Abstract
Emotional contagion can be defined as the transfer of an emotional state from the demonstrator of that state towards an observer. Social buffering is a process by which the demonstrator has a reduced stress response due to the presence of one or more other individuals. While both processes are well studied separately, it is unknown whether and how both processes are related. Therefore, the aim of this study was to investigate the relation between emotional contagion and social buffering in pigs. Hereto correlations were performed between measures of emotional contagion (i.e., the difference in behaviour of observer pigs between a situation with and without demonstrator pigs present) and measures of social buffering (i.e., the difference in behaviour of demonstrator pigs in a negative situation with and without observer pigs present). The results did not point towards a clear and consistent relation as only few and contrasting correlations between measures of emotional contagion and social buffering were found, and after correcting for chance no significant correlations remained. To conclude, more research is needed on the relation between emotional contagion and social buffering to shed light on how and when emotions will spread through and/or are buffered in a group of animals.
Similar content being viewed by others
Introduction
When an animal expresses a positive or negative emotional state1,2,3, other animals may sense this and become ‘infected’ with this emotional state. This process is referred to as emotional contagion4,5,6. Emotional contagion has been described to be present in a wide number of species7 such as, for instance, rats8 and ravens9, and it also seems to occur in pigs10,11,12,13. Emotional contagion is considered essential for an adaptive social life14 as sharing emotional states can facilitate social interactions and communication between individuals, resulting in higher cooperation and coordination among and better bonding between group members, and thereby promoting survival of the group7,15,16.
Another process that can occur in socially living animals is social buffering. During this process an individual’s distress response to a stressor is less intense due to the presence of one or more other animals17,18,19. There are two ways through which distress responses can be buffered: through the mere presence of the other animal(s) (i.e., passive social buffering) or through their active behaviours such as consolation and other forms of helping behaviour (i.e., active social buffering)18,20,21. Social buffering has been reported in a variety of animal species17,22, for example in chickens20, zebrafish23 and pigs24,25,26,27. Similar to emotional contagion, social buffering is thought to positively contribute to group life as the process can, for example, be used to communicate information to others, maintain bonds between individuals, and promote health and survival17,18,19,22,28. In both processes, the senses play a role as for emotional contagion to occur the observer has to see, hear, touch and/or smell the emotional state of the demonstrator16,29,30,31,32,33, and for social buffering to occur the distressed animal must perceive - using its senses - that a partner is present17,18,19,28. Whether all senses are needed or whether one sense suffice, is species-specific and likely depends on the type of emotion or stressor16,17,18,19,28,32.
Studies in pigs10,11 and rats34 indicated the presence of negative emotional contagion as observers of the emotional state of others (i.e., the demonstrators) became incited with this same negative emotional state. In addition, it was found that the demonstrators seemed to have a reduced negative emotional state due to the presence of the observers, suggesting the occurrence of social buffering. It is, however, to our knowledge not clear whether and how both processes are related20,30. Interestingly, a study in chickens showed that when hens were more aroused by observing their chicks undergoing an aversive stimulus, buffering of the chicks’ stress response by these hens was less strong20. Emotional contagion and social buffering may, thus, possibly be negatively related. On the other hand, a study performed with human subjects35 suggested that buffering of negative emotional states is stronger if the demonstrator of the negative emotional state and the observer ‘feel’ emotionally more similar than when they experience different emotional states. Another possible relation between both processes could therefore be that emotional contagion is needed for buffering to take place and that they are, thus, positively related.
Pigs have elaborate social36,37 and cognitive skills37,38,39 and communicate using a range of senses, but mainly through sound and smell37,38. As both emotional contagion and social buffering have been found to occur in pigs, pigs are a good model species to use to investigate the relation between emotional contagion and social buffering. The aim of this study was therefore to investigate which of these two suggested relations between emotional contagion and social buffering20,35 would occur in pigs. Hereto, we used the data of Reimert et al.11 and followed a similar procedure to the study in chickens by Edgar et al.20.
Results
To investigate whether the degree of emotional contagion expressed by the observer pigs was related to their effectiveness of buffering the negative emotional state of the demonstrator pigs, correlations were performed between the difference in behaviour of the observer pigs in a test room either with presence of demonstrator pigs in a negative treatment or without demonstrator pigs present (as a measure of emotional contagion) and the difference in behaviour of the demonstrator pigs during the negative treatment they were exposed to with and without observer pigs present (as a measure of social buffering).
