Abstract
Complicated urinary tract infection (cUTI) has higher incidences of antibiotic resistance, recurrence, chronicity, and progression. There exist differences in the immune functions, anatomical structures and physiological functions of urinary tract system between children and adults. In addition, the immature stage of hygiene habit development and the inability to express discomfort accurately all contribute to cUTI recurrence in pediatric patients. cUTI recurrence in children can lead to serious consequences such as growth and development delay, renal scars, and progression to end-stage kidney diseases. Despite the high incidence of cUTI recurrence, no predictive model currently exists to guide targeted intervention in pediatric patients. This study aimed to establish a nomogram to predict the risk of cUTI recurrence in children, thereby facilitating targeted prevention and treatment strategies in pediatric patients. The nomogram was developed based on a retrospective cohort that included 421 pediatric patients with cUTI at West China Second University Hospital from January 2020 to August 2023. The patients were randomly divided into a training set and a validation set in a 3:1 ratio. Logistic regression analysis was used to identify risk factors and construct the nomogram for predicting the risk of cUTI recurrence, followed by validation and performance analysis. Of the 421 children with cUTI, the recurrence rate of cUTI was 68.4% (288 cases) during an average follow-up duration of 22.9 months. The nomogram comprised female gender, history of urinary tract surgery, Escherichia coli in urine culture, renal dysfunction, and vesicoureteral reflux as predictors of cUTI recurrence in pediatric patients. The model showed favorable performance with C-index values of 0.735 and 0.750 in the training dataset and the validation dataset, respectively. The decision curve analysis revealed that the nomogram might be clinically useful. The reliable nomogram would be beneficial for clinicians to identify children with high risks of cUTI recurrence for targeted intervention.
Similar content being viewed by others
Introduction
Urinary tract infection (UTI) is an inflammatory condition resulting from the invasion of pathogenic bacteria into the urinary tract system. It is one of the common infectious diseases in children, second only to respiratory tract and digestive tract infections. Up to 7% of boys and 11% of girls will have UTI by the age of 16 years1, and 1.7% of boys and 8.4% of girls will experience UTI by the age of 7 years2,3. About 30% the pediatric patients with UTI experienced recurrent infections 6 to 12 months after their initial UTI4,5,6. Complicated urinary tract infections (cUTI) often occur in patients with structural or functional abnormalities of the genitourinary tract7,8. More than half of UTI patients have urinary tract abnormalities detected by ultrasound9. These congenital and acquired structural or functional abnormalities can affect the normal voiding of urine and even cause lesions (such as those caused urinary tract calculi). This situation leads to incomplete eradication of bacteria, thus increasing the risk of bacterial resistance and infection recurrence. If the underlying abnormalities are not corrected, a high recurrence rate of infection, approaching 50% by 4–6 weeks after the treatment of a prior infection, is expected10.Long term recurrent or persistent episodes of cUTI can lead to severe complications, such as growth and development delay, renal scars, adult hypertension, and end-stage renal disease. However, a convenient and effective model to predict the risk of cUTI recurrence is still lacking. Some studies focused on the risk factors for recurrence of UTI in children without an estimation of overall risk of recurrence11,12. Identifying risk factors for cUTI recurrence and constructing a clinical prediction model for cUTI recurrence are important for comprehensive disease management.
Nomogram is an easy and practical graphical tool to predict the risk of a disease, providing a reference for treatment and prognosis assessment. Some studies were published on predictive models for UTI, but they were constructed neither specifically for cUTI, for pediatric patients, nor for recurrence of cUTI13,14. Despite the high incidence of cUTI recurrence, no nomogram has been developed for predicting the risk of pediatric cUTI recurrence. This study summarized the clinical characteristics of 421 children with cUTI in our hospital over the past three years. Independent risk factors for the recurrence of cUTI in children were analyzed, and a novel nomogram was constructed to predict the risk of cUTI recurrence in children, thereby facilitating targeted prevention and treatment strategies in pediatric patients.
