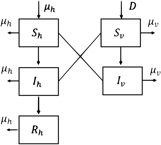
Fig. 3

Schematic diagram of transmission of the dengue virus between human (host) and mosquito (vector) populations. \(S_h\), \(I_h\), and \(R_h\) are the susceptible, infected, and recovered host populations respectively. \(S_v\) and \(I_v\) are the susceptible and infected vector populations respectively.