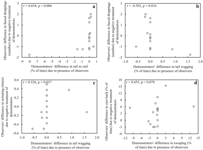
Three correlations were found to be significant (P < 0.05) and there was one tendency for a correlation (P < 0.10). The observer pigs’ difference in number of faecal droppings was positively correlated with the demonstrator pigs’ difference in percentage of time with the tail in a curl (Fig. 1a), and negatively correlated with the demonstrator pigs’ difference in percentage of time tail wagging (Fig. 1b), the observer pigs’ difference in frequency of urinating was positively correlated with the demonstrator pigs’ difference in percentage of time tail wagging (Fig. 1c), and lastly, the observer pigs’ difference in percentage of time ears backwards tended to be positively correlated with the demonstrator pigs’ difference in percentage of time escape behaviour (Fig. 1d). Some individual demonstrator pairs of pigs differed a lot in tail in curl (Fig. 1a) and escape behaviour (Fig. 1d) from the other pigs. Removing these outlier values, however, did not change these two correlations (for the correlation in Fig. 1a: r = 0.571, p = 0.026; for the correlation in Fig. 1d: r = 0.579, p = 0.030). No other significant or tendencies for correlations between the observer and demonstrator pigs’ responses were found (Supplementary Table 1). However, four correlations out of 49 correlations tested is not above chance (i.e., after Bonferroni correction no significant correlations remained with a new P-value of 0.001).
Correlations between the observer pigs’ possible emotional behavioural response to the negative emotional state of the demonstrator pigs and observer pigs’ possible social buffering effect of the negative emotional state of the demonstrator pigs. The correlation coefficient (r) and P-value of the correlation are given for each found correlation (panel a-d).
Discussion
In this study, we aimed to investigate whether and how emotional contagion and social buffering could be related in pigs. If pigs first need to share the negative emotional state of other pigs, before being able to buffer the negative emotional state of these others, a positive relation between both processes would be expected. Alternatively, they could be negatively related if pigs that are less affected by the negative emotional state of others can better buffer the other pigs’ negative emotional state. To study the relation between emotional contagion and social buffering we correlated measures of social buffering (represented by the difference in behaviour of demonstrator pigs under stress with and without observer pigs present) and emotional contagion (represented by the difference in behaviour of observer pigs with and without demonstrator pigs under stress present). Our results did not clearly point towards one of the two proposed relations as only few and contrasting correlations between measures of social buffering and emotional contagion were found.
Three significant correlations and one tendency for a correlation between the difference in behavioural responses of the pairs of demonstrator and observer pigs in the presence or absence of the other pairs were found. A positive correlation between the observer pigs’ difference in faecal droppings with and without stressed demonstrator pigs present – indicative of emotional contagion - with the demonstrator pigs’ difference in tail in curl with or without observer pigs present – as indicator of social buffering - was found. This could suggest that pigs may be better able to buffer the negative emotional state of other pigs if they share the negative emotional state of these others35, as much defecating is considered to be an indicator of a negative10,40 and tail in curl of a neutral to positive emotional state10,41. The positive correlation between the observer pigs’ difference in urinating, associated with a negative emotional state10,42,43, with the demonstrator pigs’ difference in tail wagging, likely indicating a positive emotional state10,44, points in the same direction. In contrast, however, the negative correlation between the observer pigs’ difference in faecal droppings with the demonstrator pigs’ difference in tail wagging suggests that pigs that are less negatively affected by the negative emotional state of others, can better buffer that negative emotional state20. The last correlation, a tendency for a positive correlation between the observer pigs’ difference in ears back with the demonstrator pigs’ difference in escape behaviour, with both behaviours associated with a negative emotional state10,13,40,45,46, would support such a negative relationship between emotional contagion and social buffering. Thus, our study does not point to an unequivocal relationship between emotional contagion and social buffering, and, moreover, when correcting for chance, no significant correlations remained at all.
One reason for the absence of consistent relationships between indicators of emotional contagion and social buffering could be the choice of the seven behaviours tested. The occurrences of these behaviours have been demonstrated to differ during positive versus negative events in pigs, also in pigs from the present study, and were assumed to be indicative of valence11. Time spent standing alert, however, even though generally associated with stress and fear27,47,48,49 does not always differ between pigs exposed to positive and negative events10,11, and, moreover, even increased in the presence of observer pigs in the present study11, likely reflecting heightened attention or arousal rather than a negatively valenced emotional state only. This indicates that this behaviour may not be an unambiguous indicator of a negative state, but may also reflect attention or arousal. In addition, tail in curl has been considered to be an indicator of a neutral to positive emotional state10,41, whereas in pigs from the present study it was seen less during a positive situation11, probably because the increase in tail wagging that occurred in this situation was at the expense of tail in curl. Also, not all behaviours tested were (always) affected by social buffering and/or emotional contagion in previous studies10,11,13,27.