Materials and methods
Study population
Children who were diagnosed with cUTI during their first hospitalization at West China Second Hospital of Sichuan University from January 2020 to August 2023 were included as the study population, and their clinical data were collected. Specific inclusion criteria: (a) cases that met the diagnostic criteria for cUTI; (b) age < 18 years old. Specific exclusion criteria: (a) patients with incomplete data, including those with incomplete follow-up information: (b) patients with abnormal urination or azotemia caused by kidney diseases combined with UTI, i.e., patients with renal parenchymal diseases such as Henoch-Schonlein Purpura, lupus nephritis, primary IgA nephropathy, primary or secondary nephrotic syndrome, and acute or chronic glomerulonephritis. The reasons for the second exclusion criterium were as follows: The pathogenesis, clinical manifestations, and treatment strategies of renal parenchymal diseases combined with UTI differ from those of cUTI. In terms of pathogenesis, cUTI is mainly caused by structural or functional abnormalities of the urinary tract itself or the presence of foreign objects, which make bacteria and other pathogens easy to breed or difficult to eliminate, leading to persistent infection. However, UTI combined with renal parenchymal diseases mainly involve immune disorders and microenvironmental changes, which increase the susceptibility of the urinary tract to pathogens, resulting in UTI. In terms of clinical manifestations, cUTI is usually characterized by symptoms of the urinary tract system, while renal diseases combined with UTI often have renal disease manifestations such as hematuria, proteinuria, edema, etc., in addition to urinary tract symptoms, making clinical manifestations more complex. In terms of treatment strategies, cUTI is mainly treated by removing complicating factors combined with anti-infection therapy, while renal parenchymal diseases combined with UTI not only need anti-infection treatments, but also require treatments focusing on the renal diseases themselves, such as the use of glucocorticoids, immunosuppressants, etc.
This study was approved by the Ethics Committee of West China Second Hospital of Sichuan University (Medical Research Ethics Approval No. 005, 2024) and exempted from obtaining informed consents. All methods were performed in accordance with the relevant guidelines and regulations. We did not use Large Language Models.
Methods
Data collection
The following demographic and clinical data were collected from our hospital’s electronic medical record system and telephone follow-ups: age, gender, fetal ultrasound results, age at the first UTI occurrence, age at the first discovery of urinary tract structural abnormalities, history of urinary tract surgery, cUTI number, results of urine culture, renal function, urinary system ultrasound as well as voiding cystourethrography (VCUG), dimercaptosuccinic acid renal scintigraphy (DMSA), CT urography (CTU), magnetic resonance urography (MRU), and renal dynamic imaging in some patients based on their disease conditions. The follow up deadline was December 31, 2023.
Diagnosis criteria
cUTI is related to some conditions such as structural or functional abnormalities of the genitourinary tract, and undiagnosed upper or lower urinary tract diseases, which increase the risk of persistent infections and their recurrence15. The diagnosis criteria of UTI included: (a) quantitative bacterial colonies: ≥ 105 colony forming units (CFU)/ml in bacterial cloning formation test for clean-catch midstream urine; (b) white blood cell density in cell pellets after centrifugation of the clean-catch midstream urine: > 10 per high-power microscopic field, accompanied by symptoms of urinary tract infection including frequent urination, painful urination, dysuria, crying while urinating, cloudy urine, etc. Usually, if both criteria were met, a diagnosis of UTI was made. If the second criterium was not met, the urine culture would be repeated. UTI was confirmed if quantitative bacterial colonies were still ≥ 105 CFU/ml and the bacteria were the same species. For those who were difficult to collect urine samples, Gram-staining was performed for the cell pellets after centrifugation of clean-catch midstream urine. If the count of bacterial clones was > 1 per microscopic oil-field, and the patient had urinary tract infection symptoms, the diagnosis of UTI was also confirmed. Complicating factors included indwelling catheters, congenital diseases, urinary tract obstruction, anatomical abnormalities of the genitourinary tract, adjacent organ diseases, peri-operative or post-operative urinary tract infections including those after kidney transplantation15,16. If the criteria for UTI were met and there was at least one aforementioned complicating factor, the diagnosis of cUTI was made. cUTI recurrence referred to the occurrence of cUTI ≥ 2 times as of the end of the follow-up.
Among the complicating factors for cUTI, ureterectasis referred to the presence of ureteral dilation with a transverse diameter of the ureter > 5 mm indicated by imaging examinations such as ultrasound, CT, and magnetic resonance imaging of the urinary system. Neurogenic bladder referred to a disease in which the control mechanism of the lower urinary tract was disrupted by neuropathy. For children suspected of having neurogenic bladder due to various causes such as spinal cord thrombosis, inflammation, tumors, trauma, or anorectal malformation, urodynamic examination was performed for the diagnosis of neurogenic bladder after avoiding the acute phase of urinary tract infection or spinal shock.
Feature selection
The Least Absolute Shrinkage and Selection Operator (LASSO) regression algorithm was used for feature selection. The most useful predictive features were selected from the original dataset by using the LASSO method. The minimum tuning parameter (λ) for LASSO regression was selected through cross-validation.
