Abstract
To explore a method to identify the sensory and motor fascicles of the peripheral nerve to achieve accurate peripheral nerve functional fascicle suture. The peripheral nerve Sunderland V injury model, muscle branch of the femoral nerve and saphenous nerve were established in the bilateral femoral nerves of Sprague-Dawley (SD) rats. The specific samples were grouped as follows: the main trunk of the femoral nerve was exposed bilaterally and cut with microscopic scissors in the main trunk of the femoral nerve to prepare a model of Sunderland V injury in the mixed fascicle of peripheral nerves; the muscle branch of the femoral nerve was exposed bilaterally and cut in the middle section of the muscle branch of the femoral nerve to prepare a model of Sunderland V injury in the motor fascicle of peripheral nerves; the saphenous nerve was exposed bilaterally and cut at 1 cm below the patella to prepare a model of Sunderland V injury to the sensory fascicle of the peripheral nerves. A carbon quantum dot (CD)-annexin V antibody complex was prepared and applied to the distal and proximal nerve stumps of the peripheral nerve Sunderland V injury model groups of SD rats. Under the excitation light source of a 380 nm uv lamp, fluorescence color development was observed under a fluorescence microscope after 5, 10, 15, and 20 min. At 5 min, sections of the bilateral femoral nerve trunk, muscular branches of the femoral nerve, and Sunderland V lesion of the saphenous nerve in SD rats were only dark in color under the microscope, and there was no difference in fluorescence. The intensity of the staining increased significantly for 10–20 min. The sensory fascicles and saphenous nerves of the femoral nerve trunk showed blue fluorescence under the CD-Annexin V antibody complex staining, while the motor fascicles and muscle branches of the femoral nerve trunk showed no fluorescence. Fluorescence intensity gradually decreased after 20 min of staining. There was no significant difference in the staining intensity at 5, 10, 15, and 20 min in each group. Our results suggest that the CD-Annexin antibody complex can be used to identify functional fascicles of peripheral nerves in SD rats.
Similar content being viewed by others
Peripheral nerve injury is a common, frequent and difficult condition in clinical practice. Most patients are young adults, often secondary to cutting injuries, traffic accident injuries, and industrial and mining accident injuries. The high rate of disability places a heavy burden on patients, their families and the society1. As for types of peripheral nerve damage, Seddon and Sunderland proposed two classic classifications. In 1943, Seddon divided neuronal damage into three distinct groups according to the degree of injury: neuropraxia, axonotmesis, and neurotmesis2. After then, Sunderland proposed five groups that distinguish nerve injury: Sunderland I-V3. Among all types of peripheral nerve injury, complete nerve trunk rupture Sunderland V injury is the most serious and difficult to treat. This type of injury is equivalent to neurotmesis proposed by Seddon, which is characterized by complete loss of continuity of nerves. Because there is no method to identify between the sensory and motor functional fascicles during surgery, it is difficult to achieve accurate peripheral nerve functional fascicular sutures4. Clinicians can only blindly suture the distal and proximal ends of the broken nerve based on their experience and in many cases they mistakenly suture the sensory and motor fascicles together, resulting in sensory and motor dysfunction or functional loss of the corresponding limbs in the long term after surgery5. There is an urgent need for intraoperative methods to avoid blind suturing of functional nerve fascicles6.
The relative specific proteins on the composition of peripheral nerve sensory and motor fascicles, as well as specific labelling methods provide the possibility of accurately identifying peripheral nerve functional fascicles. The 35 kDa protein is specific to peripheral nerve sensory fascicles relative to motor fascicles7,8. Using dynamic comparative proteomic mass spectrometry analysis of peripheral nerve sensory and motor fascicles at dynamic time points such as normal peripheral nerve sensory and motor fascicles, 8 h of Sunderland V injury, and 8 days of Sunderland V injury, Annexin V was determined to be a specific protein of the sensory fascicles relative to the motor fascicles, and the molecular weight was determined to be 35.79 kDa, which was validated using the technology of Reverse Transcription-Polymerase Chain Reaction9. Subsequently, peripheral nerve functional fascicles were identified by labelling Annexin V with cadmium telluride nanoparticles10, however, the potential high biological toxicity of cadmium telluride nanoparticles limits its clinical application. It is aimed at finding a feasible intraoperative identification method, exploring the use of low biological toxicity carbon quantum dots (CDs) to replace cadmium telluride nanoparticles for peripheral nerve functional fascicles identification, which is now reported as follows.