In addition, the expression of some behaviours varied largely between individual pigs and pairs of pigs. Such individual differences in behaviour under stressful conditions could therefore be another reason for the inconsistency in results. A characteristic of individual pigs that affects their behaviour under stressful conditions is their coping style or personality. Pigs with a more proactive coping style are more likely to show increased activity under stress, as indicated by, for instance, more walking and escape behaviour, whereas reactive pigs tend to display more passive behaviours when stressed, such as standing alert27,50,51,52,53. Moreover, social buffering of stress-related behaviours also has been shown to depend on coping style27, with reactive pigs seemingly benefitting more from social buffering than pigs with a proactive coping style (by pigs with a similar coping style). The coping style of the pigs in the present study may thus both have influenced the expression of behaviours scored, and the effectiveness of social buffering, which may have obscured potential correlations. Apart from coping style, other modulating factors of emotional contagion and/or social buffering, such as the bond or relationship between the individuals, sex, familiarity and age have been reported7,15,17,18,1932,54, of which only the bond between individuals may have diverged in this study, as pigs were all of equal age and sex. Moreover, the effectiveness of both processes may be influenced by the number and type of senses available to use1617,18,1928,32. In this study, the pigs could not see and touch each other. It could be that both processes would have been more clear and thereby finding more significant correlations when they could have seen and touch each other. This seems, however, unlikely as for pigs hearing and smelling are more important in communication than seeing and touch37,38.
The putative relationship between emotional contagion and social buffering may be more complex than assumed to reveal consistent correlations in our approach. Firstly, a potential difference in timing of social buffering and emotional contagion may have masked potential relationships as both processes were studied over a period of 4 min, whereas it is unknown whether they are simultaneously and continuously going on or follow each other, and for how long they last. In addition, in our study we used the behaviour of demonstrator pigs in presence or absence of their observers to reflect social buffering, and, vice versa, the behaviour of observer pigs in presence or absence of the demonstrator pigs to reflect emotional contagion, but it cannot be excluded that both processes occurred in all pigs, irrespective of their status as negative-emotional-state demonstrator, or as observer. The timing and direction of both processes could be studied more in depth in future research by analysing the behaviour of the paired animals sec to sec using Granger causality34. Granger causality is a statistical concept that can be used to explore the relation between two variables (e.g., two behaviours) for a certain time interval (e.g., a sec). Briefly, it shows whether the past occurrence of a variable explains the present occurrence of another variable. Higher G-causality values indicate higher temporal coupling of the two variables34.
Secondly, the relation between social buffering and emotional contagion may also depend on whether active or passive social buffering takes place. In studies on active social buffering (helping behaviour) in humans35 and rats55 the observers first became negatively incited with the distress of the demonstrators, after which they could buffer the distress of the demonstrators by showing helping behaviour. It has even been proposed that emotional contagion is a key process needed for helping behaviour to occur33,56,57. It is unknown whether the same is true for passive social buffering as, to our knowledge, no previous studies have investigated its relationship with emotional contagion, and the results of our current study are inconclusive.
Thirdly, apart from contagion of the valence dimension of the emotional state, also socially-mediated arousal, or behaviour contagion may have influenced the behavioural responses of the pigs. These processes and their effects on behaviour may be dissociable from the effects of valence contagion58 and hence may show a different relationship with social buffering. Whereas behaviour contagion likely played a minor role in our study as observer and demonstrator pigs were not able to see each other, arousal contagion may have affected the outcome of the correlations. Arousal or stress contagion and passive social buffering have been shown to be negatively correlated in the elegant study of Edgar et al.20, indicating that the less observers are aroused by the distress of demonstrators, the better they buffer the demonstrators’ distress. A similar relation seems to be present for arousal contagion and active social buffering. For instance, it has been found that observer rats with a high corticosterone response in reaction to observing demonstrator rats being trapped were less likely to help the trapped rats compared with observer rats with a lower corticosterone response55. A recent study in pigs suggested a similar relationship between arousal contagion and helping behaviour45. In a case study in wild boar, however, in which an adult female released two young animals from a cage trap, it was unclear whether the response of the helping female reflected high arousal, a negatively valenced state, or both59. Thus, (active) social buffering is not necessarily related in the same way to arousal contagion as it is to valence contagion. Even though our study focused on behaviours assumingly reflecting the valence component of the pigs’ emotional states, we cannot exclude that (some of) these not only reflect valence, but also arousal. If so, this might be one of the reasons for the absence of clear and consistent correlations between social buffering and emotional contagion.
