Abstract
Chemical exchange saturation transfer (CEST) imaging may provide novel contrast for the diagnosis, prognosis, and monitoring of the progression or treatment of neurological applications. However, the reproducibility of prominent CEST contrasts like amide CEST and nuclear Overhauser enhancement (NOE) CEST must be characterized in healthy brain gray matter (GM) and white matter (GM) prior to clinical implementation. The objective of this study was to characterize the reproducibility of four different CEST contrasts in the healthy human brain. Using a 3T MRI scanner, two 3D CEST scans were acquired in 12 healthy subjects (7 females, mean age (± SD) 26 ± 4 years) approximately 10 days apart. Scan-rescan reproducibility was measured for four contrasts: amine/amide concentration-independent detection (AACID), Amide*, and inverse magnetization transfer ratio (MTRRex) contrast for amide and NOE. Reproducibility was evaluated between- and within-subjects using coefficients of variation (CV) and the percent difference between measurements. AACID and NOE-MTRRex contrasts demonstrated the lowest within-subject CVs (0.8–1.2% and 1.6-2.0%, respectively), between-subject CVs (1.2–2.1% and 3.4–4.2%, respectively), and percent difference (1.2–1.4% and 2.2–2.8%, respectively) for both GM and WM. AACID and NOE-MTRRex contrasts demonstrated the highest reproducibility and represented stable measurements suitable for characterizing changes in brain tissue caused by pathological processes.
Similar content being viewed by others
Introduction
Chemical exchange saturation transfer (CEST) imaging can indirectly detect select metabolites and is sensitive to tissue physiological conditions including temperature and pH. CEST contrast is generated using the transfer of magnetic saturation from selectively excited endogenous or exogenous exchangeable protons to bulk water1,2. Several prominent CEST effects, including amide-CEST and nuclear Overhauser enhancement (NOE) CEST3,4,5,6,7,8,9,10,11,12,13, have been previously used to study cohorts with various neurological conditions. Amide-based CEST methods, which rely on exchangeable protons at 3.5 ppm (i.e., amide proton transfer (APT-weighted), apparent exchange-dependent relaxation (AREX), etc.) have been extensively studied for brain tumour grading6,10, detection of early treatment effects8,9, prognosis of tumour progression and survival12, identification of genetic markers in gliomas11,13, and the monitoring of pH effects during ischemia4. NOE-CEST is an emerging contrast targeting non-exchangeable protons (i.e., carbon-bound aliphatic and aromatic protons) that transfer magnetic saturation to nearby dipolar-coupled protons via cross-relaxation14. NOE signals at the upfield frequency of -3.5 ppm are of particular interest and have been used to characterize tumour aggressiveness5, discriminate between tumour regrowth and radiation necrosis7, and have been linked to protein aggregation in an Alzheimer’s disease mouse model3. More recently, a ratiometric endogenous CEST contrast, called amine/amide concentration independent detection (AACID), has also emerged as a contrast sensitive to intracellular pH relying on the relative amide (3.5 ppm) and amine (2.75 ppm) CEST effects and has been used at high magnetic field strengths to track pH changes following ischemic stroke and in tumours15,16.
These novel CEST contrasts may complement other MRI derived measures in clinical settings to assess patients with neurological conditions. However, prior to clinical use, further characterization of the reproducibility of such contrasts in healthy brain gray matter (GM) and white matter (WM) tissue should be performed. Reproducibility measures are necessary to compare contrast efficacy and estimate detectable effect sizes for clinical research. Previous studies have evaluated the reproducibility of APT-weighted CEST17,18,19,20. A recent study demonstrated high whole-brain within-session, between-session, and between-day APT reproducibility in 21 healthy participants and 6 people with glioma using clinically feasible scan times at 3T19. A different study with 19 healthy volunteers, 15 people with glioma, and 12 people with acute stroke found that 3D APT CEST had higher reproducibility in the supratentorial locations of the brain compared to the infratentorial locations, regardless of disease condition17. Another study found that single-slice APT reproducibility in brain tumours between sessions in 13 patients was characterized by an intraclass correlation coefficient of 0.9518. Finally, one study characterized within-session, between-session, and between-scanner reproducibility in 19 healthy participants, demonstrating that more advanced amide metrics had higher reproducibility compared to asymmetry APT analysis20. However, there remains an unmet need to compare the reproducibility of different CEST contrasts in the healthy brain. Identifying CEST contrasts with high reproducibility will aid in clinical translation and the development of robust thresholds to identify pathological tissue.
The purpose of the current study was to characterize and compare the scan-rescan reproducibility of four different CEST contrasts (AACID15, apparent amide (Amide*)21, and inverse magnetization transfer ratio (\(\:{\text{M}\text{T}\text{R}}_{\text{R}\text{e}\text{x}}\))22 for both amide and NOE) in healthy volunteers in both GM and WM at the clinically relevant magnetic field strength of 3T. APT-weighted magnetization transfer ratio asymmetry (\(\:{\text{M}\text{T}\text{R}}_{\text{a}\text{s}\text{y}\text{m}\text{m}}\)) CEST was not measured because the saturation scheme used in the current study was not optimal for APT contrast, APT reproducibility has been previously studied, and a study performed by Wu et al. demonstrated that more advanced amide metrics produce higher reproducibility20. This study expands on the previously published study of Wu et al.20 by evaluating the reproducibility of the advanced metrics using a low power, high duty cycle saturation scheme while also being the first study to compare to the AACID and Amide* contrasts. The current study also aimed to quantify contrast differences between GM and WM tissue.
Methods
Participants
In this study, all methods were carried out in accordance with relevant guidelines and regulations and all experimental protocols were approved by the Western University Health Sciences Research Ethics Board. Informed consent was obtained from all participants prior to the first scan. Twelve healthy participants were included in this study (7 females, mean age (± SD) 26 ± 4 years). The inclusion criteria were (1) age > 18 years, and (2) no clinical or MRI evidence of brain pathologies. Participants with contraindications to 3T MRI were excluded. Each participant was scanned twice (10 ± 4 days between scans) to determine the inter-scan reproducibility of each CEST contrast in the brain.