In LASSO regression, some unnecessary variables are identified and eliminated from the model by adding penalty terms in the model estimation, and important variables enter the model, achieving the purpose of variable screening and ensuring the simplicity and stability of the model. The LASSO method has the advantage in selecting variables with high interpretability or significant impact on the dependent variables, as well as in solving the problem of multicollinearity between independent variables.
Statistical methods
IBM SPSS 27.0 or R language (version 4.3) statistical software was used for the data processing and analysis. For a normal distribution of continuous variables, mean ± standard deviation was presented, and the inter-group differences were analyzed using independent sample t-test. For a non-normal distribution of continuous variables, median (inter-quartile range) was presented, and the inter-group differences were analyzed using Wilcoxon rank-sum test. Categorical data were described using case numbers (percentages), and inter-group comparisons were conducted using either the chi-square test or Fisher’s exact probability method. LASSO regression was used for variable selection, and the logistic regression analysis was used to explore the risk factors for cUTI recurrence in children. The RMS package of R language was used to generate the nomogram of the predictive model, and the model was evaluated by receiver operating characteristic (ROC) curve, calibration curve, C-index, Hosmer-Lemeshow goodness of fit test, and decision curve analysis (DCA). A p-value < 0.05 indicated a statistically significant difference.
Results
Demographic characteristics
Four hundreds and thirty pediatric patients with cUTI met the inclusion criteria, and 9 patients with incomplete clinical data were excluded. Finally, 421 children with cUTI were included in this study. Of the included patients, 255 were males (60.6%), and 166 were females (39.4%); and the ratio of the males to the females were 1.54. The top three factors in the ranking of complicating factors were congenital hydronephrosis (211 cases, 50.1%), vesicoureteral reflux (VUR) (176 cases, 41.8%), and ureterectasis (107 cases, 25.4%). More than half of the patients had two or more complicating factors simultaneously (253 cases, 60.1%). There was only one complicating factor in 168 cases (39.9%). Abnormal fetal development in the urinary system was detected in 88 cases (20.9%), with fetal hydronephrosis (70 cases, 16.6%) being the most common. The median age for the first detection of urinary system abnormalities by ultrasound after birth was 10 (4.0, 49.5) months. The median age of first occurrence of cUTI after birth was 6.1 (2.6, 39.0) months, with an average of 2.2 times of infections. Most (305 cases, 72.4%) of the patients had fever at the time of treatment. There were 117 cUTI cases (27.8%) who had fever as the only clinical manifestation. Fever was the most common symptom of cUTI and the reason for clinical consultations in the patients. Escherichia coli (51 cases, 38.9%) was the most common pathogenic pathogen in children with cUTI, followed by Enterococcus faecalis (29 cases, 22.1%). Abnormal development of extra-renal organs was found in 56 cases (13.3%), with cardiac abnormalities being the most common (32 cases, 7.6%). Patent foramen ovale was found in 23 cases (5.5%), and atrial septal defects were found in 9 cases (2.1%). Eight cases (1.9%) had developmental abnormalities in digestive and reproductive systems, with anal atresia being the most common (5 cases, 1.2%). Sixteen cases (3.8%) had concomitant neurological developmental abnormalities, with mental retardation being the most common (11 cases, 2.6%).
The 421 patients were randomly divided into a training set of 317 cases and a validation set of 104 cases in a 3:1 ratio. The training set was used to identify risk factors for cUTI recurrence and to construct the risk prediction model, while the validation set was used to verify the accuracy of the risk prediction model constructed in the training set. The baseline characteristics between the training set and the validation set is shown in Table 1. There was no statistically significant difference in baseline characteristics between the training set and the validation set (p > 0.05). The patients were followed up for an average of 22.9 months, and the recurrence rate of cUTI was 68.4% (288 cases). The recurrence rate of the training set and the validation set was 67.8% (215 cases) and 70.2% (73 cases), respectively, without a significant difference (p > 0.05).
Selection of predictors
The LASSO method was used to select the potentially most useful predictors of cUTI recurrence in the training dataset. After 10-fold cross validation, 5 predictive features were ultimately selected, and right features with non-zero coefficients were then selected with a lambda value of 0.0436 (Fig. 1). This algorithm ultimately included 5 variables: female gender, history of urinary tract surgery, Escherichia coli in urine culture, renal dysfunction, and VUR.
