines represent the ± 1.96 standard deviation lines.