Abstract
Risk perception is one of the factors that guide human behavior in the workplace. In accident prevention and emergency response, the risk perception of employees affects the safety behaviour and efficiency of emergency disposal. Besides, risk perception is a complicated process restricted by many influencing factors. The study aims to identify the most important factors affecting risk perception. This study had three phases. In the first, factors affecting the risk perception were extracted based on the questionnaire survey and the expert scoring. Then, the Interpretive Structure Model (ISM) was used to stratify the 14 influencing factors of risk perception and obtain a hierarchical structure chart. Finally, by analyzing the influence paths in the ISM, the system dynamics feedback loop diagram was constructed. The model took the state variable “risk perception→ risk response→ risk identification→ risk communication→ risk perception” as the main circular loop, and was supplemented and perfected by multiple feeder loop circuits. Research indicates risk experience is the most fundamental factor affecting risk perception. In the aspect of sensitivity analysis, the study shows that the risk perception of employees is related to the distance of the risk source. Its effectiveness in quantifying qualitative data, identifying influential factors, and establishing cause-effect relationships make it a valuable tool for enhancing risk perception in chemical industry park.
Similar content being viewed by others
Introduction
As an important carrier of economic development, chemical parks play an important role in China’s economic development. As of 2023, there are more than 630 chemical parks in China. The prevention of major safety accidents is an important topic in the global chemical industry. However, frequent safety production accidents have caused serious damage to people’s lives and property1. Therefore, it is of great significance to identify potential risks in the production process of the chemical industry and explore the influence relationship and transmission law of risk factors to reduce safety production accidents.
The purpose of risk analysis is to identify the risk factors that affect the occurrence of accidents in the system, describe the risks qualitatively or quantitatively according to the actual situation, explore the interaction between risk factors, find out the key factors that lead to accidents, and take relevant measures to prevent accidents2. Zhang et al.3 has realized the system dynamics simulation of the perceived level of the accident risk of the chemical industry park by the enterprise decision makers and the general public, and preliminarily obtained the quantitative relationship between the risk perception of the chemical industry park and the influencing factors. He et al.4 proposed a quantitative risk assessment method for chemical domino accidents based on field theory and Monte Carlo simulations, aiming to obtain the dynamic distribution of individual risks caused by domino accidents. Koyuncugil et al.5 proposed a risk early warning system based on data mining, which reduces the likelihood of accidents by identifying risk indicators, risk profiles, and early warning information. Zhang et al.6 believed that most accidents are related to human error, and that the Human Reliability Analysis (HRA) method is a key choice for preventing accidents and predicting the probability of human error (HEP). Human error is an important factor that causes accidents during the unloading of oil terminals. In order to improve the quality of HEP estimation in unloading operations for safety and risk management, Zhang et al.7 proposed fuzzy cream model provides an improved method to determine human reliability and high-performance unloading performance.
In the late 1970s and early 1980s, matrix for comparing risk perception were designed by Paul Slovic et al., to study the perceived levels of “unknown” and “dread” shaping attitudes towards risks8. Sullivan-Wiley used farm household survey data to reflect the four indicators of several components of risk perception, and predicts overall risk perception through multiple regression analysis9. Furthermore, a lot of research has been conducted on the relationships of risk perception. Real media exposure has a positive effect on risk perception10. Some researchers believe that they will not be able to perceive the relevant risk when workers do not identify risks, in other words, risk identification affects risk perception11. Risk perception largely a function of individual affective reactions to the hazard, With increasing experience, risk perception decreases12. Risk identification and security risk perception are often considered the first steps in developing a security risk management strategy13. They think different human errors can hinder the effective implementation of the construction site safety risk management process.
Interpretive structural modeling (ISM) is one of the most widely used techniques for identifying complex structural relationships between various elements and is commonly used in several disciplines14. Katiyar et al.15analyzed the hierarchical structure and causal relationships between the barriers that affect the coal mining process using a mixed approach of the Explanatory Structure Model (ISM) and the Decision Experimental Evaluation Laboratory (DEMATEL). Agrawal P et al.16 study analysis of enablers for the digitalization of supply chain using an interpretive structural modelling approach. In this study, Bao et al.17 took Huainan City, a typical coal city in China, as an example, and combined with the improved SD (System Dynamics) model, and analyzed the system dynamics of its RECC (Resource and Environmental Carrying Capacity). Using system dynamics to design a dynamic model based on predetermined scenarios can be used as an alternative to decision-making by managers and governments18.