Imaging acquisition
All participants were scanned using a Siemens 3T MAGNETOM Prisma Fit MRI scanner (Siemens, Erlangen, Germany) equipped with a 64-channel head and neck coil. A whole-brain 3D MPRAGE T1-weighted scan was acquired including the following scan parameters: TR/TE/TI = 2300/2.98/900 ms, flip angle (FA) of 9°, matrix size of 256 × 256 × 176, producing a 1 mm³ isotropic nominal voxel size. A Siemens prototype CEST sequence was used in all participants. This consisted of a series of selective saturation pulses followed by a rapid 3D gradient-echo readout using a centric spiral k-space sampling. The selective saturation scheme employed a series of 30 Gaussian-shaped radiofrequency (RF) pulses (B1 root mean square (B1,rms) amplitude = 0.5 µT) with a pulse length (tpulse) of 100 ms and an interpulse delay (tdelay) of 1 ms. The total saturation time was 3.03 s, followed by a 2 s recovery time after each readout. Calibration of the scanner reference voltage ensured that equivalent CEST saturation pulses were applied in each subject. These parameters were based on previous optimizations performed in both egg-white phantoms and the human brain23. CEST images were acquired at 45 pre-saturation frequency offsets ranging from − 6.5 ppm to 6.5 ppm (with uneven increments, emphasizing the amide and NOE features, see Supplementary Table 1) and an additional frequency was acquired at -300 ppm for normalization. The 3D CEST volume was positioned superior to the ventricles in the brain of all participants, with imaging parameters set at a matrix size of 96 × 96 × 8, nominal voxel size of 2.0 × 2.0 × 5.0 mm3, a TR/TE of 3.35/1.16 ms, 480 lines per shot with one segment per offset, and a GRAPPA acceleration factor of 2. The total CEST imaging scan time was 3 minutes and 38 s. To ensure the 3D volume between scans was positioned in the same location, an automated slice positioning scout sequence (Siemen’s AutoAlign) was employed during the first scan. The AutoAlign images were acquired by 3D FLASH using the following parameters: TR/TE = 3.15/1.37 ms, 1.6 mm3 isotropic, FA = 8°, acquisition time = 14 s. AutoAlign references a 3D MR brain atlas, and automatically aligns the follow-up scan in a standardized manner. To quantify B1 variation throughout the brain, 2D flip angle maps were acquired using a gradient-echo sequence utilizing a turbo-FLASH readout. Imaging parameters were TR/TE = 5000/1.99ms, 5 mm thickness, 5 slices (5 mm gap between slices), with total acquisition time of 10 s. Interpolation was performed between slices using an in-house MATLAB R2021a (Mathworks, Natwick, MA, USA) code to transform the maps into a 3D flip angle map. To quantify B1 variation, percent variation from the nominal flip angle was found for each scan and averaged to find overall B1 variation across the volume.
A water saturation shift referencing (WASSR) scan was also acquired for B0 correction24. For WASSR saturation, a train of 5 Gaussian pulses with tpulse = 100 ms, tdelay = 60 ms, and B1,rms = 0.5 µT was used and sampled at 25 frequency offsets from − 2.5 ppm to 2.5 ppm, in increments of 0.2 ppm. The total WASSR scan time was 1 min and 4 s.
CEST post-processing
For each scan, the whole-brain T1-weighted images were automatically segmented using the FMRIB Software Library (FSL) v.6.0. Specifically, for whole-brain extraction and creation of GM and WM binary regions-of-interest (ROIs), optiBET was used25. Registration of the 3D CEST images to the T1-weighted image was performed using FMRIB’s Linear Image Registration Tool (FLIRT) and the whole-brain, GM, and WM masks were transformed into CEST space for further analysis by applying the inverse transformation matrix obtained from the previous CEST to T1-weighted anatomical registration. All acquired and registered CEST data was loaded into MATLAB R2021a custom code. To correct for B0 inhomogeneities, the corresponding Z-spectrum of each pixel was frequency-shifted using the corresponding WASSR spectrum24. All raw data were also denoised using principal component analysis (PCA)–based Z–spectral denoising according to the median criterion26. For each pixel, the Z-spectrum was fitted with a five-pool Lorentzian model including water, amide, amine, NOE, and magnetization transfer (MT) pool contributions. More information regarding the fitting is available in the Supplementary Materials and an example of the fit of one pixel is provided in Supplementary Fig. 1. Starting points and boundaries of the fit are given in Supplementary Table 2. To minimize the effect of fat signal contamination on the NOE side of the Z-spectrum27, any pixel that had a residual mean between the fit and raw data below − 0.2 (from − 4 ppm to -3 ppm), was eliminated because the Lorentzian model was not designed to fit a positive peak.
Four different CEST contrasts were calculated to compare the between-subject and within-subject reproducibility. AACID (Eq. 1) is the ratio of the amine proton CEST effect at 2.75 ppm and the amide proton CEST effect at 3.50 ppm, normalized by MT effects after saturation at 6.0 ppm. While the amine proton CEST effect at 2.0 ppm is better defined and produces a greater pH response28, it includes contributions from metabolites like creatine, which can fluctuate in different types of tissue29. To eliminate metabolite level fluctuations as a source of variability, the amine proton CEST effect at 2.75 ppm was chosen for the AACID measurement in the current study. This CEST contrast has been shown to have only a small dependence on temperature, T1-relaxation, and macromolecular concentration15,16. It should be noted that a larger AACID measure is indicative of a lower pH.
where \(\:{M}_{z}\) is the bulk water magnetization.
Jin et al. introduced a three-offset contrast method (Eq. 2), which reduces the effect of MT asymmetry by using two boundary frequencies, with minimal CEST effect from other mobile macromolecules. This technique assumes that the two boundary frequencies can be approximated by a straight line, which eliminates the Z-spectra fitting approach by calculating the difference between the amide CEST effect and the line segment21.
Finally, studies have shown that spillover and MT effects can be corrected by inversely subtracting the Lorentzian fit of the Z-spectrum consisting of all pools except that of pool i (\(\:{\text{Z}}_{\text{r}\text{e}\text{f},\text{i}}\)) from the complete Lorentzian fit of the Z-spectrum (\(\:{\text{Z}}_{\text{l}\text{a}\text{b}}\)), yielding inverse magnetization transfer ratio (\(\:{\text{M}\text{T}\text{R}}_{\text{R}\text{e}\text{x}}\)) contrast (Eq. 3)22. In the current study, this contrast was calculated for both amide (i = 3.5 ppm), and NOE (i = -3.5 ppm).
where \(\:{\delta\:}_{i}\) is the displacement from the frequency of the bulk water protons. To determine the CEST contrast values in both GM and WM, the binary GM and WM ROIs were applied to the 3D CEST contrast maps, and the average contrast values were calculated for both tissue types.
Statistics
A repeated measures t-test was performed to compare the GM and WM measurements (at both timepoints) for all CEST contrasts at a significance level of p = 0.05.