Development of nomogram
In the training dataset, multivariate logistic regression analysis showed that female gender [odds ratio (OR), 2.237 (1.383–3.619)], history of urinary tract surgery [3.048 (1.687–5.507)], Escherichia coli in urine culture [2.261 (1.075–4.752)], renal dysfunction [2.590 (1.473–4.552)), and VUR [3.281 (2.021–5.326)] were independent risk factors for cUTI recurrence in pediatric patients (Table 2). Figure 2 shows the nomogram for predicting the risk of cUTI recurrence in pediatric patients based on the above 5 risk factors.
Evaluation and internal/external validation of the nomogram
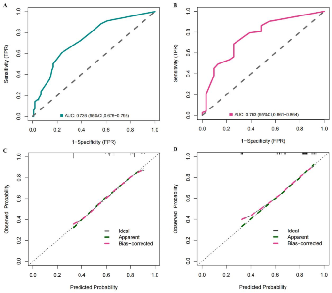
The nomogram was evaluated using ROC curves. The area under the curve (AUC) was 0.736 and 0.763 for the training dataset and the validation dataset, respectively, from ROC curves (Fig. 3A and B). Internal and external validations of the nomogram using 1000 bootstrap analyses were performed, and calibration curves were further constructed. The training dataset was used for internal validation of the model, resulting in a corrected C-index 0.735, a Hosmer Lemeshow goodness of fit test X2 5.5731 and p-value 0.6949. The validation dataset was used for external validation, resulting in a corrected C-index 0.750, a Hosmer Lemeshow goodness of fit test X2 6.2116 and p-value 0.6235. The calibration curves showed good agreements between the predicted probability and actual probability of cUTI recurrence in pediatric patients in both the training and the validation datasets (Fig. 3C and D).
Comparison of ROC curves and calibration curves for the nomogram in training dataset and the validation dataset. (A) and (B): ROC curves of the nomogram for the training dataset and for the validation dataset, respectively. The AUC of the nomogram was 0.736 for the training dataset. The AUC of the nomogram was 0.763 for the validation dataset. (C) and (D): Calibration curves of the nomogram for the training dataset and the validation dataset, respectively.
The clinical utility and effectiveness of the nomogram
The decision curve analysis (DCA) of the nomogram indicated that the nomogram is feasible in making valuable prediction of cUTI recurrence in pediatric patients (Fig. 4). The results suggest that if the threshold probability of predicted cUTI recurrence is approximately between 40% and 90%, using this nomogram to guide cUTI treatment of pediatric patients would potentially result in better clinical outcomes by accurate identification of the patients who would benefit from specific interventions than “treat all patients” or the “treat no patient” schemes.
Discussion
cUTI is prone to recurrence. If structural abnormalities of urinary system are not corrected, more than 50% of cUTI patients will relapse 4–6 weeks after a prior treatment17. Repeated infections can lead to serious consequences such as urinary sepsis, renal scars, and progression to end-stage kidney diseases, seriously affecting the prognosis and long-term quality of life of patients. Our systematic literature review has revealed that so far there has been no study on prediction models for the recurrence of cUTI in pediatric patients. This study explored the risk factors for cUTI recurrence, and for the first time, constructed a nomogram model for predicting the risk of cUTI recurrence in pediatric patients. To the best of our knowledge, this cohort is the largest to study the risk factors of recurrence of cUTI that involved multiple complicating factors in pediatric patients. Through multivariate analysis, 5 independent risk factors for the recurrence of cUTI in children were found, including female gender, history of urinary tract surgery, Escherichia coli in urine culture, renal dysfunction, and VUR. These risk factors were used to construct the nomogram for estimating the risk of cUTI recurrence.
As a model performance indicator, the C-index in the training dataset was 0.735, while the C-index in the validation dataset was 0.750, indicating that the easy-to-use nomogram can be used reliably to predict the recurrence of cUTI in children. The nomogram may help clinicians identify high-risk individuals of cUTI recurrence in pediatric patients for early specific interventions. This would be beneficial for the comprehensive management of cUTI in children.
