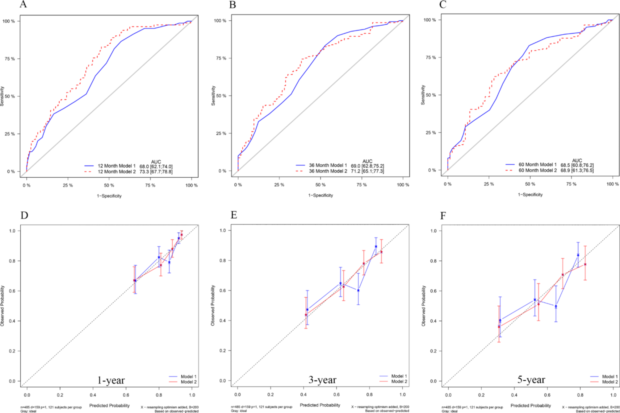
Fig. 5
From: The value of D-dimer in the prognosis of dilated cardiomyopathy: a retrospective cohort study

Comparison of ROC curve and calibration curve before and after adding D-dimer to the MAGGIC score scale. Notes: Model 1 represents the MAGGIC score scale, and Model 2 represents the “MAGGIC score scale + D-dimer”. (A, B, and C) are the ROC curves of the two models corresponding to 1-year, 3-year, and 5-year, respectively; (D, E, and F) are the calibration curves of the two models corresponding to 1 year, 3-year, and 5-year, respectively.