Experimental component
Materials and methods
Adult healthy clean grade SD rats, 8 weeks old, male, weighing 250 ± 10 g, were obtained from the Experimental Animal Center, The First Hospital, Jilin University, P. R. China. The rats were housed under standard conditions before and after surgery, with free access to water and food at a temperature of 22–26 °C. A total of 30 SD rats (10 in each group) were grouped as follows: the main trunk of the femoral nerve was exposed bilaterally and cut with microscopic scissors in the main trunk of the femoral nerve to prepare a model of Sunderland V injury in the mixed fascicle of peripheral nerve groups; the muscle branch of the femoral nerve was exposed bilaterally and cut in the middle section of the muscle branch of the femoral nerve to prepare a model of Sunderland V injury in the motor fascicle of peripheral nerve groups; the saphenous nerve was exposed bilaterally and cut 1 cm below the patella to prepare a model of Sunderland V injury to the sensory fascicle of the peripheral nerve groups. (Fig. 1)
The experiment was approved by the Ethics Committee of the First Affiliated Hospital of Heilongjiang University of Chinese Medicine and conformed to the World Medical Association Declaration of Helsinki (June 1964) and subsequent amendments. All experiments were performed in accordance with relevant guidelines and regulations.
Reagents and instruments
Sheep anti-rat Annexin V antibody, Rabbit Anti-Rat IgG H&L (abcam); 1-3-dimethylpropyl-3-ethylcarbodiimide (EDC), and N-hydroxysuccinimide (NHS)(Santa Cruz); CDs (Key Laboratory for Molecular Enzymology and Engineering of the Ministry of Education, Jilin University); sodium citrate, ethylenediamine, and citric acid (Tianjin Balance Bio); Leica constant-cooling box slicer, Leica microscope, UV spectrophotometery, fluorescence spectrophotometery, UV-visible absorption spectrometer, fluorescence emission spectrometer, transmission electron microscope, photometer, UV-visible absorption spectrometer, fluorescence emission spectrometer, and transmission electron microscope (Laboratory of Pathobiology, Jilin University).
Preparation of CDs-Annexin V antibody complex
CDs were prepared at a concentration of 10 mg/mL using 0.01 M PBS buffer (pH 7.2). The monoclonal antibody to Annexin V was prepared as a 0.5 mg/mL solution. The two solutions were mixed at a mass ratio of 40:1 and incubated in a constant temperature shaker at 37 °C for 10 min. To initiate the reaction, 500 µ of EDC and 500 µ of NHS were added to the mixture. Then the sheep anti-rat Annexin V antibody (specification, 100 ug; concentration, 0.5 mg/ml) was added to the mixed solution, which was slowly agitated for 3 h in the 36.5 °C attemperator. The solution was added to a filter bag and refined at 4 °C for 12 h. Purified CD-annexin V antibody complexes were stored at 4 °C for future use.
Fluorescence spectra and UV-Vis absorption spectra of CDs and CD-Annexin V antibody complex
The excitation and emission slits were set at 5 nm, and the fluorescence emission spectra were measured at 20 ~ 30nm intervals in the excitation wavelength range of 350 ~ 600nm. The fluorescence color, maximum excitation wavelength and maximum emission wavelength of the CDs and CD-Annexin V antibody complex were recorded using transmission electron microscopy, infrared light, and UV-visible light analysis.
Sample preparation and CDs-Annexin V antibody complex staining
The experimental group and control group were established. After anesthesia, the bilateral femoral nerve trunks, along with their muscle branches and saphenous nerves, were harvested. Immediately, transverse sections of the tissues were prepared through rapid freezing, with a thickness of 5 μm. In the experimental group, sections were incubated with a CD-Annexin V antibody complex applied to the severed ends of the femoral nerve trunks, muscle branches, and saphenous nerves. After 5, 10, 15, and 20 min of incubation, the sections were washed with 0.01 mol/L PBS and examined under a fluorescence microscope. In the control group, normal sheep serum was used instead of the antibody complex. The sections were incubated at 37 °C in a constant temperature oven for 5, 10, 15, and 20 min, then washed with 0.01 mol/L PBS before being observed under the fluorescence microscope.