To conclude, we did not find indications of clear and consistent relations between social buffering and emotional contagion. More research is needed on the relation between emotional contagion and social buffering to shed light on how and when emotions will spread and/or are buffered within a group of animals such as pigs. With this knowledge, we may, in turn, be able to improve the health and welfare of both wild and captive animals7,20,54.
Methods
Ethical statement
This study was approved by the Animal Care and Use Committee of Wageningen University (code 2012100.b). The experiment was performed in accordance with established principles of laboratory animal care and use, as well as with the Dutch law on animal experiments and the European Directive 2010/63/EU. The ARRIVE guidelines for reporting animal experiments were taken into account in this study60.
Animals and housing
For this study, data of a subset of the pigs (i.e., 64 of the 96 pigs) of Reimert et al.11 were re-used. In that study, evidence for emotional contagion and social buffering was found, allowing for studying their potential relationship. Briefly, 64 Pietrain x (Great Yorkshire x Dutch Landrace) gilts were equally divided over two batches and 16 pens (eight pens per batch). Gilts were born at an organic farm in Raalte, the Netherlands and transported to experimental farm ‘Carus’ of Wageningen University, Wageningen, The Netherlands at 9 weeks of age. They were housed in pens of 5.1 m2 with the floor covered with wood shavings (68 l) and straw (around 1.5 kg). Pens were cleaned every day after which fresh straw and wood shavings (together about 500 g) were added. Food (a standard commercial diet for growing pigs) and water were available ad libitum. Lights were on between 7 a.m. and 7 p.m. Pigs could be individually recognized by an ear tag and a number sprayed (Raidex spray, Kommer Biopharm B.V., Heiloo, The Netherlands) on their backs.
Behavioural observations of demonstrator pigs
During a period of about 3.5 weeks, 32 demonstrator pigs (i.e., the training pigs in11) (two pigs/pen) were subjected to a positive treatment consisting of 4-min access in pairs to a 15.5 m2 compartment filled with straw, peat and several chocolate raisins hidden in the substrate, and a negative treatment consisting of 4-min of social isolation in a 2.3 m2 compartment combined with unpredictable negative events, such as restraint and loud noises, to induce respectively a positive and negative emotional state (see for all details in11 and below for the most relevant details for this paper only). Both compartments were located in a test room. All pigs walked to the test room by themselves (max 12 m from their home pen).
In this 3.5-week period, each pair of demonstrator pigs was subjected to two treatment sessions per day, one in the morning and one in the afternoon, during which they were exposed to either the positive treatment or the negative treatment, in a balanced way. There were at least 3 h between the two daily sessions for each pen. After each negative session, the defecations on the floor of the compartments were removed after which the floors (and walls) were scrubbed using a cleaning brush, water and cleaning agent and subsequently dried with a towel. The order in which the demonstrator pigs were subjected to the treatments, and the order of positive and negative treatments on a day was randomized for pen and day throughout the entire period, but in such a way that all pens experienced the positive and negative treatments the same number of times. The first 12 days pigs were exposed to the treatments every day of the week, and thereafter pigs were not exposed to the treatments in the weekend. The negative treatment consisted of different stressful events, to prevent habituation to the negative stimuli. On days 2, 4, 9, 12, 16, 19, 22 and 25, a person (not one of the experimenters) entered one of the negative compartments either directly or 2 min after the start of the treatment and restrained the pig there with a nose sling for 15 s. Thereafter, the same handling was done to the pig in the other negative compartment. On days 3, 5, 8, 11, 17 and 18, this person only threatened to restrain the pig by approaching the pig with the nose sling. On days 6 and 10, air from a noisy vacuum cleaner was blown for 15 s into both negative compartments at floor level at one min after the start of the treatment, and on days 7 and 15, two balloons, one at the level of each compartment, were simultaneously punctured with a needle at one min after the start of the treatment. On days 1, 23, 24 and 26, no additional handlings were carried out.