Anatomical structural abnormalities of the urinary tract can easily lead to UTI in both males and females. This study showed that cUTI in children was more common in boys, with a male to female ratio of 1.54:1, which might be related to the prevalence of obstructive urinary tract diseases in males7. Although it was shown that boys without circumcision had a high incidence rate of UTI in the first year after birth, girls with the increase of age were more likely to suffer from UTI due to the anatomical structure of the urinary tract18. In particular, more than 25% of girls experienced recurrence within one year after their first UTI19,20. Our study found that female gender was an independent risk factor for the recurrence of cUTI in pediatric patients, and can be used as a predictor for the recurrence of cUTI in children. The underlying reason may be related to the females’ anatomical characteristics such as short and wide urethra, proximity to the anus and vagina. But some studies suggested that the recurrence of UTI (not limited to cUTI) was not related to gender11. In addition, some previous studies showed that children aged 2 to 6 years, especially those aged 3 to 5 years, had a higher risk of recurrent UTI, which might be related to urinary dysfunction in this age group21,22,23, whereas some other studies showed opposite finding that younger age (< 6 months) rather than older age was associated with an increased risk of recurrence of UTI as reviewed by Keren et al.24. Our multivariate analysis showed that the age of first cUTI was not a risk factor for cUTI recurrence, consistent with Keren et al.24.
It was revealed in this study that Escherichia coli was the most common pathogen of cUTI in children, consistent with previous studies9,25, and Escherichia coli in urine culture was also an independent risk factor for the recurrence of childhood cUTI. A study has shown that Escherichia coli is the main pathogen of recurrent UTI worldwide26. There is a complex interaction between the genetic diversity of Escherichia coli and the host’s innate and adaptive immune responses during UTI27. About a half of recurrent UTI was caused by the same pathogenic Escherichia coli in the urinary tract as that in the initial UTI, indicating that urinary tract infection often failed to produce adaptive immune responses to prevent subsequent infections with the same bacterium strain28. Another study also showed that 61% of recurrent UTI in children was caused by antibiotic resistant pathogens, with Escherichia coli being the most common pathogen leading to recurrence11. UTI recurrence is considered to be associated with the pathogenic characteristics of the bacterium itself, virulence genes afa and usp of Escherichia coli, and the resistance of Escherichia coli to antibiotics such as cefuroxime and cefazolin29,30. Compared to other Gram-negative bacteria, Escherichia coli has many survival advantages in establishing colonies and causing urinary tract infection. The surface structures of many subtypes of Escherichia coli enable the bacterium to bind to specific locations on the surface of urinary tract epithelial cells, resisting the flushing effect of urine, and allowing them to survive and reproduce in the urinary tract.
In this study, we found that the common complicating factors for cUTI in children were hydronephrosis (211 cases, 50.1%), VUR (176 cases, 41.8%), and ureterectasis (107 cases, 25.4%). In this cohort, there were 88 cases (20.9%) having fetal development abnormalities of the urinary system, with fetal hydronephrosis (70 cases, 16.6%) being the most common. Hydronephrosis was also the most common urinary tract abnormality in newborns, occurring in 45% of newborns with urinary tract infections31. Yang et al.32 found that in children with first-time febrile urinary tract infections, the most common urinary tract abnormality detected by ultrasound was hydronephrosis (9.2%), followed by ureterectasis (2.9%). Some studies found that the most common urinary tract abnormality detected by ultrasound was bladder abnormality (39.1%), followed by hydronephrosis (9.4%)9. The multivariate analysis in this study included more common complicating factors such as hydronephrosis, VUR (at any level), ureterectasis, and phimosis, among which only VUR (at any level) was an independent risk factor for the recurrence of cUTI in children. Keren et al.‘s study suggested that any level of VUR was associated with the recurrence of urinary tract infection24, which was basically consistent with our finding. Castro et al. found that, even after anti-reflux surgery, VUR was still associated with the increased recurrence rate of urinary tract infection due to the presence of excretory dysfunction33. But some studies also suggested that only high-level VUR was associated with recurrence of urinary tract infection, while low-level VUR was not associated with urinary tract infection recurrence6,11,24,34. The potential clinical rationale for the risk factor of VUR for cUTI recurrence in children may be that, when there is vesicoureteral reflux, urine refluxes from the bladder to the ureter or even the kidneys, carrying bacteria from the bladder into the upper urinary tract, thereby causing recurrent infections.
Urinary tract infection is the main hospital complication after pediatric urological surgery35,36,37. We found that the history of urinary tract surgery was a risk factor for cUTI recurrence in pediatric patients. Urinary tract surgery might cause changes in the physiological structure and defense mechanism of the urinary tract in children. Pathogens might breed or cause retrograde infections after urinary tract surgery, and some bacteria might not be easily cleared by antibiotics, leading to the increased risk of cUTI recurrence.