Results
Fluorescent properties of CDs
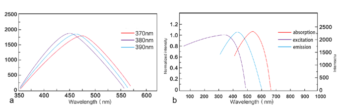
The optical properties of the CDs were characterized using UV-Vis absorption and fluorescence spectroscopy. The 0.01 mg/m L aqueous solution of CDs showed a light- yellow color under visible light and blue fluorescence under the excitation of a UV lamp at 380 nm. The UV-vis absorption spectrum of the CDs showed a UV absorption peak at 280 nm. The maximum excitation wavelength of the carbon dots in the fluorescence spectrum was 460 nm and the maximum emission wavelength was 530 nm. (Fig. 2)
Fluorescence properties of CDs-Annexin V antibody complex
The optical properties of the CDs-Annexin V antibody complex were characterized by UV-vis absorption and fluorescence spectroscopy. The UV absorption peak of the CDs-Annexin V antibody complex was located at 300 nm, which is a blue fluorescence region. The emission spectrum was narrow and symmetrical under fluorescence spectrophotometer. When irradiated with a 380 nm UV lamp as the excitation light source, the maximum excitation wavelength of the CDs-Annexin V antibody complex was 480 nm, and the maximum emission wavelength was 550 nm. (Fig. 3)
Identification of functional fascicles of peripheral nerve
The fluorescence intensity of light microscopic staining for 5 min was not sufficient to show the nerve fascicles adequately, and after 10 min, the specific Annexin V antibody labelled with CDs quantum dots and the specific Annexin V antigen on the sensory fascicles combined. Under the excitation of 380 nm UV light, the sensory fascicles of the femoral nerve trunk and the saphenous nerves were observed to exhibit particulate blue fluorescence under a microscope, while the motor fascicles of the femoral nerve trunk and the muscular branches did not show color or very weak pale fluorescence. Under 380 nm ultraviolet light excitation, the sensory fascicle of the femoral nerve trunk and saphenous nerve showed bright blue fluorescence under a microscope, and the motor fascicle and muscle branch of the femoral nerve trunk did not show any fluorescence or very weak faint fluorescence. Therefore, the sensory and motor fascicles were identified under a microscope during the operation. The intensity of the staining increased significantly in 10–20 min, and the sensory fascicles of the femoral nerve and the saphenous nerve showed bright blue fluorescence when stained with the antibody complex of CDS-annexin V. The fluorescence was clear at 15–20 min, and the fluorescence intensity gradually weakened after 20 min. There was no significant difference in the staining intensity of samples stained for 5, 10, 15, and 20 min in each group. (Fig. 4)
(a) Fluorescence visualization of CD-Annexin V antibody complex in the main trunk of the femoral nerve, ×200, scare bar, 100 μm; (b) Fluorescence visualization of CD-Annexin V antibody complex in the muscular branch of the femoral nerve, ×200, scare bar, 100 μm; (c) Fluorescence visualization of CD-Annexin V antibody complex in the saphenous nerve, ×200, scare bar, 100 μm.
Conclusions
The CD-annexin V antibody complex enables intraoperative identification of functional fascicles of peripheral nerve Sunderland V injury in SD rats.
Discussion
The functional bundle of the main trunk of the peripheral nerve is composed of sensory and motor fascicles. The suturing of the peripheral nerve functional fascicle in Sunderland V peripheral nerve injury is a requirement for minimally invasive surgery, and the premise of the suturing of the peripheral nerve bundle membrane is that nature the functional fascicles can be identified during surgery.
Due to the differences in the plane of division of each functional fascicle in the nerve trunk and the characteristics of gradual diffusion between the fascicles, the position of the broken fascicles will change the original normal anatomical position; therefore, it is difficult to apply the anatomical tissue morphology method to determine the nature of the functional fascicle during the operation5. Electrical stimulation is not suitable for clinical applications because it requires the patient to remain awake, anesthesia is limited, individual differences are large, and the potential is unstable11. Enzymatic histochemical methods (cholinesterase AChE, carbonic anhydrase CA, and choline acetylase ChAC) to identify peripheral nerve fascicles are not only time-consuming and cumbersome to operate in the laboratory, but also cannot be performed by non-experimental personnel. Moreover, AChE, CA, and ChAC are not specific marker enzymes of nerve tissue; therefore, enzymatic histochemical methods are difficult to apply in clinical practice to identify functional fascicles12. To date, there is no clinically available method for identifying functional nerve bundles during surgery, and there is an urgent need for intraoperative methods to avoid blind suturing of the functional fascicle6.