Measurement reproducibility was explored for both tissue types using ROI-based analysis. For each CEST contrast, Bland–Altman plots were created by plotting the ROI (GM and WM) averages against the differences between the two measurements made in each subject. These plots were used to identify any biases between the scan-rescan measurements. CEST contrast scan-rescan reproducibility was characterized using the coefficient of variation (CV) and percent difference of the contrast measurements. The CV is indicative of both the reproducibility and variability of a measurement, while the percent difference represents the reproducibility between scans. Between-subject and within-subject reproducibility was quantified using between-subject CV and within-subject CV, respectively. Between-subject CV was calculated for each scan as the standard deviation divided by the mean value across all subjects. The between-subject CVs for each scan were averaged to find the mean between-subject CV for both GM and WM. Within-subject CV was calculated as the standard deviation divided by the mean of the two scans for each subject separately. Mean within-subject CV was found for both tissue types by averaging the 12 within-subject CVs together. Percent difference was calculated for each subject by finding the absolute difference between the scans and dividing it by the average of the two scans, multiplied by 100. The 12 individual percent difference measurements were averaged to determine the mean percent difference for both GM and WM. All these calculations were performed for each CEST contrast. To determine if there were any differences in reproducibility between tissue, a Repeated One-Way ANOVA (corrected for multiple comparisons (Tukey), p < 0.05) was performed for between-subject CV, within-subject CV, and percent difference. Finally, measurements for each tissue (GM and WM) were compared for each CEST contrast between scan 1 and scan 2 using a repeated measures t-test (results shown in Supplementary Fig. 4, p = 0.05). CV and percent difference calculations were performed in MATLAB R2021a, and all tests of significance were performed using GraphPad Prism 9 (San Diego, CA).
Results
CEST metrics in gray matter and white matter
Figure 1A shows the T1-weighted brain image of an exemplary axial slice from one healthy subject with the corresponding GM (blue), WM (red), and cerebrospinal fluid (CSF) (yellow) segmentations overlayed on Fig. 1B. The corresponding CEST slice contrast Z-score maps are shown as follows: AACID (Fig. 1C), Amide* (Fig. 1D), \(\:{\text{M}\text{T}\text{R}}_{\text{R}\text{e}\text{x}}\left({{\updelta\:}}_{\text{a}\text{m}\text{i}\text{d}\text{e}}\right)\:\)(Fig. 1E), and \(\:{\text{M}\text{T}\text{R}}_{\text{R}\text{e}\text{x}}\left({{\updelta\:}}_{\text{N}\text{O}\text{E}}\right)\) (Fig. 1F). B1 maps of the 3D brain volume demonstrated that the B1 variation was on average 3% across the volume and never greater than 8% in any scans. Supplementary Figs. 2 and 3 provide an example of the B1 variation throughout a slice and the whole brain of one participant. The differences between GM and WM were examined for each of the four CEST contrasts, as illustrated in Fig. 2. The AACID value was found to be significantly greater in WM compared to GM (2.1% difference, p < 0.0001) as was the \(\:{\text{M}\text{T}\text{R}}_{\text{R}\text{e}\text{x}}\left({{\updelta\:}}_{\text{N}\text{O}\text{E}}\right)\:\)value (4.5% difference, p < 0.0001). The Amide* value was also found to be significantly lower in WM compared to GM (28.4% difference, p < 0.0001) as was the \(\:{\text{M}\text{T}\text{R}}_{\text{R}\text{e}\text{x}}\left({{\updelta\:}}_{\text{a}\text{m}\text{i}\text{d}\text{e}}\right)\:\)value (6.5% difference, p < 0.001). Table 1 provides the mean GM (± SD) and mean WM (± SD) contrast values for all participants.
( A) Axial T1-weighted slice of the brain of a healthy participant corresponding to the center of the 3D CEST volume (slice 4). The same T1-weighted axial image with overlayed, ( B) segmented gray matter (blue), white matter (red), and cerebrospinal fluid (yellow) regions of interest; ( C) amine/amide concentration independent detect (AACID) thresholded contrast map; ( D) Amide* thresholded contrast map; ( E)\(\:{\text{M}\text{T}\text{R}}_{\text{R}\text{e}\text{x}}\left({{\updelta\:}}_{\text{a}\text{m}\text{i}\text{d}\text{e}}\right)\:\)thresholded contrast map, and (F)\(\:{\text{M}\text{T}\text{R}}_{\text{R}\text{e}\text{x}}\left({{\updelta\:}}_{\text{N}\text{O}\text{E}}\right)\:\)thresholded contrast map.
Mean values (with standard deviation) for all four contrasts for gray matter (GM) and white matter (WM) (n = 24, 12 subjects, 2 timepoints). Amine/amide concentration independent detection (AACID) and \(\:{\text{M}\text{T}\text{R}}_{\text{R}\text{e}\text{x}}\left({{\updelta\:}}_{\text{N}\text{O}\text{E}}\right)\:\) WM values are significantly greater than GM. \(\:{\text{M}\text{T}\text{R}}_{\text{R}\text{e}\text{x}}\left({{\updelta\:}}_{\text{a}\text{m}\text{i}\text{d}\text{e}}\right)\:\)and Amide* GM values are significantly greater than WM. ****p < 0.0001, ***p < 0.001.
Reproducibility in gray matter and white matter
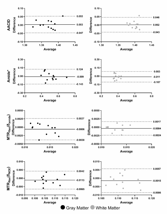
Figure 3 shows all the CEST contrast maps from one healthy participant from both the first scan and second scan for the same slice. Visually, the similarities between the two scans in both the GM and WM tissue is apparent for the calculated contrasts, with Amide* demonstrating the most visual differences. Figure 4 provides histograms of the distribution of all CEST contrast measurements in GM (top) and WM (bottom) for the same healthy participant showing the initial scan and second scan overlayed. Bland-Altman plots (Fig. 5) revealed negligible biases in all CEST contrasts.
Axial CEST contrast maps of one slice (corresponding to the center of the 3D volume) of one healthy participant. Amine/amide concentration independent detection (AACID), Amide*, MTRRex(δamide), and MTRRex(δNOE) maps of the same healthy participant for the first scan (left column) and second scan (right column), overlayed onto the corresponding T1-weighted axial slice (each scan approximately 10 days apart).
