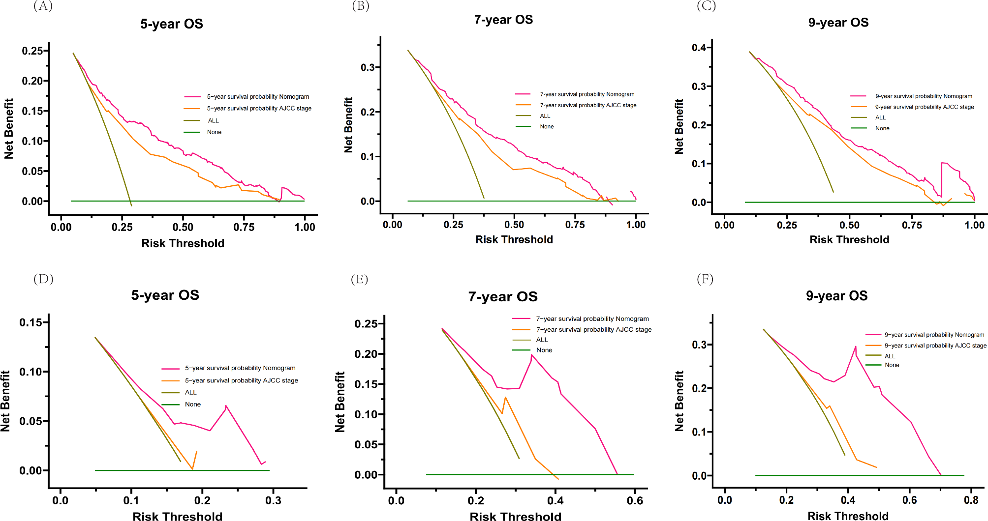
Fig. 3

DCA curves for the nomogram and AJCC stage model in predicting the prognosis of patients with ACCHN at (A) 5-year, (B) 7-year, and (C) 9-year points in the training cohort, and (D) 5-year, (E) 7-year, and (F) 9-year points in the validation cohort. The x-axis shows threshold probabilities, while the y-axis represents net benefits, calculated by adding true positives and subtracting false positives. DCA, decision curve analysis; ACCHN, adenoid cystic carcinoma of the head and neck; AJCC, American Joint Committee on Cancer.