Both first-time and repeated urinary tract infections can lead to varying degrees of renal dysfunction. In this study, it was found that renal dysfunction was in turn a risk factor for the recurrence of cUTI in children. The reasons for the increased risk of cUTI recurrence might be related to underlying diseases, structural abnormalities, and weakened immunity that caused renal dysfunction in children. Further research is needed to explore the specific causes of cUTI recurrence caused by renal dysfunction.
In this study, the recurrence rate of cUTI in our cohort was 68.4% during an average follow-up duration of 22.9 months. The high recurrence rate of cUTI in children suggested a heavy burden of the disease, seriously affecting the physical and mental health and quality of life of the affected children. Long term follow-up and monitoring are warranted for the patients. The high recurrence rate of cUTI in the pediatric patients suggested the need for further research on the recurrence mechanism of the disease from multiple levels such as genetics, immunity, and environmental factors, as well as on improving treatment strategies.
Morello et al.‘s study suggested that continuous antibiotic prophylaxis in infants with grade III, IV, or V vesicoureteral reflux and no previous UTIs provided a small but significant benefit in preventing a first UTI38. Wang et al.‘s study revealed that continuous antibiotic prophylaxis significantly reduced the risk of febrile and symptomatic urinary tract infections in children with vesicoureteral reflux39. In our department, antibiotic prophylaxis was carried out in children with VUR, neurogenic bladder, or structural abnormalities of urinary system that could not be immediately corrected and antibiotic prophylaxis continued until the structural abnormalities of urinary system were resolved. Further research will be conducted on the specific role of antibiotic prophylaxis in preventing cUTI recurrence in children.
There were certain limitations in this study. Firstly, both the internal and external validation cohorts in this study were from a single center and could not represent all pediatric patients, resulting in certain biases. Further multicenter studies are helpful in verifying the accuracy of the nomogram. Secondly, urine culture samples were collected after admission, and the use of antibiotics before admission might increase the false negative rate of urine culture. The impact of this factor on the distribution of pathogenic bacterial strains in this study was not analyzed. Thirdly, this study did not collect complete hematological indicators, and only included limited numbers of pathogenic bacterial strains and complicating factors in the analysis. Thus some other risk factors for the recurrence of cUTI in children might have been missed. Fourthly, there might be recall bias in the research data collected during the follow-up period, especially by telephone follow-ups.
In the future, we will conduct multicenter clinical trials to verify the feasibility and effectiveness of using the model in clinical practice. In addition, we will use more technologies including genetic testing to further explore biomarkers highly associated with the recurrence of cUTI in children, in order to predict the risk of recurrence more accurately, thereby facilitating timely identification of high-risk populations and taking early and targeted intervention measures.
In conclusion, we summarized the clinical characteristics, analyzed the risk factors for recurrence of cUTI in pediatric patients, and for the first time, constructed a clinically practical model as a nomogram for predicting the risk of cUTI recurrence in pediatric patients. Our nomogram study revealed 5 risk factors for cUTI recurrence in children: female gender, renal dysfunction, Escherichia coli in urine culture, history of urinary tract surgery, and VUR. This model showed a high predictive value. Therefore, clinical management based on this predictive model would be necessary for clinicians to timely identify high-risk individuals of cUTI recurrence and take specific interventions. The decision curve analysis revealed that targeted interventions might provide a positive influence in preventing cUTI recurrence in pediatric patients. Further large-scale multicenter studies by combining genetic testing are warranted to validate the predictive value of the model.
Data availability
The data used in this study may be available from the corresponding author upon reasonable request.
Abbreviations
- cUTI:
-
Complicated urinary tract infection
- VUR:
-
Vesicoureteral reflux
- UTI:
-
Urinary tract infection
- LASSO:
-
Least Absolute Shrinkage and Selection Operator
- AUC:
-
Area under the curve
- ROC:
-
Receiver operating characteristic
- DCA:
-
Decision curve analysis
- OR:
-
Odds ratio
References
Larcombe, J. Urinary tract infection in children: Recurrent infections. BMJ Clin. Evid. 2015, 0306 (2015).
Montini, G., Tullus, K. & Hewitt, I. Febrile urinary tract infections in children. N. Engl. J. Med. 365, 239–250 (2011).
Roberts, K. B. Urinary tract infection: Clinical practice guideline for the diagnosis and management of the initial UTI in febrile infants and children 2 to 24 months. Pediatrics. 128, 595–610 (2011).
Tullus, K. & Shaikh, N. Urinary tract infections in children. Lancet. 395, 1659–1668 (2020).