Through the analysis of the above work, it can be found that the research on chemical accidents mainly focuses on exploring the laws and characteristics of accidents, and evaluating the severity and risk level of accident consequences, while few literatures focus on quantitative analysis of the relationship and interaction intensity between risk factors and accidents. In order to overcome the above problems, this paper uses a system analysis method combining Interpreted Structural Modeling (ISM) and SD to study the accident risk in the chemical industry. The combination of ISM and SD greatly reduces the subjectivity of researchers in constructing SD, reduces the interference of insufficient expert experience on the model structure, and thus improves the accuracy of the analysis results.
The research structure of this paper is as follows: In Sect. 2, a multi-level ladder structure model (ISM) was constructed and analyzed based on risk perception factors, and the causal relationship between the main factors of risk perception is deduced. In Sect. 3, based on the causal relationship of risk perception, system dynamics is combined to establish the causal relationship of risk perception and analyze it in a circular manner. Then the risk perception simulation model of enterprise employees is constructed, and the definition of variables and the meaning of simulation equations are discussed. Section 4 analyzes the simulation results to illustrate rationality. Then the sensitivity parameters of risk perception were filtered and analyzed to determine the relationship between the observed quantity and the control quantity. Finally, based on sensitivity analysis, the comparison and analysis of employee’s risk perception of normal accidents and abnormal accidents are carried out. It can be an effective emergency management to provide a new theoretical perspective and practical operation. The specific organization structure of this paper is shown in Fig. 1.
The specific organization structure.
Interpretive structural modeling
ISM was first proposed by American scientist Warfield in 1976. It is a widely used method of system science. It maps the system into a directed graph according to the binary relationship between the factors (subsystems) constituting the system, and reveals the structure of the system through Boolean logic operation19,20. Under the condition of not affecting the overall function of the system, it uses a concise directed topological graph to show the complex system, which is extremely readable, so that users can clearly understand the causal relationship and hierarchical structure of system factors15.
Determination of influencing factors
This study systematically reviewed about 20 articles related to risk perception, and the cited articles are introduced in the introduction. In addition, through discussion with experts and scholars in the field of safety, the influencing factors of employee risk perception of chemical park enterprises were screened out, and an index system of influencing factors of employee risk perception of chemical park enterprises was established, as shown in Table 1.
In this paper, the questionnaire survey method was used to survey the employees of chemical enterprises and experts in the chemical industry. Using a 5-point Likert scale, respondents were asked to rate 14 risk factors based on their importance from 1 to 5. A total of 100 experts were invited to form an expert group, all of whom have extensive work experience, and the information on the expert group is shown in Table 2.
In order to ensure the reliability and validity of the data obtained from the questionnaire, it is essential to test the reliability and validity of the sample data. Cronbach21 refers to the degree of repeatability as confidence level, which is the test of whether the sample data remains internally consistent and stable. The Cronbach α is by far the most commonly used method to test the degree of agreement. In this study, this method was used to check whether the reliability of the test could meet the standard, and the calculation method is as follows in Eq. (1):
where k is the total number of questions in the questionnaire, Si is the variance of the scores of the ith question, and Sx is the sum of the variances of the scores of all the questions. The closer the α value is to 1, the stronger the agreement between the items within the scale. In this paper, SPSS23.0 was used to test the reliability of 100 valid questionnaires, and the results showed that the Cronbach α was 0.917 with good internal consistency.
Model establishment and analysis
The specific steps for an interpretive structural model are as follows:
Step 1: establish relation matrix \(\:A={\left|{a}_{ij}\right|}_{n\times\:n}\), as shown in formula (2)
where \(\:{a}_{ij}\) represents the relationship between the factor Xi and the factor Xj and \(\:n\) represents the number of risk factors. when \(\:{a}_{ij}=0\), it means that Xi has no influence on Xj. when \(\:{a}_{ij}=1\), it means that Xi has influence on Xj.
Step 2: calculate the reachability matrix M, the reachable matrix M can be obtained by Boolean operations,
where I is the identity matrix and K is a positive integer.
