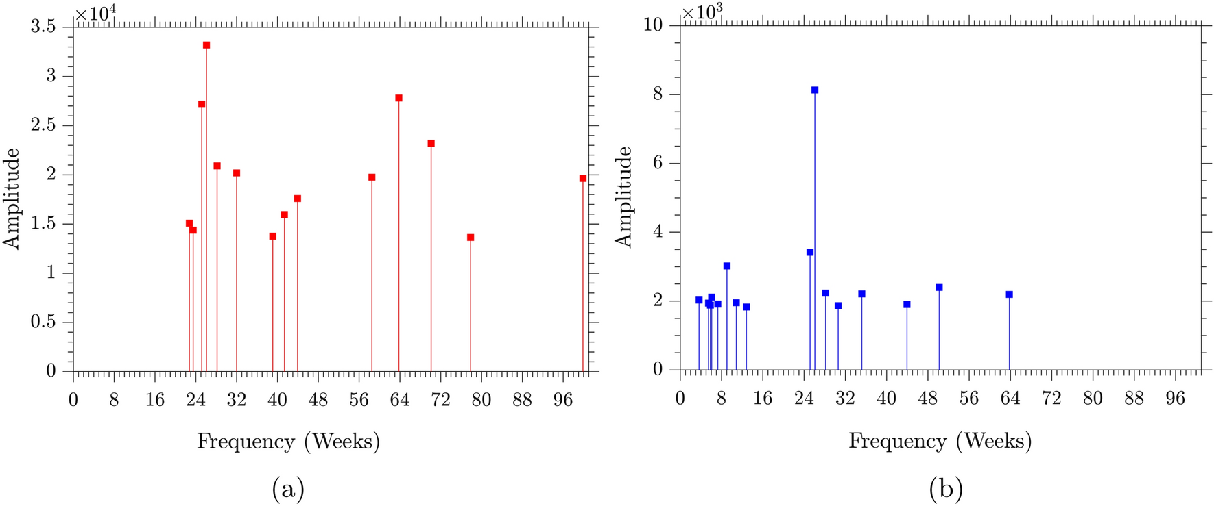
Fig. 2

Periodicity of dengue and rainfall variations. Amplitudes are highest for 26 weeks in both (a) dengue (amplitude is 8133.34) and (b) rainfall (amplitude is 33192.65).

Periodicity of dengue and rainfall variations. Amplitudes are highest for 26 weeks in both (a) dengue (amplitude is 8133.34) and (b) rainfall (amplitude is 33192.65).