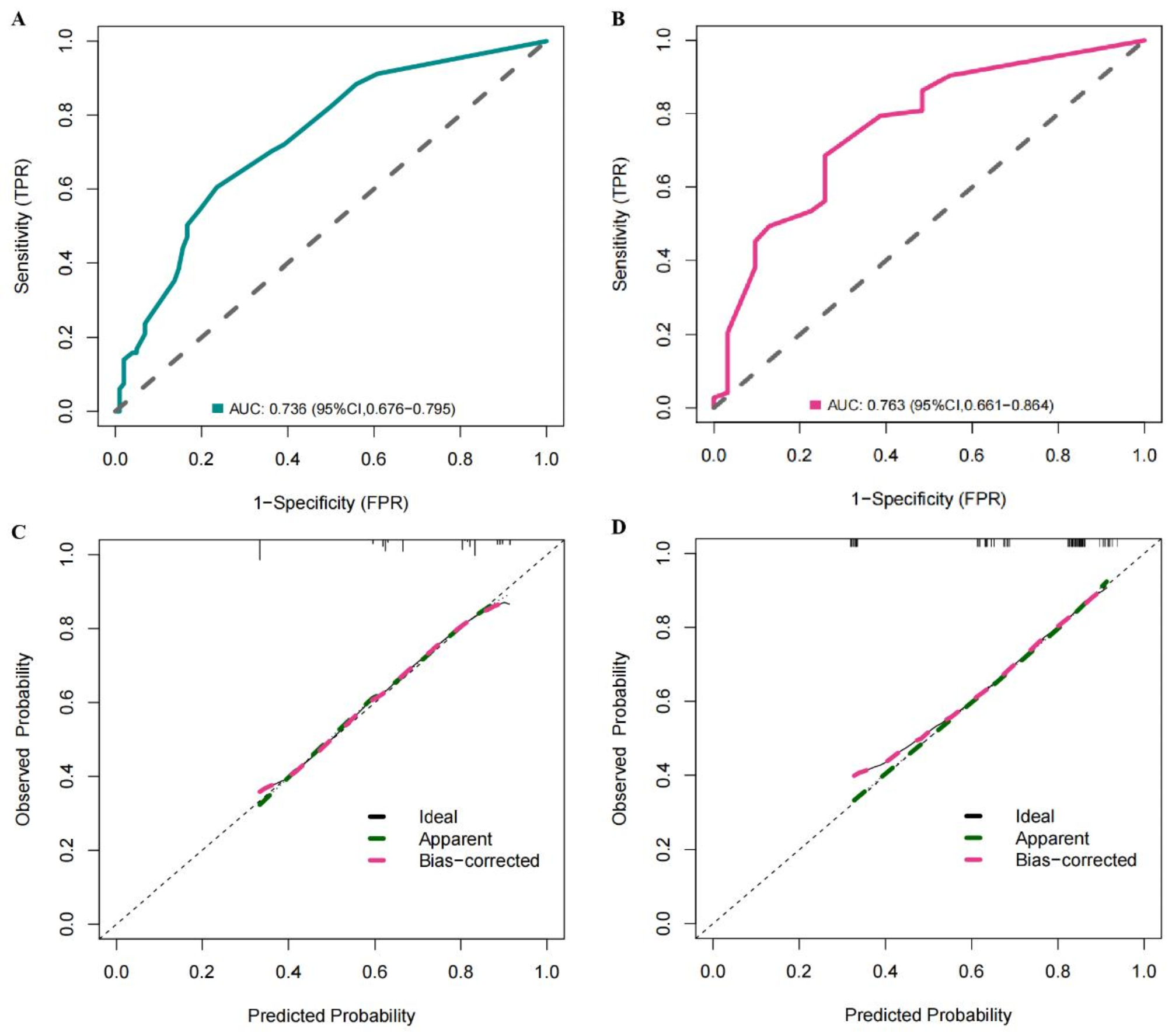
Fig. 3

Comparison of ROC curves and calibration curves for the nomogram in training dataset and the validation dataset. (A) and (B): ROC curves of the nomogram for the training dataset and for the validation dataset, respectively. The AUC of the nomogram was 0.736 for the training dataset. The AUC of the nomogram was 0.763 for the validation dataset. (C) and (D): Calibration curves of the nomogram for the training dataset and the validation dataset, respectively.