Hellström, A., Hanson, E., Hansson, S., Hjälmås, K. & Jodal, U. Association between urinary symptoms at 7 years old and previous urinary tract infection. Arch. Dis. Child. 66, 232–234 (1991).
Nuutinen, M. & Uhari, M. Recurrence and follow-up after urinary tract infection under the age of 1 year. Pediatr. Nephrol. 16, 69–72 (2001).
Jindal, J. et al. Clinical profile and outcome in patients of complicated urinary tract infections: A single-center prospective observational study. Int. J. Appl. Basic. Med. Res. 12, 167–170 (2022).
Nicolle, L. E. & Committee*, A. C. G. Complicated urinary tract infection in adults. Can. J. Infect. Dis. Med. Microbiol. 16, 349–360 (2005).
AlKhateeb, N. E., Al Azzawi, S. & Al Tawil, N. G. Association between UTI and urinary tract abnormalities: A case-control study in Erbil City/Iraq. J. Pediatr. Urol. 10, 1165–1169 (2014).
Nicolle, L. E. A practical guide to antimicrobial management of complicated urinary tract infection. Drugs Aging. 18, 243–254 (2001).
Conway, P. H. et al. Recurrent urinary tract infections in children: Risk factors and association with prophylactic antimicrobials. JAMA. 298, 179–186 (2007).
Chang, S. J., Tsai, L. P., Hsu, C. K. & Yang, S. S. Elevated postvoid residual urine volume predicting recurrence of urinary tract infections in toilet-trained children. Pediatr. Nephrol. 30, 1131–1137 (2015).
Li, Y. et al. Development and validation of a user-friendly risk nomogram for the prediction of catheter-associated urinary tract infection in neuro-intensive care patients. Intensive Crit. Care Nurs. 74, 103329 (2023).
Hsu, Y. L. et al. Clinical characteristics and prediction analysis of pediatric urinary tract infections caused by gram-positive bacteria. Sci. Rep. 11, 11010 (2021).
NICE Guidance -. Complicated urinary tract infections: ceftolozane/tazobactam: © NICE (2016) complicated urinary tract infections: ceftolozane/tazobactam. BJU Int. 121, 825–834 (2018).
Wagenlehner, F. et al. Epidemiology, definition and treatment of complicated urinary tract infections. Nat. Rev. Urol. 17, 586–600 (2020).
Nicolle, L. E. A practical guide to the management of complicated urinary tract infection. Drugs. 53, 583–592 (1997).
Czajkowski, K., Broś-Konopielko, M. & Teliga-Czajkowska, J. Urinary tract infection in women. Prz Menopauzalny. 20, 40–47 (2021).
Forde, B. M. et al. Population dynamics of an Escherichia coli ST131 lineage during recurrent urinary tract infection. Nat. Commun. 10, 3643 (2019).
Klein, R. D. & Hultgren, S. J. Urinary tract infections: Microbial pathogenesis, host-pathogen interactions and new treatment strategies. Nat. Rev. Microbiol. 18, 211–226 (2020).
Mazzola, B. L., von Vigier, R. O., Marchand, S., Tönz, M. & Bianchetti, M. G. Behavioral and functional abnormalities linked with recurrent urinary tract infections in girls. J. Nephrol. 16, 133–138 (2003).
Shaikh, N. et al. Dysfunctional elimination syndrome: Is it related to urinary tract infection or vesicoureteral reflux diagnosed early in life. Pediatrics. 112, 1134–1137 (2003).
Snodgrass, W. Relationship of voiding dysfunction to urinary tract infection and vesicoureteral reflux in children. Urology. 38, 341–344 (1991).
Keren, R. et al. Risk factors for recurrent urinary tract infection and renal scarring. Pediatrics. 136, e13–21 (2015).
Zhang, K., Zhang, Y., Chao, M. & Hao, Z. Prevalence pathogenic bacterial profile and antimicrobial susceptibility pattern of urinary tract infection among children with congenital anomalies of the kidney and urinary tract. Infect. Drug Resist. 16, 4101–4112 (2023).
Flores-Mireles, A. L., Walker, J. N., Caparon, M. & Hultgren, S. J. Urinary tract infections: Epidemiology, mechanisms of infection and treatment options. Nat. Rev. Microbiol. 13, 269–284 (2015).
O’Brien, V. P., Dorsey, D. A., Hannan, T. J. & Hultgren, S. J. Host restriction of Escherichia coli recurrent urinary tract infection occurs in a bacterial strain-specific manner. PLoS Pathog. 14, e1007457 (2018).