Step 3: divide the reachability matrix into different levels, based on the reachability matrix M, the element level extraction is carried out according to formula (3).
where the reachability set \(\:R\left({X}_{i}\right)\) represents the set of column elements corresponding to the element with “1” in the row corresponding to element \(\:{X}_{i}\) in the reachability matrix, and the antecedent set\(\:\:Q\left({X}_{i}\right)\) represents the row element set corresponding to the element containing “1” in the column corresponding to the element \(\:{X}_{i}\) in the reachability matrix. The common set \(\:A\left({X}_{i}\right)\) is the intersection of the reachability set and the antecedent set. Factors in the same row belong to the same level, and the arrows indicate the direction of influence between the factors. Draw the multilevel hierarchical structure model22.
Identification of risk factor relationships by ISM
Since the relationship between risk factors is not well understood, it is difficult to construct a causal diagram of system dynamics directly. The ISM method can obtain a hierarchical diagram, which can be tuned to a system dynamics causal loop diagram. ISM aims to divide the problem into different levels and be able to effectively deal with the relationship between risk factors, so that the overall structure is clear and easy to understand. The ISM method is applied as follows:
Step1: Analyze the relationship between risk factors according to experts in the chemical industry. The relationship between the above 14 risk factors was determined, and then the adjacency matrix A was established according to Eq. (1), as shown in Eq. (5).
Step2: Using MATLAB 2020a software, the reachable matrix M is calculated according to Eq. (2), as shown in Eq. (6).
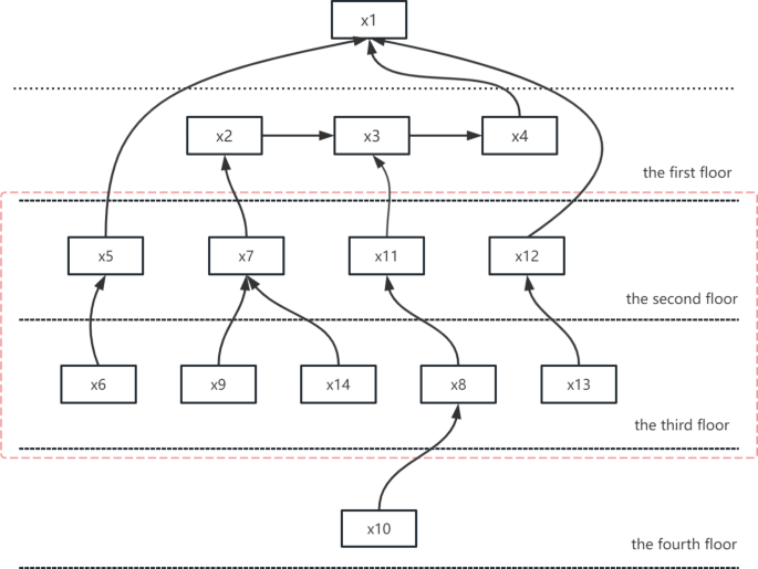
Step3: After obtaining the reachable matrix M, according to the Step3 of the ISM method in Sect. 2.1, the matrix is divided into multiple regions in detail, and then a multi-level hierarchical structure model reflecting the internal hierarchy and interrelationships of the system is constructed to reveal the interaction and influence paths between the elements. As shown in Fig. 2. (where the arrows point to represent the cause to the effect).
Multi-level digraph of the factors influencing employee risk perception.
In Fig. 2, the influencing factors of employee’s risk perception can be divided into four. According to the theory of ISM, the hierarchical cascade structure can be divided into three layers: representation, middle, and root. In this model, we regard the first floor as the representation layer, 2 and 3 floor level as the middle layer, the fourth floor as the root cause. Based on the above classification of the system, we drew the following conclusions:
Risk response, risk identification and risk communication are the most direct factors affecting the risk perception of employees in chemical enterprises. The safety education is the radical factor affecting risk perception. Three main paths can also be obtained from Fig. 2: ①X6→X5→X1;②X13→X12→X1;③X2→X3→X4→X1.This path provides an important support for the subsequent research system dynamics loop diagram, as shown in Fig. 3.