Labelling is the method of identification, and the premise of labelling is the relative specificity of the composition of the sensory and motor fascicles of peripheral nerves. The 35-kda protein Annexin V is an antigenic material specific to sensory nerves, as opposed to motor nerves13,14. It is mainly expressed in the cell body and axons of sensory neurons, especially in the terminal of the axon, and is rarely expressed in the motor nerves15. Annexin V is used in human trials of retinal screening as a marker of retinal ganglion cell apoptosis in glaucoma detected by DARC (Detection of Apoptosing Retinal Cells)16. It is a specific protein of the sensory fascicles compared to of that the motor fascicles. In our previous study, dynamic comparative proteomic mass spectrometry of sensory and motor fascicles of peripheral nerve was used to identify Annexin V as the normal sensory fascicles (saphenous nerve) relative to the motor fascicles (femoral nerve muscle branch), as well as the sensory fascicles (saphenous nerve) relative to the motor fascicles (femoral nerve muscle branch) in the fresh 8 h and in the old 8 days injury stage after Sunderland V injury. The molecular weight of Annexin V was determined to be 35.79 kDa, and the technology of Reverse Transcription-Polymerase Chain Reaction was used to verify the proteomics results, which proved that Annexin V could be used as a specific protein for the identification of functional fascicles of peripheral nerves9.
Prior experimental selection of nanoparticles for labelling was achieved by utilizing the luminescent effect of cadmium telluride nanoparticles, which have a heavy-metal shell and core structure. This method successfully facilitated the identification of functional fascicles in peripheral nerves. However, cadmium telluride nanoparticles are potentially highly biotoxicity and has been explored as an alternative labelling agent to address this issue. CDs offer several advantages, including low toxicity, high biocompatibility, anti-photobleaching properties, good water solubility, and simple preparation. Moreover, CDs can be synthesized using a wide variety of carbon sources that are abundant and inexpensive, such as citrate, ascorbic acid, fruit juices, dairy products, glucose, and other green substances commonly found in daily life. These characteristics render CDs highly suitable for bioimaging applications. The literature reports various methods for synthesizing carbon quantum dots, including electrochemical oxidation, arc discharge, laser ablation, microwave synthesis, and hydrothermal synthesis17. Our research group has adopted a hydrothermal synthesis method with low equipment requirements and a simple method to obtain fluorescent CDs with uniform dispersion and good water solubility. To identify the functional fascicles of peripheral nerves in SD rats, it is necessary to consider the simultaneous preparation of animal models and simultaneous sample sampling at the same time. Among all types of peripheral nerve injury, Sunderland V injury with complete nerve trunk rupture is the most serious and difficult to treat. In this study, the femoral nerve trunk, femoral nerve muscular branches and saphenous nerve were obtained from SD rats with Sunderland V peripheral nerve injury. The femoral nerve in rats, after emerging from the lumbar plexus, runs along the medial aspect of the thigh and provides innervation to the quadriceps. It bifurcates into motor and sensory branches, with the saphenous nerve as the main sensory branch. The saphenous nerve extends from the femoral nerve, running medially and superficially, particularly at the level of the knee joint, where it becomes more accessible and easier to dissect in rat models. Its long, slender course parallels the femoral artery for part of its journey and primarily provides sensory input from the medial hindlimb. The femoral nerve in rats, like in humans, is responsible for motor innervation of the quadriceps muscle and some cutaneous sensory function. The saphenous nerve is exclusively sensory and provides afferent innervation to the skin of the medial leg and foot. Technically, this study involved immunohistochemistry, which requires the simultaneous preparation of animal models and simultaneous sample collection. The same samples were collected at the same time, the standards of the experimental samples were strictly ensured, the interference of accidental factors was eliminated, and the accuracy of the experimental results was guaranteed.
CD-Annexin V antibody complex coupling requires the prevention of aggregation and precipitation of nanoparticles. At this stage, when the nanocarrier surface is coupled with the antibody, the charge changes, and the pH value needs to be adjusted to prevent the aggregation and precipitation of CDs. The present study aimed to explore the application of CDs with low biotoxicity in the identification of functional fascicles in Sunderland V injury of the peripheral nerves. CDs with low biotoxicity is an innovative application of a new method compared with cadmium telluride nanoparticles with high biotoxicity.