Histograms of the four different calculated contrasts of one healthy participant (amine/amide concentration independent detection (AACID), Amide*, \(\:{\text{M}\text{T}\text{R}}_{\text{R}\text{e}\text{x}}\left({{\updelta\:}}_{\text{a}\text{m}\text{i}\text{d}\text{e}}\right)\), and \(\:{\text{M}\text{T}\text{R}}_{\text{R}\text{e}\text{x}}\left({{\updelta\:}}_{\text{N}\text{O}\text{E}}\right)\)) for both the scan (blue) and rescan (red) conditions. The top row shows the histograms for the gray matter region-of-interests (ROIs), while the bottom row shows the histograms for the white matter ROIs. The overlap of the two scans is demonstrated in the intermediate shading (purple), demonstrating the reproducibility between scans for all calculated contrasts.
Bland-Altman plots depict the average of the scan and rescan mean values and the difference between the scan and rescan mean values for all contrasts and for both gray and white matter (n = 12). The solid black lines represent the mean bias, and the dotted black lines represent the ± 1.96 standard deviation lines.
Between-subject reproducibility of all CEST contrasts was characterized using between-subject CV. Figure 6A demonstrates the between-subject CV of the different CEST contrasts for both GM and WM. AACID between-subject CV was 2.1% for GM compared to 1.2% for WM. In comparison, \(\:{\text{M}\text{T}\text{R}}_{\text{R}\text{e}\text{x}}\left({{\updelta\:}}_{\text{a}\text{m}\text{i}\text{d}\text{e}}\right)\:\)demonstrated a between-subject CV for GM of 15.2% and a CV of 12.6% for WM. \(\:{\text{M}\text{T}\text{R}}_{\text{R}\text{e}\text{x}}\left({{\updelta\:}}_{\text{N}\text{O}\text{E}}\right)\:\)GM between-subject CV was 4.2% compared to 3.4% for WM. Finally, Amide* showed a between-subject CV in GM of 17.3% and 10.5% in WM.
(A) Mean between-subject coefficients of variation (CV) for each calculated contrast for both gray matter (GM) and white matter (WM). Between-subject CV values represent the mean ± standard error of the mean across the 12 participants (averaged over the two time points). (B) Mean within-subject CV for each calculated contrast for both GM and WM. Within-subject CV values represent the mean ± standard error of the mean between the two time points (averaged across the 12 participants). (C) Mean percent difference for each calculated contrast for both GM and WM. Percent difference represents the mean ± standard error of the mean between the two time points (averaged across the 12 participants).
Within-subject reproducibility for all CEST contrasts was characterized using both within-subject CV and percent difference. Figure 6B shows the within-subject CV of all CEST contrasts for both GM and WM. Within-subject CV for AACID was 1.2% for GM and 0.8.% for WM. Within-subject CV for \(\:{\text{M}\text{T}\text{R}}_{\text{R}\text{e}\text{x}}\left({{\updelta\:}}_{\text{a}\text{m}\text{i}\text{d}\text{e}}\right)\:\)was 6.2% for GM and 4.2% for WM. Within-subject CV for \(\:{\text{M}\text{T}\text{R}}_{\text{R}\text{e}\text{x}}\left({{\updelta\:}}_{\text{N}\text{O}\text{E}}\right)\:\)was 1.6% for GM and 2.0% for WM. Finally, Amide* demonstrated within-subject CV of 8.0% for GM and 7.5%. for WM. Figure 6C illustrates the percent difference between the timepoints for all subjects in GM and WM showing all CEST contrasts. For GM, the lowest percent difference was 1.4% for AACID and 2.2% for \(\:{\text{M}\text{T}\text{R}}_{\text{R}\text{e}\text{x}}\left({{\updelta\:}}_{\text{N}\text{O}\text{E}}\right)\), followed by \(\:{\text{M}\text{T}\text{R}}_{\text{R}\text{e}\text{x}}\left({{\updelta\:}}_{\text{a}\text{m}\text{i}\text{d}\text{e}}\right)\:\)with percent difference of 8.8%, and Amide* with percent difference of 11.3%. For WM, lowest percent difference was 1.2% for AACID and 2.8% for \(\:{\text{M}\text{T}\text{R}}_{\text{R}\text{e}\text{x}}\left({{\updelta\:}}_{\text{N}\text{O}\text{E}}\right)\), followed by \(\:{\text{M}\text{T}\text{R}}_{\text{R}\text{e}\text{x}}\left({{\updelta\:}}_{\text{a}\text{m}\text{i}\text{d}\text{e}}\right)\:\)with percent difference of 5.6%, and Amide* with percent difference of 10.6%. There were no significant differences in reproducibility between GM and WM for between-subject CV, within-subject CV, or percent difference.
Discussion
The goal of this study was to measure the reproducibility of four common CEST contrasts in the brain of healthy subjects at 3T, which were acquired within a clinically feasible scan time (< 4 min). Overall, scan-rescan variability within the same subject (within-subject CV and percent difference) was consistently lower than the variability observed between different subjects (between-subject CV) for both GM and WM tissue. Furthermore, both between-subject and within-subject variability were similar in GM and WM for each of the different CEST contrasts; however, there were significant differences in the measured contrast between GM and WM for the four CEST contrasts. No biases were found between repeat measurements. Finally, AACID CEST and \(\:{\text{M}\text{T}\text{R}}_{\text{R}\text{e}\text{x}}\left({{\updelta\:}}_{\text{N}\text{O}\text{E}}\right)\:\)were the most reproducible imaging measurements at 3T in both GM and WM when imaging the top portion of the cerebrum, which includes both the frontal and parietal lobes. Interestingly, the reproducibility differed greatly between \(\:{\text{M}\text{T}\text{R}}_{\text{R}\text{e}\text{x}}\left({{\updelta\:}}_{\text{a}\text{m}\text{i}\text{d}\text{e}}\right)\:\)and Amide*, with \(\:{\text{M}\text{T}\text{R}}_{\text{R}\text{e}\text{x}}\) demonstrating greater reproducibility.