System dynamics
System Dynamics (System Dynamics, SD) was founded in 1956 and became an independent and complete discipline in the late 1950s, founded by Professor Forrest (Forrester J. W.) at the Massachusetts Institute of Technology (MIT)23. System dynamics is a subject of analyzing and studying information feedback system, and also a comprehensive interdisciplinary subject to understand and solve system problems24,25. Originally, the purpose of system dynamics was to analyze the management problems of production, logistics and inventory. It has now developed into a multidisciplinary and comprehensive applied discipline that can be used to study, analyze, and predict material feedback and information feedback systems, and has been applied in many fields, such as chemical enterprises26, industrial systems27, coal enterprises28, regional ecology29,etc.
Combination of ISM and SD
The research idea of this paper is to transform the multi-level directed diagram of ISM into a system dynamics causality diagram, and then quantitatively study the relationship and interaction intensity between accident risk factors and accidents in the chemical industry. The key to this approach lies in the construction of the ISM-SD model. Since the multi-level directed graph of ISM is usually complex, and there may be cyclic connections between risk factors, the multi-level directed graph of ISM is transformed into a system dynamics causal loop diagram, and then the SD model is constructed.
Risk perception causality construction
Through the brief analysis of the influencing factors of risk perception feedback loop, combined with the causal relationship between the main factors of risk perception induced by ISM, in particular, the directed hierarchical diagram shown in Fig. 2, we can obtain the risk perception causal diagram of employees in the face of emergencies in chemical industrial parks, as shown in Fig. 3. This largely solves past scholars the limitations of the subjective choice of cyclic loop diagram for system dynamics.
System Dynamics causality.
Risk perception feedback loop analysis
The causal cycle of the three feedback loops in the figure can be expressed as: Negative feedback loop N: Risk perception↑–Risk response↑–Risk identification↑–Risk communication↑–Risk perception↓. Positive feedback loop P: Risk perception↑––Psychological stress↑–Cognitive failure↑–Risk perception↑. Negative feedback loop O: Risk perception↑–Managers’ safety commitments↑–Employee’s compliance with security rules↑–Employee safe behavior↑–Risk perception↓. Where the arrow pointing up indicates an increase and the arrow pointing down indicates a decrease, which is the same ± meaning of the factor in Fig. 3. For example, a negative feedback loop O indicates a negative feedback effect when an employee’s unsafe behavior increases, resulting in a decrease in risk perception. The specific analysis is as follows:
(1) Negative feedback loop N analysis. Once an emergency occurs in a chemical industrial park, employees as front-line staff, are mainly concerned about the consequences and casualties. When employees identify the risk information of sudden accidents, the degree of risk perception rises sharply, and the total quantity increases rapidly. They will take the initiative to discover, identify and understand the risk, that is, the risk identification30. In the process of risk identification of employees, managers and government officials would quickly control the scene of the accident situation, thus reduces the scene of the accident risk factors. The enterprise staff is bound to generate communication in the crowd and make self-analysis and evaluation to the scene of the accident situation. Good risk communication helps to convey information rationally and meet the psychological needs of employees. For corporate employees, effective risk communication can help reduce employee risk perception31.
(2) Positive feedback loop P analysis. After the sudden accident, employees are affected by the risk information and the surrounding environment, inner fear and cumulative stress increasing, leading to staff cognitive disorders. According to the theory of cognitive dissonance, under the pressure of cognitive dissonance people pay special attention to all kinds of gossip, and will take some unconfirmed news as real message, to further increase their risk perception32. At the same time, negative intervention, psychological noise, and trust judgment can also increase employee risk perception, so that its growth rate rises sharply and forms a positive feedback loop.
(3) Negative feedback loop O analysis. Lu, etc. and Mearns through lots of questionnaire surveys of employees, management safety commitment and concern for worker safety management behavior can positively influence the choice of safety behavior of employees33,34. When an emergency occurs, the risk perception of employees will inevitably rise sharply, the staff unintentional work will lead to chaos in business management. At this point, the security commitment of management plays a key role in the safety choice of employees. The failure of any of these processes leads to ultimate insecurity35. Staff safety behavior increased, which will greatly reducing the risk of accident site and making the staff risk awareness decreases, the formation of negative feedback loop.
Risk perception SD model
The dynamic model of the system can depict the interaction between the main factors of the dynamic system (such as risk perception, risk identification and risk communication) in the face of the sudden situation, deepening the chemical industrial park under the emergency staff related behavior research and understanding. Based on the principle and method of system dynamics, with a combination of feedback loops, the SD model of employee risk perception can be formed, as shown in Fig. 4.