The slides were incubated for 5, 10, 15, and 20 min, and fluorescence was clearly visible. At 5 min, sections of the bilateral femoral nerve trunk, the muscular branches of the femoral nerve, and the Sunderland V lesion of the saphenous nerve in SD rats were only dark in color under the microscope, and there was no difference in fluorescence. Because the images were dark and difficult to distinguish, they were not comparable. CD-Annexin V antibody complex showed blue fluorescence when incubated for 10 min in the sensory fascicles of the femoral nerve, whereas the saphenous nerve showed blue fluorescence staining. However, the motor fascicles of the femoral nerve did not show blue fluorescence staining. The fluorescence was the brightest at 20 min, and then gradually decreased until it disappeared. It was found that the blue fluorescence was mainly distributed on the sensory fascicles, while the motor fascicle muscle branch showed no or very little positive staining. Therefore, once blue fluorescence is observed during surgery, it can be judged to be the sensory fascicles of the peripheral nerve, and the corresponding absence of blue fluorescence can be judged to be the motor fascicles of the peripheral nerve. The functional fascicles of the peripheral nerve could be identified by the positive fluorescence of the sensory fascicles and saphenous nerve of the femoral nerve, but there was no or only a small amount of positive fluorescence of the motor fascicles and muscle branch of the femoral nerve. In this study, after the identification of the sensory fascicles by the CD-Annexin V antibody complex, the results of the anatomical tracing and Ach E enzymatic methods were compared to confirm the conclusion that the CD-Annexin V antibody complex can accurately identify the functional fascicles of peripheral nerves during surgery.
The purpose of this experiment was to verify that the CD-annexin V antibody complex can identify the functional fascicles of peripheral nerves. In this experiment, the number of CDs was very small; the CD-Annexin V antibody complex just dipped the broken nerve ends, identified the sensory fascicles after 20 min, and then rinsed the nerve ends with normal saline. The residual CD-annexin V antibody complex was minimal after surgery. This study only validated the ability to identify the functional fascicles.
The innovation of this experiment was the application of CDs for Annexin V antibody coupling labelling. Using CD-labelled sensory nerve fascicle specific monoclonal antibody has the characteristics of recognizing a single antigen- and antigen-specific binding to present CDs fluorescence signature, making it feasible to achieve the identification of peripheral nerve sensory and motor fascicles. With this rapid response fluorescent labelling identification method, CD-labelled Annexin V antibody test strips can be prepared in the distant future, and test strip detection can be used to complete the identification of peripheral nerve functional fascicles within 10–20 min intraoperatively. In this study, we explored the application of the CD-Annexin V antibody complex for intraoperative identification of peripheral nerve function fascicles in peripheral nerve Sunderland V injury, which enables clinicians to develop a practical method to identify nerve function fascicles, and it is possible to further explore the possibility of finding nanoparticles that can promote the repair of peripheral nerve injuries in a non-toxic and precise manner. At the same time, identification of the nature of functional fascicles of peripheral nerves will fuel research on nerve tracing and nerve functional reserve properties.
However, the present study exists the following limitations. First, the fluorescence intensity was observed at fixed time intervals (5, 10, 15, and 20 min). While this provides some insight into the behavior of the CD-Annexin V complex, it leaves gaps in understanding the dynamics of fluorescence beyond these intervals. Second, the study used normal sheep serum in the control group, but no additional negative controls. In addition, although the study touches on the potential for future clinical applications, it lacks a detailed discussion of the next steps needed for clinical translation, such as in vivo testing in larger animals or potential human trials. In the future work, we will try to address these limitations in order to attain more compelling outcomes.
Data availability
The datasets used and/or analysed during the current study available from the corresponding author on reasonable request.
References
1. Wei D, Zhao L, Hua XY, Zheng MX, Wu JJ, Xu JG. A bibliometric analysis of brachial plexus injury from 1980 to 2022.Heliyon. 2024;10:e26175.
2. Seddon HJ, Medawar PB, Smith H, Rate of regeneration of peripheral nerves in man. J Physiol 1943;102:191–215.
3. Sunderland S, A classification of peripheral nerve injuries producing loss of function. Brain 1951;74:491–516.
4. Hu R, Dun X, Singh L, Banton MC. Runx2 regulates peripheral nerve regeneration to promote Schwann cell migration and re-myelination. Neural Regen Res. 2024;19:1575–1583.
5. Rotterman TM, García VV, Housley SN, Nardelli P, Sierra R, Fix CE, et al. Structural Preservation Does Not Ensure Function at Sensory Ia-Motoneuron Synapses following Peripheral Nerve Injury and Repair. J Neurosci. 2023;43:4390–4404.
6. Xianyu M, Zhenggang B, Laijin L. Identification of the sensory and motor fascicles in the peripheral nerve: A historical review and recent progress. Neurol. India 2016;64:880–885.