Consistent with previously published amide CEST studies30,31,32, it was found that both \(\:{\text{M}\text{T}\text{R}}_{\text{R}\text{e}\text{x}}\left({{\updelta\:}}_{\text{a}\text{m}\text{i}\text{d}\text{e}}\right)\:\)and Amide* had significantly higher signal in GM compared to WM. Similarly, the CEST-NOE signal (\(\:{\text{M}\text{T}\text{R}}_{\text{R}\text{e}\text{x}}\left({{\updelta\:}}_{\text{N}\text{O}\text{E}}\right))\:\)was found to be significantly greater in WM compared to GM, agreeing with previous literature30,32,33. The CEST amide signal arises primarily from mobile proteins and peptides34. Since GM contains a higher concentration of mobile proteins compared to WM21,35, it is reasonable to expect that the resultant amide CEST effect would be larger in GM. On the contrary, the CEST-NOE signal also has contributions from mobile lipids36, which have a higher concentration in WM37. A previous animal study of AACID found no significant AACID value differences between GM and WM in the mouse brain15. However, the current study in the human brain showed that AACID was significantly greater in WM compared to GM, albeit the magnitude of the difference was small (2.6% difference), indicating that WM has a lower pH than GM. The discrepancy may be due to differences in the composition or density of GM and WM in the mouse brain compared to the human brain or may be due to methodological limitations in the mouse brain analysis. Specifically, the very small WM strip in the mouse brain may have been susceptible to partial volume contamination from surrounding GM. Furthermore, experimental parameters were different between our current study and the previous AACID mouse brain experiment. The previous study was performed at the higher field strength of 9.4T and utilized a continuous wave RF saturation pulse of 1.5 µT with a fast-spin echo readout15. Due to these discrepancies in parameters, direct comparison of AACID measures is difficult. Interestingly, a 7T 31P MRS-MT study performed by Zhu et al. demonstrated that the measured intracellular pH of the GM (pH = 7.06) and WM (pH = 6.99) of the human brain did differ38. Although the magnitude of difference was small (~ 1%), it is consistent with the results found in the current study.
Previous studies have evaluated the reproducibility of APT-CEST in the brain17,18,19,20. A previous study performed by Wamelink et al. found that MTRasymm reproducibility was lower in the brain near regions with B0-inhomogeneity19. Lee et al. found that APT asymmetry reproducibility was higher in the supratentorial locations compared to the infratentorial locations, which they concluded was due to severe B0 inhomogeneities and susceptibility17. Wu et al. found that advanced metrics like \(\:{\text{M}\text{T}\text{R}}_{\text{R}\text{e}\text{x}}\left({{\updelta\:}}_{\text{a}\text{m}\text{i}\text{d}\text{e}}\right)\), produced better reproducibility compared to the simpler MTRasymm, which would be of importance when looking for the subtle differences in CEST contrast needed for clinical diagnosis or monitoring20. The results presented in this current study demonstrate that the more advanced metrics like MTRRex exhibit higher reproducibility compared to the more straightforward approach of Amide*. The Amide* measure relies on the clear delineation of the amide peak, so reproducibility is more affected by any B0 inhomogeneities21, as demonstrated in these previous MTRasymm studies.
Both the between-subject and within-subject reproducibility assessments demonstrated that AACID and \(\:{\text{M}\text{T}\text{R}}_{\text{R}\text{e}\text{x}}\left({{\updelta\:}}_{\text{N}\text{O}\text{E}}\right)\:\) measurements were the most reproducible. While the proton exchange rate is pH dependent, it is also a function of the bulk water T1-relaxation rate. Zaiss et al. introduced the concept of AREX and concluded that amide-CEST contrast in the brain is influenced by the inherent tissue water T1-relaxation properties22 and that a T1 correction is necessary to achieve measurements independent of T1. T1 differences have been observed in human GM and WM32,39, indicating the importance of a T1 correction to produce CEST contrasts that are more reflective of a metabolite of interest measure, rather than the T1-relaxation properties of the tissue. In the current study, T1-relaxation was not considered in any of the CEST contrast calculations, except AACID, which demonstrated the highest reproducibility of the calculated CEST contrasts. Since AACID utilizes a ratiometric approach as well as normalizes MT effects, AACID has been shown to have minimal dependence on temperature, bulk water T1-relaxation, and macromolecule concentration15,16. This is due to the assumption that bulk water T1-relaxation, temperature, and macromolecule concentration are the same for exchanging protons from both the amide and amine pools.
Interestingly, between-subject variability was also lowest for AACID and \(\:{\text{M}\text{T}\text{R}}_{\text{R}\text{e}\text{x}}\left({{\updelta\:}}_{\text{N}\text{O}\text{E}}\right)\:\)measurements, indicating that these contrasts may be the most robust for clinical application. Previous studies have also shown that these contrasts differ in some pathological conditions. Studies of \(\:{\text{M}\text{T}\text{R}}_{\text{R}\text{e}\text{x}}\left({{\updelta\:}}_{\text{N}\text{O}\text{E}}\right)\:\)have shown that at 3T in a glioma model, the tumour region was hypointense compared to the control region40. AACID studies at a higher magnetic field strength have also shown that in animal models of ischemia, AACID values are consistently higher (~ 5% difference) in regions of ischemia15, while in glioma models, AACID measurements are consistently lower in the tumour regions compared to controls16. Therefore, these contrasts, which have low between-subject variability within the same tissue type, may be suitable for clinical application to monitor changes due to pathological processes. In the context of employing CEST contrast for clinical diagnosis or treatment monitoring, the CEST contrasts with higher reproducibility could detect more subtle changes in brain tissue caused by various pathologies.
Amide* had lower within-subject reproducibility and higher between-subject variability compared to the other calculated CEST contrasts. While the Amide* method has the benefit of being simple, it seems to underestimate the full extent of the amide CEST effect41, lowering accuracy. The three offset measure relies on the clear delineation of the amide peak, so the spectrally sensitive low saturation powers are beneficial; however, this method is also more susceptible to B0 inhomogeneities21, even after WASSR correction. A study performed by Wu et al. also demonstrated that the simpler approach of amide MTRasymm had lower reproducibility compared to more advanced amide metrics20, agreeing with the results of this study. Also, in the current study, a pulse train with B1 amplitude of 0.5 µT was used. Using a low power allowed several CEST effects to be discerned and fitted using a multi-pool Lorentzian model. This approach is ideal when calculating \(\:{\text{M}\text{T}\text{R}}_{\text{R}\text{e}\text{x}}\), for both amide and NOE. Fitting allows the removal of confounding components, like direct water saturation and MT42, increasing the accuracy of the \(\:{\text{M}\text{T}\text{R}}_{\text{R}\text{e}\text{x}}\) measurements. This approach could explain why \(\:{\text{M}\text{T}\text{R}}_{\text{R}\text{e}\text{x}}\left({{\updelta\:}}_{\text{a}\text{m}\text{i}\text{d}\text{e}}\right)\:\)had greater reproducibility than Amide*. The overall higher within- and between-subject CV value and percent difference of the \(\:{\text{M}\text{T}\text{R}}_{\text{R}\text{e}\text{x}}\left({{\updelta\:}}_{\text{N}\text{O}\text{E}}\right)\:\)contrast compared to \(\:{\text{M}\text{T}\text{R}}_{\text{R}\text{e}\text{x}}\left({{\updelta\:}}_{\text{a}\text{m}\text{i}\text{d}\text{e}}\right)\:\)is likely due to the larger NOE effect compared to the amide effect at low saturation power levels used in the current study, which increased labelling of the NOE pool compared to the amide pool43. Previous studies have also demonstrated that low-power NOE-CEST has larger observed effects at 3T compared to amide CEST30,44. This leads to a higher signal-to-noise (SNR) for the NOE effect in comparison to the amide effect, contributing to the reproducibility differences between \(\:{\text{M}\text{T}\text{R}}_{\text{R}\text{e}\text{x}}\left({{\updelta\:}}_{\text{N}\text{O}\text{E}}\right)\:\)and \(\:{\text{M}\text{T}\text{R}}_{\text{R}\text{e}\text{x}}\left({{\updelta\:}}_{\text{a}\text{m}\text{i}\text{d}\text{e}}\right)\). It should be noted that visually, CSF had high variability compared to both WM and GM (see Figs. 1 and 3). However, the reproducibility within CSF was not quantified in this study as the study performed by Wu et al. demonstrated low within- and between-subject reproducibility in the central CSF20.