Thereafter, to test for emotional contagion of both emotional states, these pigs were again subjected to both treatments, but this time two of their pen mates, the observer pigs (i.e., the naïve pen mates in11) (n = 32 in total, two pigs/pen), were present in the same room in another compartment, but not experiencing the positive and negative treatment themselves. Demonstrator and observer pigs could hear and smell, but not see or touch each other when they were in their respective compartment(s).
For the aim of this study, we took the behaviour (ethogram in Table 1) of the demonstrator pigs during the negative treatment without (average of days 23 and 24 of the 3.5-week period) and with observer pigs present (day 26) into account. Defecating on these days was scored by counting the number of faecal droppings, and urinating was scored as having occurred or not. The other behaviours in Table 1 were scored as states from the video recordings using focal sampling and continuous recording with the Observer XT 10 software of Noldus Information Technology B.V., Wageningen, The Netherlands. The ethogram is less extensive compared to the ethogram in11, as, for example, some behaviour variables contained too many zeros to perform correlations (see section statistical analysis) or behaviours were not considered to be valenced behaviours11.
To capture whether the presence of observer pigs led to buffering of the emotional response of the demonstrator pigs to the negative treatment, we subtracted the behavioural responses of the demonstrator pairs of pigs during this treatment without observer pigs present from their behavioural responses during this treatment with observer pigs present, following the approach of Edgar et al.20.
Behavioural observations of observer pigs
The observer pigs were brought in pairs to the test room on days 19, 22, 23 and 24 without the demonstrators present. On these days, they were habituated to the test room, but were not given access to the treatments. For the aim of this study, we took the behaviour of the observer pigs (ethogram in Table 1) without the demonstrators present (average of days 23 and 24) and during the negative treatment of the demonstrator pigs (day 26) into account.
To capture the degree of emotional contagion in the observer pigs, we subtracted the behavioural responses of the observer pairs of pigs during exposure to the test room without demonstrator pigs from their behavioural responses when being present during the negative treatment of the demonstrator pigs, following the approach of Edgar et al.20.
Statistical analysis
SAS 9.4 (SAS Institute Inc.) was used for all statistical analyses. First the behaviours of the demonstrator pairs and the behaviours of the observer pairs were averaged because the pigs within a pair are not independent of each other11. Thereafter, correlations were performed to determine the presence of positive or negative correlations between the difference in observer pigs’ behavioural responses to the demonstrator pigs being subjected to a negative treatment (i.e., observer pigs’ responses to the negative treatment of the demonstrator pigs minus observer pigs’ responses without demonstrator pigs present) and the difference in demonstrator pigs’ behaviours as a result of the presence of the observer pigs during the negative treatment (i.e., demonstrator pigs’ behavioural responses to the negative treatment with observer pigs present minus their responses without observer pigs present)20.
Pearson correlations were performed when the response of both observer and demonstrator pigs followed a normal distribution (Skewness and Kurtosis < |2|, and a Shapiro-Wilk value ≥ 0.9 with a P-value ≥ 0.10, using the proc univariate procedure). Spearman correlations were performed when either one or both responses did not follow a normal distribution. Correlations were regarded significant with P < 0.05 and a trend with 0.05 < P < 0.10.
Data availability
Data are available upon request by contacting the corresponding author.
References
Kremer, L., Klein Holkenborg, S. E. J., Reimert, I., Bolhuis, J. E. & Webb, L. E. The nuts and bolts of animal emotion. Neurosci. Biobehav. Rev. 113, 273–286 (2020).
Mendl, M. & Paul, E. S. Animal affect and decision-making. Neurosci. Biobehav. Rev. 112, 144–163 (2020).
Paul, E. S. & Mendl, M. T. Animal emotion: Descriptive and prescriptive definitions and their implications for a comparative perspective. Appl. Anim. Behav. Sci. 205, 202–209 (2018).
Preston, S. D. & de Waal, F. B. M. Empathy: Its ultimate and proximate bases. Behav. Brain Sci. 25, 1–20 (2002).
de Waal, F. B. M. Putting the altruism back into altruism: The evolution of empathy. Annu. Rev. Psychol. 59, 279–300 (2008).
Adriaense, J. E. C., Koski, S. E., Huber, L. & Lamm, C. Challenges in the comparative study of empathy and related phenomena in animals. Neurosci. Biobehav. Rev. 112, 62–82 (2020).
