Fig. 12

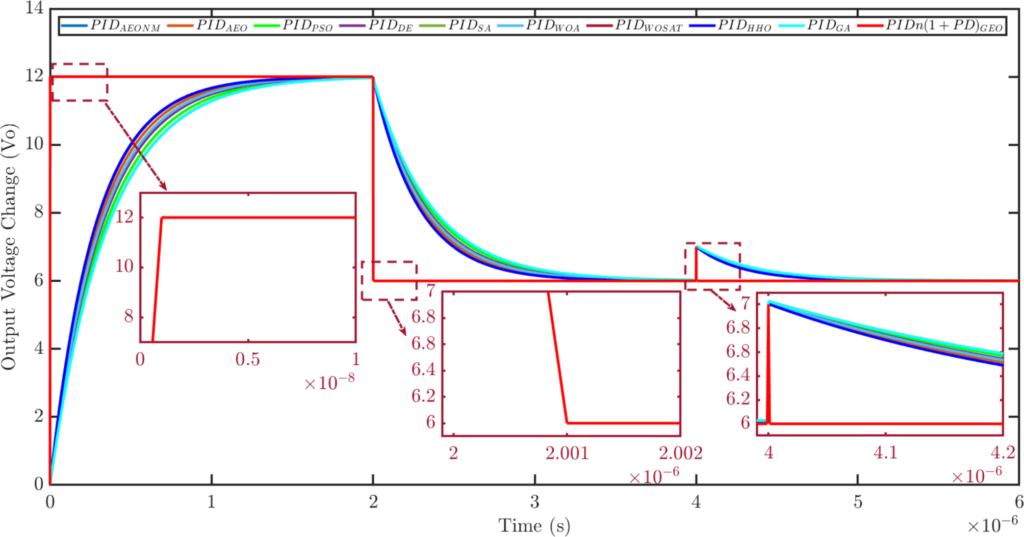
Output voltage of the closed-loop buck converter during reference voltage changes and disturbances by employing proposed and different PID controllers.

Output voltage of the closed-loop buck converter during reference voltage changes and disturbances by employing proposed and different PID controllers.