Limitations
The current study investigated reproducibility only within a four cm thick 3D volume of tissue positioned to include the upper portion of the cerebrum, containing the frontal and parietal lobes. Future reproducibility measurements should include more inferior regions and deep brain structures by performing whole-brain 3D CEST. While reproducibility was favourable in the current study, reproducibility may be lower in some regions of the brain with lower SNR or greater B0-inhomogeneities, for example in areas around the sinuses and ear cavities, like the orbitofrontal cortex45. Robust B0-inhomogeneity correction would be of upmost importance when extending the coverage to full brain. Furthermore, while no B1-inhomogeneity correction was performed in this current study due to the small variation across the volume (~ 3%), extending coverage to the whole brain may also require B1 correction to be incorporated.
There were several limitations related to the generation of each CEST contrast. First, a low-power pulse train with B1,rms = 0.5 µT was used in the current study. This amplitude was chosen based on a previous optimization performed in both egg white phantoms and the human brain at 3T23, where the amide signal Lorentzian fit amplitude was maximized. This previous study demonstrated a significant relationship between AACID and pH when using this low amplitude saturation power and field strength, indicating that pH-weighted AACID measurements can be achieved using this saturation scheme23. Slow-exchanging pools, like amide pools, show greater spectral selectivity and detection sensitivity at lower saturation powers30,44, which also limits the MT effect and direct water saturation42 and is beneficial for fitting-based approaches. However, a limitation of the current study is that the B1 amplitude was optimized based on the amide fit amplitude and was not optimized for each contrast. In addition, asymmetry analysis was not performed due to the low power chosen, which causes NOE to be a confounding factor in the contrast calculation. Even with low B1 saturation power and high duty cycle, there is potential for overlap in the amide and amine peaks. This could affect the reproducibility of the \(\:{\text{M}\text{T}\text{R}}_{\text{R}\text{e}\text{x}}\left({{\updelta\:}}_{\text{a}\text{m}\text{i}\text{d}\text{e}}\right)\:\)contrast and the pH sensitivity of the AACID measurement. Performing this study at higher field strengths like 7T would be beneficial due to increased spectral dispersion. While the AACID measurements had minimal dependence on T1-relaxation, the other CEST contrast measurements were potentially affected by T1, which might also impact their reproducibility. Incorporating relaxation corrections could lead to more accurate quantification due to the mitigation of errors arising from variations in relaxation times between different tissues, subjects, and time points22. Incorporating AREX22 has been shown to be more sensitive to metabolite concentration and exchange rate without the confounding effects from MT- and T1-relaxation22,39 and only a T1 map is needed to implement this correction. Incorporating this correction may improve the reproducibility and reliability of the other contrasts, especially the amide CEST contrasts. Finally, Amide* relies on clear delineation of the raw data amide peak21, which is easier to distinguish at a higher magnetic field strength. Although all contrasts benefit from higher magnetic field acquisition, the reproducibility of this contrast would likely benefit most.
The spatial resolution of the CEST images (in-plane resolution of 2.0 × 2.0 mm) should also be improved in future studies to mitigate partial volume effects at the junction between the GM, WM, and CSF. Although the regions were automatically segmented using the anatomical image and transformed to CEST space, CEST space ROIs could have included some mixed tissue contributions at the ROI edges. Lastly, this study only measured the reproducibility in young participants at two time points on the same scanner. Increasing the number of repeated measures and extending the measurements to healthy older participants would provide a more robust measure of reproducibility. Reproducibility between scanners/vendors is also of interest when aiming for clinical implementation, as scanning on the same scanner is not always clinically feasible for follow up sessions.
Conclusion
AACID and \(\:{\text{M}\text{T}\text{R}}_{\text{R}\text{e}\text{x}}\left({{\updelta\:}}_{\text{N}\text{O}\text{E}}\right)\:\)measurements made using a 3D CEST sequence had the highest within-subject reproducibility for both GM and WM at the clinically relevant field strength of 3T. These contrasts could provide reliable measures of clinically relevant tissue characteristics associated with brain tissue pathologies.
Data availability
The datasets generated during and/or analysed during the current study are available from the corresponding author on reasonable request.
References
Sherry, A. D. & Woods, M. Chemical exchange saturation transfer contrast agents for magnetic resonance imaging. Annu. Rev. Biomed. Eng. 10, 391–411. https://doi.org/10.1146/annurev.bioeng.9.060906.151929 (2008).
Van Zijl, P. C. M. & Yadav, N. N. Chemical exchange saturation transfer (CEST): what is in a name and what isn’t? Magn. Reson. Med. 65, 927–948. https://doi.org/10.1002/mrm.22761 (2011).
Chen, L. et al. Protein aggregation linked to Alzheimer’s disease revealed by saturation transfer MRI. Neuroimage 188, 380–390. https://doi.org/10.1016/j.neuroimage.2018.12.018 (2019).
Harston, G. W. et al. Identifying the ischaemic penumbra using pH-weighted magnetic resonance imaging. Brain 138, 36–42. https://doi.org/10.1093/brain/awu374 (2015).