Pérez-Manrique, A. & Gomila, A. Emotional contagion in nonhuman animals: A review. WIREs Cogn. Sci. 13, e1560 (2022).
Saito, Y., Yuki, S., Seki, Y., Kagawa, H. & Okanoya, K. Cognitive bias in rats evoked by ultrasonic vocalizations suggests emotional contagion. Behav. Process."Bold">132, 5–11 (2016).
Adriaense, J. E. C., Martin, J. S., Schiestl, M., Lamm, C. & Bugnyar, T. Negative emotional contagion and cognitive bias in common ravens (Corvus corax). PNAS 116, 11547–11552 (2019).
Reimert, I., Bolhuis, J. E., Kemp, B. & Rodenburg, T. B. Indicators of positive and negative emotions and emotional contagion in pigs. Physiol. Behav. 109, 42–50 (2013).
Reimert, I., Bolhuis, J. E., Kemp, B. & Rodenburg, T. B. Emotions on the loose: Emotional contagion and the role of oxytocin in pigs. Anim. Cogn. 18, 517–532 (2015).
Reimert, I., Fong, S., Rodenburg, T. B. & Bolhuis, J. E. Emotional states and emotional contagion in pigs after exposure to a positive and negative treatment. Appl. Anim. Behav. Sci. 193, 37–42 (2017).
Goumon, S. & Špinka, M. Emotional contagion of distress in young pigs is potentiated by previous exposure to the same stressor. Anim. Cogn. 19, 501–511 (2016).
Sato, N., Tan, L., Tate, K. & Okada, M. Rats demonstrate helping behavior toward a soaked conspecific. Anim. Cogn. 18, 1039–1047 (2015).
Špinka, M. Social dimension of emotions and its implication for animal welfare. Appl. Anim. Behav. Sci. 138, 170–181 (2012).
Briefer, E. F. Vocal contagion of emotions in non-human animals. Proc. R. Soc. B 285, 20172783 (2018).
Rault, J.-L. Friends with benefits: Social support and its relevance for farm animal welfare. Appl. Anim. Behav. Sci. 136, 1–14 (2012).
Wu, A. Social buffering of stress - physiological and ethological perspectives. Appl. Anim. Behav. Sci. 239, 105325 (2021).
Kiyokawa, Y. & Hennessy, M. B. Comparative studies of social buffering: A consideration of approaches, terminology, and pitfalls. Neurosci. Biobehav. Rev. 86, 131–141 (2018).
Edgar, J. et al. Social buffering in a bird. Anim. Behav. 105, 11–19 (2015).
Scheiber, I. B. R., Weiß, B. M., Frigerio, D. & Kotrschal, K. Active and passive social support in families of greylag geese (Anser anser). Behaviour 142, 1535–1557 (2005).
Hennessy, M. B., Kaiser, S. & Sachser, N. Social buffering of the stress response: Diversity, mechanisms, and functions. Front. Neuroendocrinol. 30, 470–482 (2009).
Faustino, A. I., Tacão-Monteiro, A. & Oliveira, R. F. Mechanisms of social buffering of fear in zebrafish. Sci. Rep. 7, 44329. https://doi.org/10.1038/srep44329 (2017).
Bolhuis, J. E., Verhave, P. S., van der Meer, W. J. M., Souza, A. S., van den Brand, H. & Kemp, B. Effects of social support by a familiar person or conspecific on responses to acute stress in pigs. In Proceedings of the 40th International Congress of the International Society of Applied Ethology (ISAE, 2006).
Tuchscherer, M., Kanitz, E., Tuchscherer, A. & Puppe, B. Effects of social support on glucocorticoid sensitivity of lymphocytes in socially deprived piglets. Stress 19, 325–332 (2016).
Kanitz, E., Hameister, T., Tuchscherer, M., Tuchscherer, A. & Puppe, B. Social support attenuates the adverse consequences of social deprivation stress in domestic piglets. Horm. Behav. 65, 203–210 (2014).
Reimert, I., Bolhuis, J. E., Kemp, B. & Rodenburg, T. B. Social support in pigs with different coping styles. Physiol. Behav. 129, 221–229 (2014).
Oliveira, R. F. & Faustino, A. I. Social information use in threat perception: Social buffering, contagion and facilitation of alarm responses. Commun. Integr. Biol. 10, e1325049 (2017).