Employee risk perception influencing factors system flow diagram.
The SD memory flow chart established in the above diagram contains state variables, rate variables and auxiliary variables. The variables are shown in Table 3.
SD simulation equation construction
According to the constructed model and the logic relation of each state variable equation, using the differential, linear, exponential function, random function, delay function and table function, reasonable and effective system simulation. The specific variables are shown in Table 4.
Simulation and analysis of results
Negative feedback loop N: Risk perception↑–Risk response↑–Risk identification↑–Risk communication↑–Risk perception↓ (Distinguish between state variables in different colors), state variables in order of response are as follows: risk perception, risk identification, and risk communication. The time set in this paper is 100 h, and the interval is 1 h, as shown in Fig. 5.
System simulation results of negative feedback loop N.
(1) Risk perception system. The change law of risk perception simulation generally shows the trend of “slow rise → rapid rise → reach the peak → sharp fall → moderate”, which can be divided into four stages. In slow rise stage(0–15 h), the employees will collect, classify and analyze the event and the scene through various channels. After dealing with the brain, employee perceived risk was slow to rise, the simulation results of image amplitude to be small. In the rapid rise stage (15–45 h), with the development of the event, the risk perception grew rapidly and the total volume also increased accordingly. At the peak, the risk perception was the highest and stopped increasing. In the sharp decline stage (45–75 h), due to enterprise and the government to make a series of accident emergency decision-making and implementation of the program, and these decisions and programs have been specifically implemented and role, the accident spreads slowly or even stop, which can ease the consequences of the accident to further expand. In addition, employees are more familiar with similar emergencies, and they begin to relax their vigilance, which eventually leads to a sharp decline in risk perception, until it tends to stabilize.
(2) Risk identification system. In the face of an emergency, different people may have different risk identification due to various factors such as environment, safety knowledge, safety awareness, behavioral preference and personal experience. In addition, risk identification will allow employees to take different actions when faced with risks and even create obstacles in risk decision. Under the interference of risk perception, the degree of risk identification began to change slowly. On this basis, employees use the actual information obtained from the survey to revise the risk information. The brain forms specific emotions after identifying the previous information, which quickly dominate or affect further information selection, reasoning, decision-making and behavior, which are the formation of the concept of risk played a crucial role3.
(3) Risk communication system. The law of risk communication simulation generally shows the same trend as that of risk perception system, that is, " slow rise → rapid rise → reach the peak → sharp fall → moderate " This trend can be divided into four stages. Because risk communication is audience-centered, and employees at risk centers are at a very high level of anxiety, their risk communication tends to rise rapidly, leading to their inability to communicate information in a rational way. Scholars found that individuals with high risk of anxiety have higher levels of trust in various types of information channels and trust the professional media such as experts and governments36,37. Under the influence of risk perception and risk identification, it is reasonable for employee risk communication to show the trend of increasing first and then declining.
Sensitivity parameters screening and classification
The risk perception level is affected by the perceived rate and the response rate. Perceived rate is determined by cognitive failure, dangerous distance, employee safety behavior, loss of risk, park perceived rate and perceived delay. Response rate is determined by response delay and risk accepting possibility. Therefore, the selection of the most basic variables (variables for the sensitivity of the parameters) is a necessary step for authenticity test and sensitivity analysis. According to the Vensim PLE software, the risk decision causal tree is obtained; risk identification and risk communication causal trees can also be obtained, as shown in Fig. 6.
SD causal trees for: (a) Risk perception, (b) risk identification, (c) risk communication and (d) risk decision.
Sensitivity and correlation analysis
Sensitivity analysis is to analyze the sensitivity of the observed quantity to the control volume after the model is completed. The specific step is to set the control volume range, and then select the observation quantity, and the sensitive graph of ribbon and fan graph can be obtained by simulating many times. In addition, correlation analysis can set multiple control volumes and multiple observations. The influence of each control quantity on the observed quantity can be analyzed, and the influence of a set of control quantity on each observation quantity can also analyzed.
(1) The correlation analysis of risk accepting possibility and risk identification. Risk acceptance possibilities can be divided into five grades (grades 1–5), assigned to 0.1, 0.3, 0.5, 0.7, and 0.9. The results of the correlation analysis are shown in Fig. 7.
