Thank you for visiting nature.com. You are using a browser version with limited support for CSS. To obtain
the best experience, we recommend you use a more up to date browser (or turn off compatibility mode in
Internet Explorer). In the meantime, to ensure continued support, we are displaying the site without styles
and JavaScript.
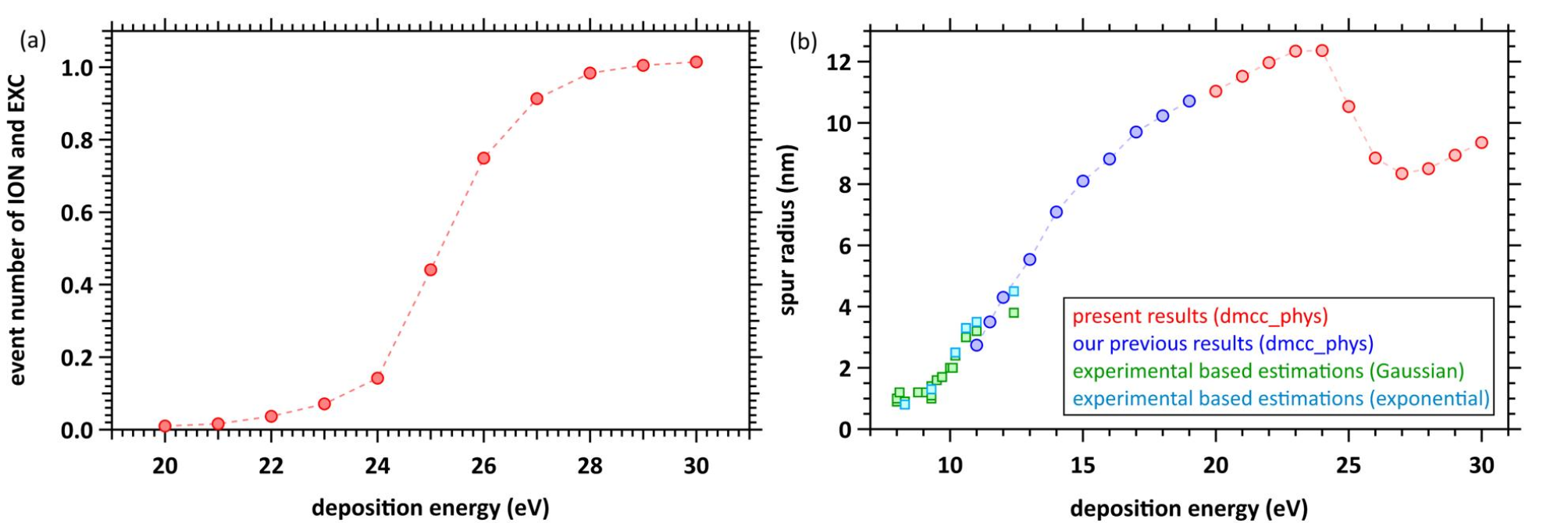
(a) Event number of ionisation and electronic excitation in the deposition energy region from 20 to 30 eV. (b) Spur radius of electrons in the deposition energy region from 8 to 30 eV. ☐; experimentally based estimation values11,12,13,14,15,16, 〇; our works (present and previous results48).