Fig. 4
From: A prediction nomogram for mortality in patients following wasp stings: a retrospective study

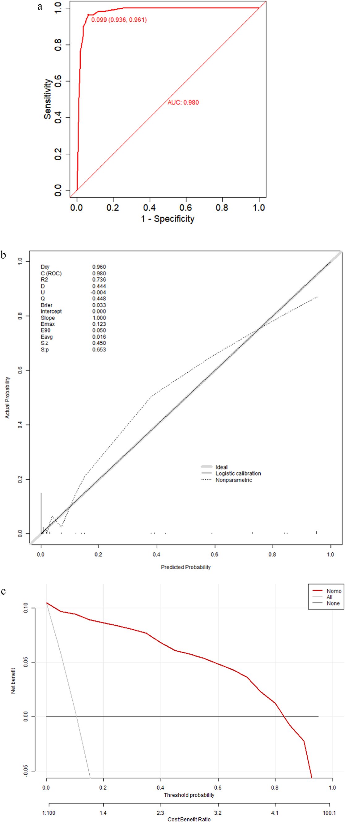
Model evaluation and validation (a) Evaluation of ROC column line. The area under the receiver operating characteristic curve of the model was 0.980 (95%CI:[0.968–0.992]); (b) Calibration curve of the nomogram prediction in the cohort. The diagonal dotted line depicts a perfect prediction by an ideal model. The solid line reflects the performance of the nomogram; a closer fit to the diagonal dotted line indicates a better prediction; (c) Decision curve analysis curve of the nomogram for predicting the probability of mortality with wasp stings. The horizontal and vertical axes represent the threshold probability and net benefit, respectively. The lines between the horizontal axis and vertical axis display the benefit of different predictive variables. The DCA curve shows that if the threshold probability is between 0% and 82.5%, using this nomogram in the current study to predict mortality risk with wasp stings could add more benefit.