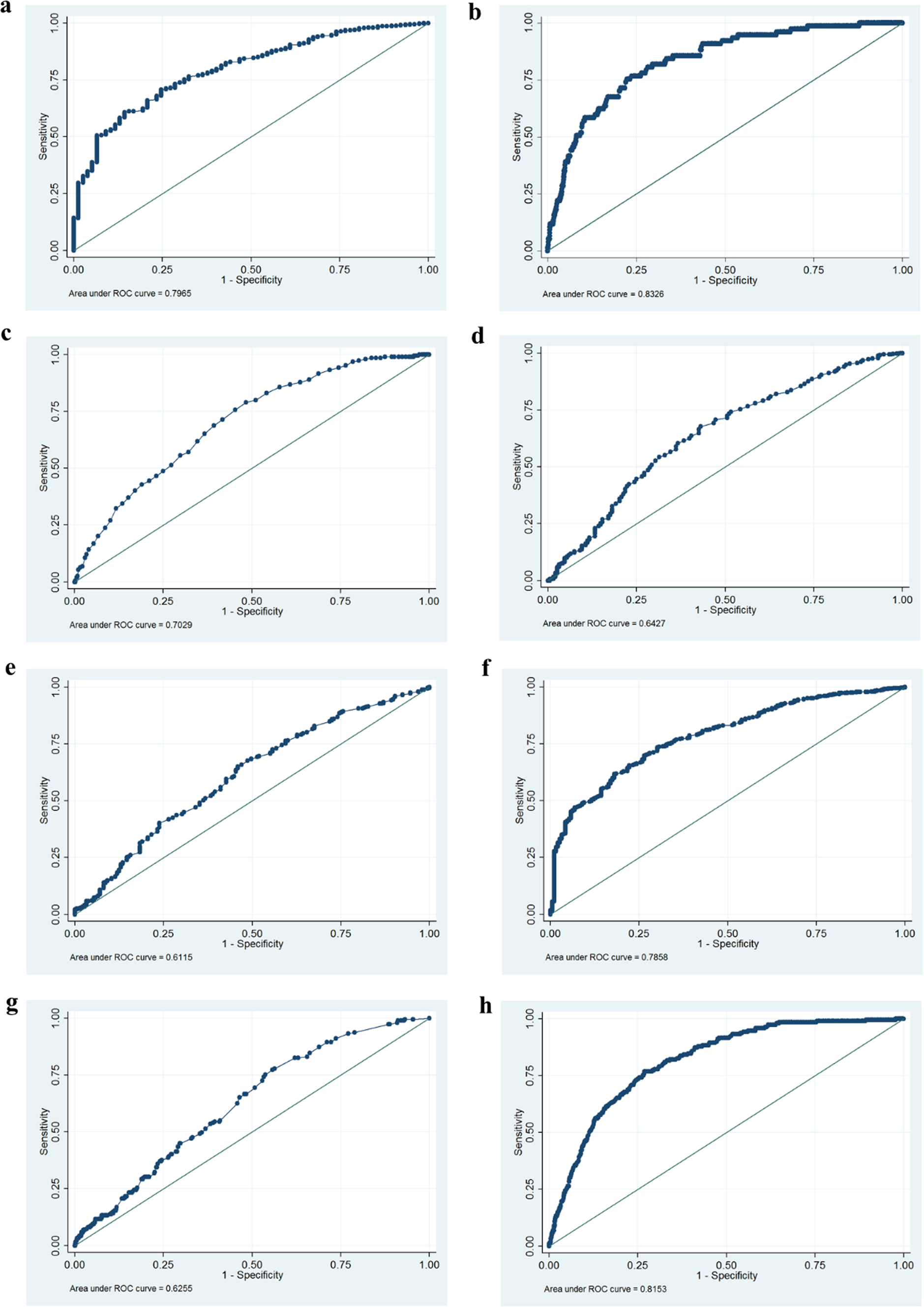
Fig. 2

Clinical predictors of bladder outlet obstruction (BOO) and detrusor underactivity (DU) were calculated by receiver operating characteristic (ROC) curve analysis. a The ROC curve analysis using the single predictor voided volume ≤ 220 mL derived from uroflowmetry to predict bladder outlet obstruction. b Prediction of BOO by logit(p). Combined the predicted logit transformation of the probability of BOO, logit(p), for a voided volume (mL, a) and the presence of symptoms of VD (0 or 1, b) can be denoted by logit(p) = -1.3–1.1 x a + 0.014 x b, with a cut-off value of logit(p) ≥ -2.9. The area under the ROC curve is 0.83(95% CI = 0.79 to 0.88, sensitivity = 75%, specificity = 77%). c The ROC curve analysis using the single predictor age ≥ 60 years old to predict detrusor underactivity (95% CI 0.67 to 0.74, sensitivity = 71%, specificity = 58%). d The ROC curve analysis using the single predictor maximum urethral closure pressure ≤ 50 cmH2O to predict detrusor underactivity. (95% CI 0.60 to 0.69, sensitivity = 68%, specificity = 57%). e The ROC curve analysis using the single predictor functional profile length ≤ 2.5 cmH2O to predict detrusor underactivity (95% CI 0.57 to 0.66, sensitivity = 68%, specificity = 51%). f The ROC curve analysis using the single predictor voided volume ≤ 200 mL to predict detrusor underactivity (95% CI 0.76 to 0.82, sensitivity = 69%, specificity = 74%). g The ROC curve analysis using the single predictor post-void residual ≥ 30 mL to predict detrusor underactivity (95% CI 0.59 to 0.66, sensitivity = 83%, specificity = 38%). h Prediction of DU by logit(p). The predicted logit transformation of the probability of DU, logit(p), for age (year-old, a) and voided volume (mL, b) can be denoted by logit(p) = -2.8 + 0.04 x a − 0.01 x b, with a cutoff value of logit(p) ≥ -2.3 and a ROC area of 0.82 ((95% CI 0.79 to 0.84, sensitivity = 76%, specificity = 73%).