Heo, H. Y. et al. Whole-brain amide proton transfer (APT) and nuclear overhauser enhancement (NOE) imaging in glioma patients using low-power steady-state pulsed chemical exchange saturation transfer (CEST) imaging at 7T. J. Magn. Reson. Imaging 44, 41–50. https://doi.org/10.1002/jmri.25108 (2016).
Jiang, S. et al. Molecular MRI differentiation between primary central nervous system lymphomas and high-grade gliomas using endogenous protein-based amide proton transfer MR imaging at 3 Tesla. Eur. Radiol. 26, 64–71. https://doi.org/10.1007/s00330-015-3805-1 (2016).
Mehrabian, H., Desmond, K. L., Soliman, H., Sahgal, A. & Stanisz, G. J. Differentiation between radiation necrosis and tumor progression using chemical exchange saturation transfer. Clin. Cancer Res. 23, 3667–3675. https://doi.org/10.1158/1078-0432.Ccr-16-2265 (2017).
Mehrabian, H., Myrehaug, S., Soliman, H., Sahgal, A. & Stanisz, G. J. Evaluation of glioblastoma response to therapy with chemical exchange saturation transfer. Int. J. Radiat. Oncol. Biol. Phys. 101, 713–723. https://doi.org/10.1016/j.ijrobp.2018.03.057 (2018).
Meissner, J. E. et al. Early response assessment of glioma patients to definitive chemoradiotherapy using chemical exchange saturation transfer imaging at 7 T. J. Magn. Reson. Imaging 50, 1268–1277. https://doi.org/10.1002/jmri.26702 (2019).
Yu, H. et al. Can amide proton transfer-weighted imaging differentiate tumor grade and predict Ki-67 proliferation status of meningioma? Eur. Radiol. 29, 5298–5306. https://doi.org/10.1007/s00330-019-06115-w (2019).
Jiang, S. et al. Predicting IDH mutation status in grade II gliomas using amide proton transfer-weighted (APTw) MRI. Magn. Reson. Med. 78, 1100–1109. https://doi.org/10.1002/mrm.26820 (2017).
Paech, D. et al. Relaxation-compensated amide proton transfer (APT) MRI signal intensity is associated with survival and progression in high-grade glioma patients. Eur. Radiol. 29, 4957–4967. https://doi.org/10.1007/s00330-019-06066-2 (2019).
Paech, D. et al. Assessing the predictability of IDH mutation and MGMT methylation status in glioma patients using relaxation-compensated multipool CEST MRI at 7.0 T. Neuro Oncol. 20, 1661–1671. https://doi.org/10.1093/neuonc/noy073 (2018).
Overhauser, A. W. Polarization of nuclei in metals. Phys. Rev. 92, 411–415. https://doi.org/10.1103/PhysRev.92.411 (1953).
McVicar, N. et al. Quantitative tissue pH measurement during cerebral ischemia using amine and amide concentration-independent detection (AACID) with MRI. J. Cereb. Blood Flow. Metab. 34, 690–698. https://doi.org/10.1038/jcbfm.2014.12 (2014).
McVicar, N., Li, A. X., Meakin, S. O. & Bartha, R. Imaging chemical exchange saturation transfer (CEST) effects following tumor-selective acidification using lonidamine. NMR Biomed. 28, 566–575. https://doi.org/10.1002/nbm.3287 (2015).
Lee, J. B. et al. Repeatability of amide proton transfer-weighted signals in the brain according to clinical condition and anatomical location. Eur. Radiol. 30, 346–356. https://doi.org/10.1007/s00330-019-06285-7 (2020).
Togao, O. et al. Scan-rescan reproducibility of parallel transmission based amide proton transfer imaging of brain tumors. J. Magn. Reson. Imaging 42, 1346–1353. https://doi.org/10.1002/jmri.24895 (2015).
Wamelink, I. et al. Reproducibility of 3 T APT-CEST in healthy volunteers and patients with brain glioma. J. Magn. Reson. Imaging 57, 206–215. https://doi.org/10.1002/jmri.28239 (2023).
Wu, Y. et al. Reproducibility of APT-weighted CEST-MRI at 3T in healthy brain and tumor across sessions and scanners. Sci. Rep. 13, 18115. https://doi.org/10.1038/s41598-023-44891-0 (2023).
Jin, T., Wang, P., Zong, X. & Kim, S. G. MR imaging of the amide-proton transfer effect and the pH-insensitive nuclear overhauser effect at 9.4 T. Magn. Reson. Med. 69, 760–770. https://doi.org/10.1002/mrm.24315 (2013).
Zaiss, M. et al. Inverse Z-spectrum analysis for spillover-, MT-, and T1 -corrected steady-state pulsed CEST-MRI–application to pH-weighted MRI of acute stroke. NMR Biomed. 27, 240–252. https://doi.org/10.1002/nbm.3054 (2014).
Cronin, A. E., Liebig, P., Detombe, S. A., Duggal, N. & Bartha, R. Reproducibility of 3D pH-weighted chemical exchange saturation transfer contrast in the healthy cervical spinal cord. NMR Biomed. 37, e5103. https://doi.org/10.1002/nbm.5103 (2024).
Kim, M., Gillen, J., Landman, B. A., Zhou, J. & van Zijl, P. C. Water saturation shift referencing (WASSR) for chemical exchange saturation transfer (CEST) experiments. Magn. Reson. Med. 61, 1441–1450. https://doi.org/10.1002/mrm.21873 (2009).
Lutkenhoff, E. S. et al. Optimized brain extraction for pathological brains (optiBET). PLoS ONE 9, e115551. https://doi.org/10.1371/journal.pone.0115551 (2014).
Breitling, J. et al. Adaptive denoising for chemical exchange saturation transfer MR imaging. NMR Biomed. 32, e4133. https://doi.org/10.1002/nbm.4133 (2019).
Zhang, S. et al. Z-spectrum appearance and interpretation in the presence of fat: influence of acquisition parameters. Magn. Reson. Med. 79, 2731–2737. https://doi.org/10.1002/mrm.26900 (2018).
Haris, M. et al. A technique for in vivo mapping of myocardial creatine kinase metabolism. Nat. Med. 20, 209–214. https://doi.org/10.1038/nm.3436 (2014).
Cai, K. et al. CEST signal at 2ppm (CEST@2ppm) from Z-spectral fitting correlates with creatine distribution in brain tumor. NMR Biomed. 28, 1–8. https://doi.org/10.1002/nbm.3216 (2015).