Simulation analysis of risk identification-risk accepting possibility.
Risk acceptance possibility comparison: 1 < 2 < 3 < 4 < 5. The results of the correlation analysis show that when employee the higher the probability of risk acceptance, the higher the ability to perceive the development of the problem, and the higher the ability to identify, and the risk identification, risk event identification, risk reasons and the consequences of the accident have a deeper understanding.
(2) The correlation analysis of dangerous distance and risk perception. Hazard source distance: within 500 m, 500–3000 m, more than 3000 m. The correlation analysis results are shown in Fig. 8.
Simulation analysis of risk perception-dangerous distance.
The results of the correlation analysis show that the risk perception of employees is related to the distance of the risk source. The simulation images of the model show that the employee’s perception level is the highest when it is 500–3000 m, and the risk perception level is higher than the risk perception level of more than 3000 m when it is within 500 m.
(3) The correlation analysis of risk response and risk communication. Risk response possibilities can be divided into five grades (grades 1–5), assigned to 0.2, 0.4, 0.6, 0.8, and 0.9. The correlation analysis results are shown in Fig. 9.
Simulation analysis of risk communication-risk response.
The results of correlation analysis show that the risk communication of employees is related to the degree of risk response. The trend of simulated images reflects that the more intense the risk response of employees, the higher the degree of risk communication.
Sensitivity analysis under different accidents
Accident status and risk perception are two influencing factors of interaction37. According to the previous introduction, the risk perception and behavior of the affected subject group after the normal emergencies will affected by the corresponding, and the people’s disaster psychology will lead to negative emotions and the increase of risk communication38. In the normal accident, employees experienced incidents, and will receive safety training and education. They have a perfect solution to this type of accident, reducing the possibility of further expansion of the accident. In a non-normal accident, employees cannot possibly be expected to take appropriate measures39. The risk perception, risk response and risk decision of employees in different accidents are numerically expressed to understand the risk change of employees in different accidents after major emergencies. As shown in Fig. 10.
(1) Risk perception comparison Figure 10a shows the size and variation of risk perception of employees in normal and abnormal accidents. Longitudinal comparison at the same time the risk perception of size, found under the abnormal situation, the enterprise staff in a sudden accident happened at the time of risk perception significantly higher than normal accident scenarios, and 50–120 h after the accident risk perception is still abnormal accident is significantly higher than normal accident, in accordance with the change trend of Fig. 10a.
(2) Comparison of risk response From Fig. 10b the comparison of the data can be seen, on the scenario, accident prevention is unknown, the employee causes of accidents and predict, the unexpected accidents caused casualties and various information of familiarity with slightly lower after the accident. Because of the fear of unknown events, the risk response of abnormal accidents is far greater than that of normal accidents in complex emergencies, which is consistent with the trend of Fig. 10b.
(3) Comparison of risk decision From Fig. 10c comparison of the data can be seen, on the scenario, the affected employees experience or witnessed people around the enormous damage, the impact is bigger, by comparing the draw abnormal accident risk decision significantly more than the normal accident. This is similar to the change trend in Fig. 10c.
Simulation comparison chart of: (a) Risk perception, (b) risk response, and (c) risk decision.
Based on the previous findings, we conclude that:
-
(1)
The degree of employee risk perception is much higher in abnormal accidents than in normal ones, and the difference is significant.
-
(2)
The degree of risk response is similar to that of risk perception, which is significantly higher in abnormal accidents than in normal ones. The stronger the perception, the stronger the response, vice versa.
-
(3)
Risk decision is influenced by risk perception and reaction. Risk decision of abnormal accidents is significantly higher than normal situation, and effective risk communication can promote the good development of accidents.
Conclusion and further study
This paper mainly examined the causal relationship between risk perception, risk identification and risk communication among employees in chemical industry park. Through ISM and the system dynamics, the risk perception simulation of enterprise employees was carried out, and the following main conclusions are obtained:
-
(1)
Research indicates that risk perception serves as the core intermediary variable. It has a great influence on people’s psychological and behavioral processes in a chemical park where an emergency occurs. From the test results, in all kinds of information factors, the main ones affecting risk perception are the emergency type and consequences. In particular, risk experience will directly affect the employee’s risk perception. In the aspect of sensitivity analysis, the study shows that the risk perception of employees is related to the distance of the risk source.