7. Zhou X, Du J, Qing L, Mee T, Xu X, Wang Z, et al. Identification of sensory and motor nerve fascicles by immunofluorescence staining after peripheral nerve injury. Journal of Translational Medicine.2021;19: 207.
8. He Q, Yu F, Cong M, Ji Y, Zhang Q, Ding F. Comparative Proteomic Analysis of Differentially Expressed Proteins between Injured Sensory and Motor Nerves after Peripheral Nerve Transection. Journal of Proteome Research.2021;20: 1488–1508.
9. Xianyu M, Zhenggang B, Jian S, Laijin L. Differential Protein Expression between the Motor and Sensory Fascicles in Rat Femoral Nerve Injury. Neurol India. 2024;72:90–95.
10. Meng X,Lu L,Wang H,Liu B. Differentiation between the motor and sensory fascicles of the peripheral nerves from adult rats using annexin V-CdTe-conjugated polymer. Neurol. India 2011;59:333–338.
11. Wariyar SS, Ward PJ. Application of Electrical Stimulation to Enhance Axon Regeneration Following Peripheral Nerve Injury. Bio Protoc. 2023;13:e4833.
12. Cheburkanov V, Du J, Brogan DM, Berezin MY, Yakovlev VV. Toward peripheral nerve mechanical characterization using Brillouin imaging spectroscopy. Neurophotonics. 2023;10:035007.
13. Xie JX, Pu XP, Bao JF, Li YZ, Chen YH, Li CL. Purification and identification of a 35 kD specific protein (SSP-35) of rat spinal sensory ganglia. Chin J Biochem Mol Biol. 2001;17:306–310.
14. Shen JY, Yu QS, Wang Q, Li Q, Pu XP. Secondary structure and neurotrophic effect of a 33.1 kDa specific protein (SSP-33.1) in spinal sensory ganglia. J Chin Pharm Sci. 2003;12:106–111.
15. Wang H, Ma F, Wang F, Liu D, Li X, Du S. Identification of motor and sensory fascicles in peripheral nerve trunk using immunohistochemistry and micro-Raman spectroscopy. J Trauma. 2011;71:1246–1251.
16. Cordeiro MF, Hill D, Patel R, Corazza P, Maddison J, Younis S. Detecting retinal cell stress and apoptosis with DARC: Progression from lab to clinic. Prog Retin Eye Res. 2022;86:100976.
17. Wu JY, Huang YC. Low-energy-consumption rapid synthesis of carbon dots at room temperature from combusted food waste with versatile analytical applications. Food Chem. 2024; 446:138908.
Author information
Authors and Affiliations
Contributions
M.C. contributed to conceptualization, investigation, methodology, original draft, and editing; L.C. contributed to software, conceptualization, and original draft; C.A. contributed to software and original draft; Z.X. and Z.L. contributed to resources and editing; Z. B contributed to validation and editing.
Corresponding author
Ethics declarations
Competing interests
The authors declare no competing interests.
Ethics approval
The research protocol was approved by the Ethics Committee of the First Affiliated Hospital of Heilongjiang University of Chinese Medicine and all experiments were performed in accordance with relevant guidelines and regulations.
Arrive guideline
The study is reported in accordance with ARRIVE guidelines.
Additional information
Publisher’s note
Springer Nature remains neutral with regard to jurisdictional claims in published maps and institutional affiliations.
Rights and permissions
Open Access This article is licensed under a Creative Commons Attribution-NonCommercial-NoDerivatives 4.0 International License, which permits any non-commercial use, sharing, distribution and reproduction in any medium or format, as long as you give appropriate credit to the original author(s) and the source, provide a link to the Creative Commons licence, and indicate if you modified the licensed material. You do not have permission under this licence to share adapted material derived from this article or parts of it. The images or other third party material in this article are included in the article’s Creative Commons licence, unless indicated otherwise in a credit line to the material. If material is not included in the article’s Creative Commons licence and your intended use is not permitted by statutory regulation or exceeds the permitted use, you will need to obtain permission directly from the copyright holder. To view a copy of this licence, visit http://creativecommons.org/licenses/by-nc-nd/4.0/.
About this article
Cite this article
Meng, X., Li, C., Cui, A. et al. Identification of peripheral nerve functional fascicles in Sprague-Dawley rats by the carbon quantum dot-Annexin V antibody complex. Sci Rep 14, 25691 (2024). https://doi.org/10.1038/s41598-024-77276-y
Received:
Accepted:
Published:
Version of record:
DOI: https://doi.org/10.1038/s41598-024-77276-y