Edgar, J. L., Nicol, C. J., Clark, C. C. & Paul, E. S. Measuring empathic responses in animals. Appl. Anim. Behav. Sci. 138, 182–193 (2012).
Baciadonna, L., Duepjan, S., Briefer, E. F., de la Padilla Torre, M. & Nawroth, C. Looking on the bright side of livestock emotions—the potential of their transmission to promote positive welfare. Front. Vet. Sci. 5, 218. https://doi.org/10.3389/fvets.2018.00218 (2018).
Düpjan, S., Krause, A., Moscovice, L. R. & Nawroth, C. Emotional contagion and its implications for animal welfare. CABI Rev. 15, 1–6 (2020).
Hernandez-Lallement, J., Gómez-Sotres, P. & Carrillo, M. Towards a unified theory of emotional contagion in rodents - a meta-analysis. Neurosci. Biobehav. Rev. 132, 1229–1248 (2020).
Keysers, C., Knapska, E., Moita, M. A. & Gazzola, V. Emotional contagion and prosocial behavior in rodents. Trends Cogn. Sci. 26, 688–706 (2022).
Han, Y., Sichterman, B., Carrillo, M., Gazzola, V. & Keysers, C. Similar levels of emotional contagion in male and female rats. Sci. Rep. 10, 2763. https://doi.org/10.1038/s41598-020-59680-2 (2020).
Townsend, S. S. M., Kim, H. S. & Mesquita, B. Are you feeling what I’m feeling? Emotional similarity buffers stress. Soc. Psychol. Pers. Sci. 5, 526–533 (2014).
Graves, H. B. Behavior and ecology of wild and feral swine (Sus Scrofa). J. Anim. Sci. 58, 482–492 (1984).
Marino, L. & Colvin, C. M. Thinking pigs: A comparative review of cognition, emotion, and personality in Sus domesticus. Int. J. Comp. Psychol. 28, 1. https://doi.org/10.46867/ijcp.2015.28.00.04 (2015).
Held, S., Cooper, J. J. & Mendl, M. T. Advances in the study of cognition, behavioural priorities and emotions in The Welfare of Pigs (ed. Marchant-Forde, J. N.) 47–94 (Springer Science+Business Media B.V., 2009).
Zebunke, M., Puppe, B. & Langbein, J. Effects of cognitive enrichment on behavioural and physiological reactions of pigs. Physiol. Behav. 118, 70–79 (2013).
Mendl, M. & Paul, E. S. Consciousness, emotion and animal welfare: Insights from cognitive science. Anim. Welf. 13, S17-25 (2004).
Camerlink, I. & Ursinus, W. W. Tail postures and tail motion in pigs: A review. Appl. Anim. Behav. Sci. 230, 105079 (2020).
Mendl, M., Erhard, H. W., Haskell, M., Wemelsfelder, F. & Lawrence, A. B. Experience in substrate-enriched and substrate-impoverished environments affects behaviour of pigs in a T-Maze task. Behaviour 134, 643–659 (1997).
Hall, C. S. Emotional behavior in the rat. I. Defecation and urination as measures of individual differences in emotionality. J. Comp. Psychol. 18, 385 (1934).
Marcet Rius, M. et al. Tail and ear movements as possible indicators of emotions in pigs. Appl. Anim. Behav. Sci. 205, 14–18 (2018).
Moscovice, L. R., Eggert, A., Manteuffel, C. & Rault, J.-L. Spontaneous helping in pigs is mediated by helper’s social attention and distress signals of individuals in need. Proc. R. Soc. B 290, 20230665 (2023).
Boissy, A. et al. Cognitive sciences to relate ear postures to emotions in sheep. Anim. Welf. 20, 47–56 (2011).
Ursinus, W. W. et al. Relations between peripheral and brain serotonin measures and behavioural responses in a novelty test in pigs. Physiol. Behav. 118, 88–96 (2013).
Paul, E. S., Harding, E. J. & Mendl, M. Measuring emotional processes in animals: The utility of a cognitive approach. Neurosci. Biobehav. Rev. 29, 469–491 (2005).
Murphy, E., Melotti, L. & Mendl, M. Assessing emotions in pigs: Determining negative and positive mental states in Understanding the behaviour and improving the welfare of pigs (ed. Edwards, S.) 455–496 (Burleigh Dodds Science Publishing, 2021).