-
(2)
In the analysis of normal and non-normal accidents, the risk perception degree of employees was significantly higher in non-normal accidents than in normal situations, and the difference was significant. The degree of risk response is similar to that of risk perception, which is significantly higher in abnormal accidents than in normal ones. The stronger the perception was, the stronger the response was. The degree of risk decision is influenced by the risk perception and reaction is positively related. The effective risk decision can promote the good development of the accident and obviously higher than the normal scenario in the abnormal situation.
-
(3)
Management measures.
-
Develop measures to mobilize the enthusiasm of employees. In safety management, enterprise managers should do a good job in rewarding employees with material and spiritual rewards, and arouse the enthusiasm and consciousness of employees in safety work, which will improve the possibility risk perception of employees.
-
Formulate a reasonable safety policy. This means that leaders need to develop a safety policy to regulate the safety of their employees. When formulating safety policies, it is necessary to be reasonable to avoid employees from relying too much and losing their own risk perception.
-
-
(4)
Further study. There are still many problems to be further studied in this paper.
-
Firstly, this paper only studies the risk perception of employees in chemical companies. it will be an important task in the future to analyze the risk perception mechanism of other groups such as corporate decision-makers, surrounding residents, government decision-makers, security experts, etc.
-
Secondly, the establishment of the influencing factors system of state variables is imperfect, in fact, the influencing factors of employees’ risk perception will also be affected by external factors, such as government coordination, society, law, culture, etc. Future studies can incorporate these factors into the scope of the analysis and make the results of the analysis more comprehensive. Therefore, future research can use models to analyze the specific evolution paths of specific accidents, and can also be extended to other fields, not just the chemical field.
-
Data availability
The datasets used and/or analyzed during the current study are available from the corresponding author upon reasonable request.
References
Chen, C. & Reniers, G. Chemical industry in China: The current status, safety problems, and pathways for future sustainable development. Saf. Sci. 128, 104741 (2020).
Huang, W. Using an expanded safety failure event network to analyze railway dangerous goods transportation system risk-accident. J. Loss Prev. Process Ind. https://doi.org/10.1016/j.jlp.2020.104122 (2020).
Zhang, M., Wang, X., Mannan, M. S., Qian, C. & Wang, J. A system dynamics model for risk perception of lay people in communication regarding risk of chemical incident. J. Loss Prev. Process. Ind. 50, 101–111 (2017).
He, Z. & Weng, W. A dynamic and simulation-based method for quantitative risk assessment of the domino accident in chemical industry. Process Saf. Environ. Prot. 144, 79–92 (2020).
Koyuncugil, A. S. Financial early warning system model and data mining application for risk detection. Expert Syst. Appl. https://doi.org/10.1016/j.eswa.2011.12.021 (2012).
Zhang, R. et al. Using risk data as a source for human reliability assessment during shipping LNG offloading work. Ocean Eng. 307, 118159 (2024).
Zhang, R., Tan, H. & Afzal, W. A modified human reliability analysis method for the estimation of human error probability in the offloading operations at oil terminals. https://doi.org/10.1002/prs.12223
Slovic, P., Layman, M. & Flynn, J. H. Risk perception, trust, and nuclear waste: Lessons from yucca mountain. Environment 33, 6–30 (1991).
Sullivan-Wiley, K. A. & Short Gianotti, A. G. Risk perception in a multi-hazard environment. World Dev. 97, 138–152 (2017).
Zhao, M., Rosoff, H. & John, R. S. Media disaster reporting effects on public risk perception and response to escalating tornado warnings: A natural experiment. Risk Anal. 39, 535–552 (2019).
Pandit, B., Albert, A., Patil, Y. & Al-Bayati, A. J. Impact of safety climate on hazard recognition and safety risk perception. Saf. Sci. 113, 44–53 (2019).
Park, S. et al. Exploring inattentional blindness in failure of safety risk perception: Focusing on safety knowledge in construction industry. Saf. Sci. 145, 105518 (2022).
Perlman, A., Sacks, R. & Barak, R. Hazard recognition and risk perception in construction. Saf. Sci. 64, 22–31 (2014).