Deshmane, A. et al. 3D gradient echo snapshot CEST MRI with low power saturation for human studies at 3T. Magn. Reson. Med. 81, 2412–2423. https://doi.org/10.1002/mrm.27569 (2019).
Dula, A. N. et al. Development of chemical exchange saturation transfer at 7T. Magn. Reson. Med. 66, 831–838. https://doi.org/10.1002/mrm.22862 (2011).
Khlebnikov, V. et al. Is there any difference in Amide and NOE CEST effects between white and gray matter at 7T? J. Magn. Reson. Imaging 272, 82–86. https://doi.org/10.1016/j.jmr.2016.09.010 (2016).
Jones, C. K. et al. Nuclear Overhauser enhancement (NOE) imaging in the human brain at 7T. Neuroimage 77, 114–124. https://doi.org/10.1016/j.neuroimage.2013.03.047 (2013).
Zhou, J., Payen, J. F., Wilson, D. A., Traystman, R. J. & van Zijl, P. C. Using the amide proton signals of intracellular proteins and peptides to detect pH effects in MRI. Nat. Med. 9, 1085–1090. https://doi.org/10.1038/nm907 (2003).
Xu, X. et al. Magnetization transfer contrast-suppressed imaging of amide proton transfer and relayed nuclear overhauser enhancement chemical exchange saturation transfer effects in the human brain at 7T. Magn. Reson. Med. 75, 88–96. https://doi.org/10.1002/mrm.25990 (2016).
Zu, Z. et al. Relayed nuclear overhauser enhancement sensitivity to membrane Cho phospholipids. Magn. Reson. Med. 84, 1961–1976. https://doi.org/10.1002/mrm.28258 (2020).
O’Brien, J. S. & Sampson, E. L. Lipid composition of the normal human brain: gray matter, white matter, and myelin. J. Lipid Res. 6, 537–544 (1965).
Zhu, X. H. et al. Quantitative imaging of energy expenditure in human brain. Neuroimage 60, 2107–2117. https://doi.org/10.1016/j.neuroimage.2012.02.013 (2012).
O’Grady, K. P. et al. Relaxation-compensated Chemical Exchange Saturation transfer MRI in the brain at 7T: application in relapsing-remitting multiple sclerosis. Front. Neurol. 13, 764690. https://doi.org/10.3389/fneur.2022.764690 (2022).
Wu, Y. et al. 3D APT and NOE CEST-MRI of healthy volunteers and patients with non-enhancing glioma at 3 T. Magn. Reson. Mater. Phys. Biol. Med. 35, 63–73. https://doi.org/10.1007/s10334-021-00996-z (2022).
Zhang, X. Y. et al. Accuracy in the quantification of chemical exchange saturation transfer (CEST) and relayed nuclear Overhauser enhancement (rNOE) saturation transfer effects. NMR Biomed. 30, e3716. https://doi.org/10.1002/nbm.3716 (2017).
van Zijl, P. C. M., Lam, W. W., Xu, J., Knutsson, L. & Stanisz, G. J. Magnetization transfer contrast and chemical exchange saturation transfer MRI. Features and analysis of the field-dependent saturation spectrum. Neuroimage 168, 222–241. https://doi.org/10.1016/j.neuroimage.2017.04.045 (2018).
Zhou, Y., Bie, C. & van Zijl, P. C. M. Yadav, N. N. The relayed nuclear overhauser effect in magnetization transfer and chemical exchange saturation transfer MRI. NMR Biomed. 36, e4778. https://doi.org/10.1002/nbm.4778 (2023).
Desmond, K. L. et al. Chemical exchange saturation transfer for predicting response to stereotactic radiosurgery in human brain metastasis. Magn. Reson. Med. 78, 1110–1120. https://doi.org/10.1002/mrm.26470 (2017).
Jones, C. K. et al. Amide proton transfer imaging of human brain tumors at 3T. Magn. Reson. Med. 56, 585–592. https://doi.org/10.1002/mrm.20989 (2006).
Acknowledgements
The authors thank all participants for their contribution to this project. We also thank Scott Charlton and Oksana Opalevych (CFMM, Robarts Research Institute, Western University) for facilitating MRI acquisitions.
Funding
NSERC Discovery Grant (RGPIN/05290 -2020), Canada First Research Excellence Fund (BrainsCAN—https://brainscan.uwo.ca/). A.E. Cronin was supported in part by the NSERC Canada Graduate Scholarships Doctoral (CGS-D) program.
Author information
Authors and Affiliations
Contributions
A.E.C.: investigation, analysis, interpretation of data, writing the original draft. P.L.: interpretation of data, writing-review and editing. S.A.D.: interpretation of data, writing-review and editing. N.D.: conceptualization, writing-review and editing, supervision. R.B.: conceptualization, interpretation of data, writing-review and editing, supervision.
Corresponding author
Ethics declarations
Competing interests
A.E.C., S.A.D., N.D., and R.B. report no disclosures. P.L. is currently employed by Siemens Healthcare GmbH, Germany.
Additional information
Publisher’s note
Springer Nature remains neutral with regard to jurisdictional claims in published maps and institutional affiliations.
Electronic supplementary material
Below is the link to the electronic supplementary material.
Rights and permissions
Open Access This article is licensed under a Creative Commons Attribution-NonCommercial-NoDerivatives 4.0 International License, which permits any non-commercial use, sharing, distribution and reproduction in any medium or format, as long as you give appropriate credit to the original author(s) and the source, provide a link to the Creative Commons licence, and indicate if you modified the licensed material. You do not have permission under this licence to share adapted material derived from this article or parts of it. The images or other third party material in this article are included in the article’s Creative Commons licence, unless indicated otherwise in a credit line to the material. If material is not included in the article’s Creative Commons licence and your intended use is not permitted by statutory regulation or exceeds the permitted use, you will need to obtain permission directly from the copyright holder. To view a copy of this licence, visit http://creativecommons.org/licenses/by-nc-nd/4.0/.
About this article
Cite this article
Cronin, A.E., Liebig, P., Detombe, S.A. et al. Reproducibility of 3D chemical exchange saturation transfer (CEST) contrasts in the healthy brain at 3T. Sci Rep 14, 25637 (2024). https://doi.org/10.1038/s41598-024-75777-4
Received:
Accepted:
Published:
Version of record:
DOI: https://doi.org/10.1038/s41598-024-75777-4
Keywords
This article is cited by
-
The Pulseq-CEST Library: definition of preparations and simulations, example data, and example evaluations
Magnetic Resonance Materials in Physics, Biology and Medicine (2025)








