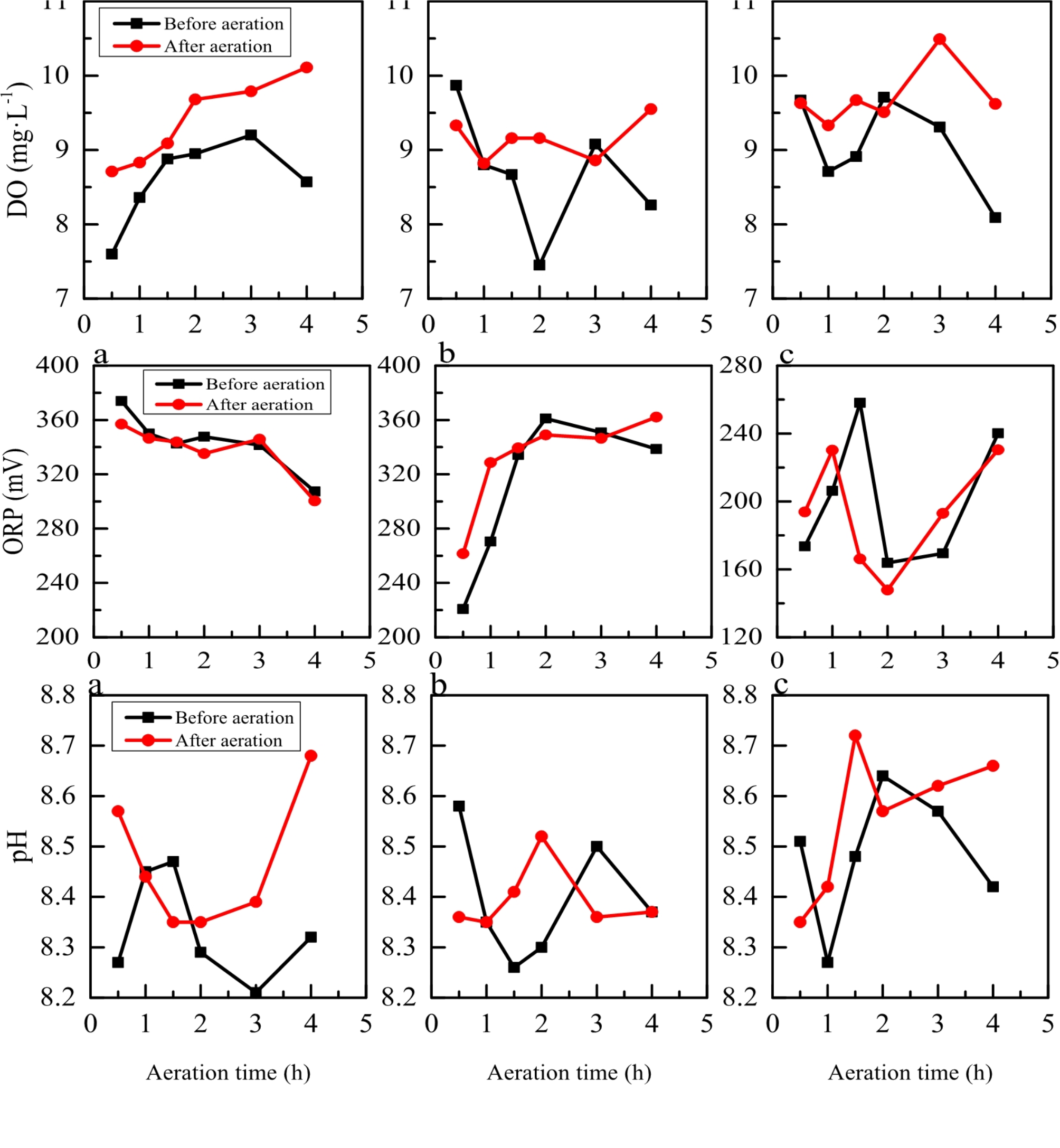
Fig. 2

Effects of aeration on DO, ORP and pH of water. (a) aeration rate of 2.4 L min−1; (b) aeration rate of 3.4 L min−1 and (c) aeration rate of 4.4 L min−1.

Effects of aeration on DO, ORP and pH of water. (a) aeration rate of 2.4 L min−1; (b) aeration rate of 3.4 L min−1 and (c) aeration rate of 4.4 L min−1.