Fig. 2

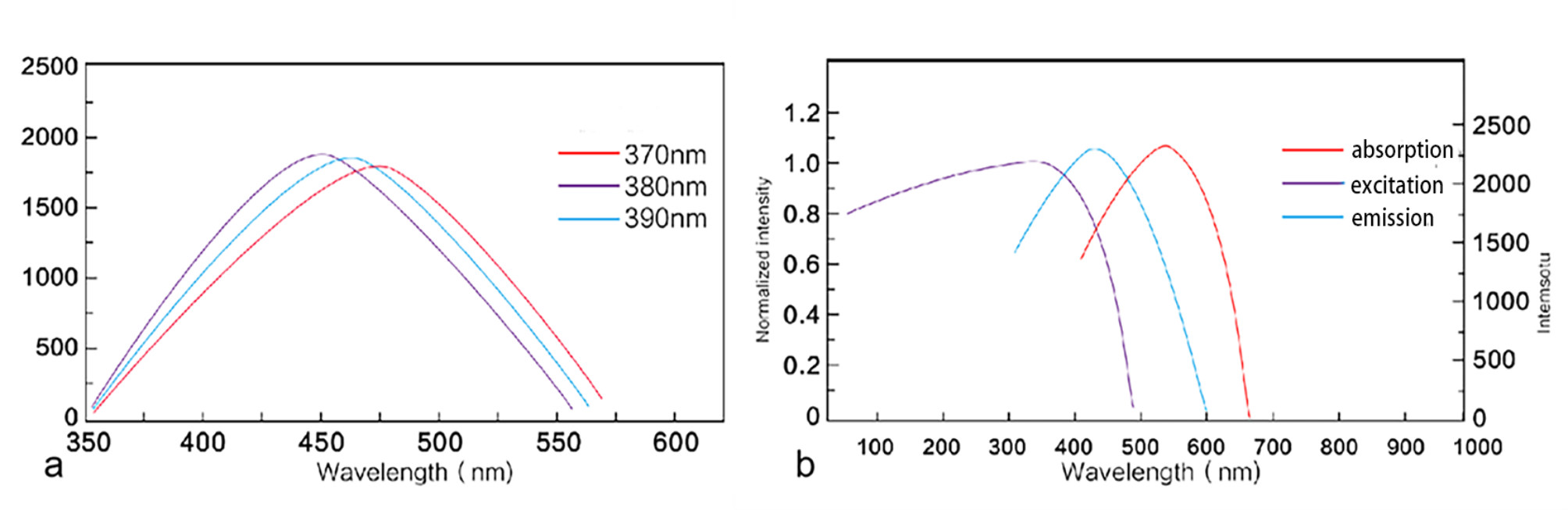
(a) Fluorescence spectra of CDs at different excitation wavelengths; (b) UV-Vis absorption spectra and fluorescence spectra of CDs.

(a) Fluorescence spectra of CDs at different excitation wavelengths; (b) UV-Vis absorption spectra and fluorescence spectra of CDs.