Silverman, J. A., Schreiber, H. L. 4th, Hooton, T. M. & Hultgren, S. J. From physiology to pharmacy: Developments in the pathogenesis and treatment of recurrent urinary tract infections. Curr. Urol. Rep. 14, 448–456 (2013).
Jeng, S. L., Huang, Z. J., Yang, D. C., Teng, C. H. & Wang, M. C. Machine learning to predict the development of recurrent urinary tract infection related to single uropathogen, Escherichia coli. Sci. Rep. 12, 17216 (2022).
Chen, S. L. et al. Identification of genes subject to positive selection in uropathogenic strains of Escherichia coli: A comparative genomics approach. Proc. Natl. Acad. Sci. U S A. 103, 5977–5982 (2006).
Goldman, M. et al. Imaging after urinary tract infection in male neonates. Pediatrics. 105, 1232–1235 (2000).
Yang, S. et al. Kidney ultrasonography after first febrile urinary tract infection in children: A systematic review and meta-analysis. JAMA Pediatr. 177, 764–773 (2023).
Castro, I., Soares, E., Casimiro, A. & Nogueira, G. Bladder malfunction, urinary tract infection and vesicoureteral reflux in children. Acta Med. Port. 11, 635–642 (1998).
Panaretto, K. et al. Risk factors for recurrent urinary tract infection in preschool children. J. Paediatr. Child. Health. 35, 454–459 (1999).
Routh, J. C. et al. Vesicoureteral reflux: Current trends in diagnosis, screening, and treatment. Eur. Urol. 61, 773–782 (2012).
Horan, T. C. et al. Nosocomial infections in surgical patients in the United States, January 1986-June 1992. National Nosocomial Infections Surveillance (NNIS) System. Infect. Control Hosp. Epidemiol. 14, 73–80 (1993).
Miyakita, H. et al. Guidelines for the medical management of pediatric vesicoureteral reflux. Int. J. Urol. 27, 480–490 (2020).
Morello, W. et al. Antibiotic prophylaxis in infants with grade III, IV, or V vesicoureteral reflux. N Engl. J. Med. 389, 987–997 (2023).
Wang, H. H. et al. Efficacy of antibiotic prophylaxis in children with vesicoureteral reflux: Systematic review and meta-analysis. J. Urol. 193, 963–969 (2015).
Acknowledgements
We would like to thank Dr. Wen Deng for proofreading our manuscript.
Funding
Supported by the Chen Xiaoping Science and Technology Development Foundation’s 2021 Immunological Disease Research project (CXPJJH121002-202107) and a Transverse Research project (20H0094).
Author information
Authors and Affiliations
Contributions
Jiang J contributed to data collection and curation, formal analysis, writing – original draft; Guo H contributed to the study design, funding acquisition, methodology and writing - review & editing; Chen X-Y contributed to conceptualization, supervision, validation and writing – review & editing; All authors reviewed the manuscript.
Corresponding authors
Ethics declarations
Competing interests
The authors declare no competing interests.
Ethics approval
The study was approved by the Ethics Committee of West China Second Hospital of Sichuan University (Medical Research Ethics Approval No. 005, 2024). The ethics committee waived the need for written informed consents due to the retrospective nature of this study.
Additional information
Publisher’s note
Springer Nature remains neutral with regard to jurisdictional claims in published maps and institutional affiliations.
Rights and permissions
Open Access This article is licensed under a Creative Commons Attribution-NonCommercial-NoDerivatives 4.0 International License, which permits any non-commercial use, sharing, distribution and reproduction in any medium or format, as long as you give appropriate credit to the original author(s) and the source, provide a link to the Creative Commons licence, and indicate if you modified the licensed material. You do not have permission under this licence to share adapted material derived from this article or parts of it. The images or other third party material in this article are included in the article’s Creative Commons licence, unless indicated otherwise in a credit line to the material. If material is not included in the article’s Creative Commons licence and your intended use is not permitted by statutory regulation or exceeds the permitted use, you will need to obtain permission directly from the copyright holder. To view a copy of this licence, visit http://creativecommons.org/licenses/by-nc-nd/4.0/.
About this article
Cite this article
Jiang, J., Chen, XY. & Guo, H. Clinical characteristics and nomogram model for predicting the risk of recurrence of complicated urinary tract infection in pediatric patients. Sci Rep 14, 25393 (2024). https://doi.org/10.1038/s41598-024-76901-0
Received:
Accepted:
Published:
Version of record:
DOI: https://doi.org/10.1038/s41598-024-76901-0