Bolhuis, J. E. & Schouten, W. G. P. Behavioural responses in a restraint test of pigs with different backtest classifications. In Proceedings of the 36th International Congress of the International Society of Applied Ethology (ISAE, 2002).
Hessing, M. J. C., Hagelsø, A. M., Schouten, W. G. P., Wiepkema, P. R. & van Beek, J. A. M. Individual behavioral and physiological strategies in pigs. Physiol. Behav. 55, 39–46 (1994).
Reimert, I., Rodenburg, T. B., Ursinus, W. W., Kemp, B. & Bolhuis, J. E. Responses to novel situations of female and castrated male pigs with divergent social breeding values and different backtest classifications in barren and straw-enriched housing. Appl. Anim. Behav. Sci. 151, 24–35 (2014).
Kanitz, E. et al. Coping style of pigs is associated with different behavioral, neurobiological and immune responses to stressful challenges. Front. Behav. Neurosci. 13, 173. https://doi.org/10.3389/fnbeh.2019.00173 (2019).
Brandl, H. B., Pruessner, J. C. & Farine, D. R. The social transmission of stress in animal collectives. Proc. R. Soc. B 289, 20212158 (2022).
Ben-Ami Bartal, I. et al. Anxiolytic treatment impairs helping behavior in rats. Front. Psychol. 7, 850. https://doi.org/10.3389/fpsyg.2016.00850 (2016).
de Waal, F. B. M. & Preston, S. D. Mammalian empathy: Behavioural manifestations and neural basis. Nat. Rev. Neurosci. 18, 498–509 (2017).
Peen, N. F., Duque-Wilckens, N. & Trainor, B. C. Convergent neuroendocrine mechanisms of social buffering and stress contagion. Horm. Behav. 129, 104933 (2021).
Edgar, J. L. & Nicol, C. J. Socially-mediated arousal and contagion within domestic chick broods. Sci. Rep. 8, 10509. https://doi.org/10.1038/s41598-018-28923-8 (2018).
Masilkova, M. et al. Observation of rescue behaviour in wild boar (Sus scrofa). Sci. Rep. 11, 16217. https://doi.org/10.1038/s41598-021-95682-4 (2021).
du Sert, N. P. et al. Reporting animal research: Explanation and elaboration for the ARRIVE guidelines 2.0. PLoS Biology 18, e3000411. https://doi.org/10.1371/journal.pbio.3000411 (2020).
Acknowledgements
This study was part of the project ‘Seeking sociable swine? Incorporating social genetic effects into pig breeding programs to achieve balanced improvement in productivity and welfare’ which was financially supported by the program ‘The Value of Animal Welfare’ of the Netherlands Organization for Scientific Research (NWO) and by the Dutch Ministry of Economic Affairs.
Author information
Authors and Affiliations
Contributions
I.R. conceptualized the study, collected and analysed the data, drafted and revised the manuscript. J.E.B. provided feedback on the analysis and manuscript. All authors approved the final version.
Corresponding author
Ethics declarations
Competing interests
The authors declare no competing interests.
Additional information
Publisher’s note
Springer Nature remains neutral with regard to jurisdictional claims in published maps and institutional affiliations.
Electronic supplementary material
Below is the link to the electronic supplementary material.
Rights and permissions
Open Access This article is licensed under a Creative Commons Attribution-NonCommercial-NoDerivatives 4.0 International License, which permits any non-commercial use, sharing, distribution and reproduction in any medium or format, as long as you give appropriate credit to the original author(s) and the source, provide a link to the Creative Commons licence, and indicate if you modified the licensed material. You do not have permission under this licence to share adapted material derived from this article or parts of it. The images or other third party material in this article are included in the article’s Creative Commons licence, unless indicated otherwise in a credit line to the material. If material is not included in the article’s Creative Commons licence and your intended use is not permitted by statutory regulation or exceeds the permitted use, you will need to obtain permission directly from the copyright holder. To view a copy of this licence, visit http://creativecommons.org/licenses/by-nc-nd/4.0/.
About this article
Cite this article
Reimert, I., Bolhuis, J.E. Possible relations between emotional contagion and social buffering. Sci Rep 14, 25944 (2024). https://doi.org/10.1038/s41598-024-77394-7
Received:
Accepted:
Published:
Version of record:
DOI: https://doi.org/10.1038/s41598-024-77394-7
Keywords
This article is cited by
-
Gilts are motivated to exit a stall
Scientific Reports (2025)



