Fig. 3
From: Machine learning for precision diagnostics of autoimmunity

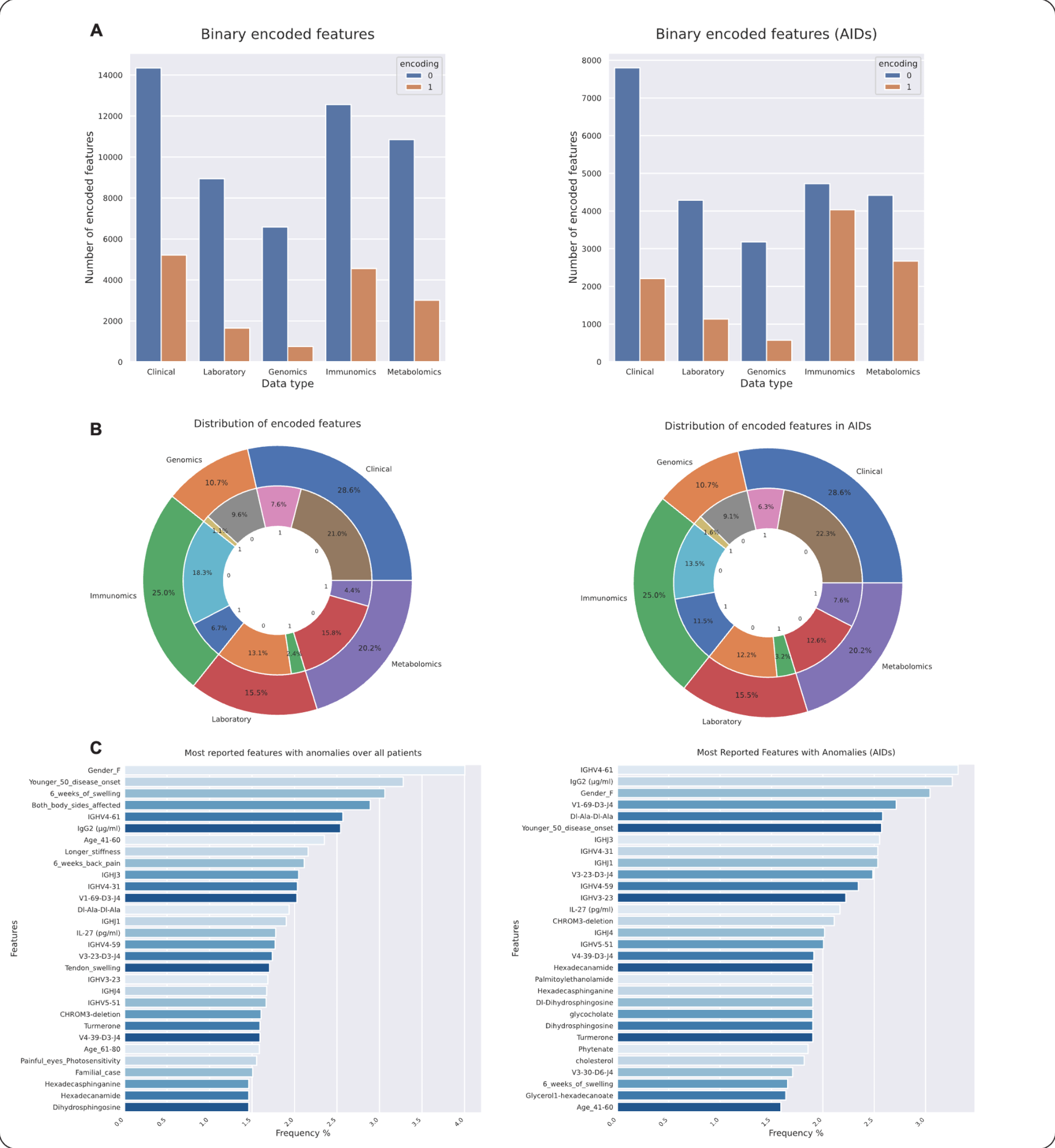
Encoding of integrated clinical, laboratory and multi-omics data. (A) After binary encoding, the retrieved characteristics exhibited a comparable pattern of normally distributed values “0” in the 5–95th percentile and potentially disease-relevant values (anomalies) “1” in the < 5th and > 95th percentile across all data categories. (B) Clinical data, immunomics, and metabolomics revealed a prevalence of “1” encoded values. Genomics and laboratory data on the other hand were observed to be rather rare across all patients. (C) Although laboratory results within < 5th and > 95th percentile were seldom detected overall within the top 15 features, some of these were among the highly ranked features in samples classified as autoimmune.