Kumar, R. & Goel, P. Exploring the domain of interpretive structural modelling (ISM) for sustainable future panorama: A bibliometric and content analysis. Arch. Comput. Methods Eng. 29, 2781–2810 (2022).
Katiyar, R., Panigrahi, S. S., Ghatak, R. R. & Singh, R. Exploring barriers towards effective coal supply-A non-core perspective using ISM-DEMATEL. Resour. Policy 92, 105010 (2024).
Agrawal, P. & Narain, R. Analysis of enablers for the digitalization of supply chain using an interpretive structural modelling approach. Int. J. Prod. Perform. Manage. 72, 410–439 (2023).
Bao, K., He, G., Ruan, J., Zhu, Y. & Hou, X. Analysis on the resource and environmental carrying capacity of coal city based on improved system dynamics model: A case study of Huainan, China. Environ. Sci. Pollut Res. 30, 36728–36743 (2022).
Sjaifuddin, S. Environmental management of industrial estate based on eco-industrial parks: A system dynamics modeling. Industrial Eng. 19, (2020).
Warfield, J. N. On arranging elements of a hierarchy in graphic form. IEEE Trans. Syst. Man. Cybern. SMC-3, 121–132 (1973).
Sushil. How to check correctness of total interpretive structural models? Ann. Oper. Res. 270, 473–487 (2018).
Cronbach, L. J. Coefficient alpha and the internal structure of tests. https://doi.org/10.1007/BF02310555
Mathiyazhagan, K., Govindan, K., NoorulHaq, A. & Geng, Y. An ISM approach for the barrier analysis in implementing green supply chain management. J. Clean. Prod. 47, 283–297 (2013).
Forrester, J. W. System dynamics, systems thinking, and soft OR. Syst. Dyn. Rev. 10, 245–256 (1994).
García, J. M. Theory and Practical Exercises of System Dynamics: Modeling and Simulation with Vensim PLE. Preface John Sterman (Juan Martin Garcia, 2023).
Wang, Y. et al. Modelling and evaluating the economy-resource-ecological environment system of a third-polar city using system dynamics and ranked weights-based coupling coordination degree model. Cities 133, 104151 (2023).
Zhang, M., Wang, X., Mannan, M. S., Qian, C. & Wang, J. Y. System dynamical simulation of risk perception for enterprise decision-maker in communication of chemical incident risks. J. Loss Prev. Process Ind. 46, 115–125 (2017).
Bouloiz, H., Garbolino, E., Tkiouat, M. & Guarnieri, F. A system dynamics model for behavioral analysis of safety conditions in a chemical storage unit. Saf. Sci. 58, 32–40 (2013).
Xu, Y., Zhao, G., Zhang, B. & Jiao, J. SD simulation research on the green low-carbon development of coal enterprises. Complexity (2021).
Zhu, C. Simulating the interrelationships among population, water, ecology, and economy in urban agglomerations based on a system dynamics approach. J. Clean. Prod. (2024).
Chen, G., Huang, K., Zou, M., Yang, Y. & Dong, H. A methodology for quantitative vulnerability assessment of coupled multi-hazard in chemical industrial park. J. Loss Prev. Process. Ind. 58, 30–41 (2019).
Xu, S., Wang, J., Li, J., Wang, Y. & Wang, Z. System dynamics research of non-adaptive evacuation psychology in toxic gas leakage emergencies of chemical park. J. Loss Prev. Process. Ind. 72, 104556 (2021).
Feng, J. R., Gai, W. & Yan, Y. Emergency evacuation risk assessment and mitigation strategy for a toxic gas leak in an underground space: The case of a subway station in guangzhou, China. Saf. Sci. 134, 105039 (2021).
Lu, C. S. & Tsai, C. L. The effect of safety climate on seafarers’ safety behaviors in container shipping. Accid. Anal. Prev. 42, 1999–2006 (2010).
Huang, K., Chen, G., Khan, F. & Yang, Y. Dynamic analysis for fire-induced domino effects in chemical process industries. Process. Saf. Environ. Prot. 148, 686–697 (2021).
Zhang, M. & Fang, D. A cognitive analysis of why Chinese scaffolders do not use safety harnesses in construction. Constr. Manage. Econ. 31, 207–222 (2013).
Thomas, M., Klemm, C., Hutchins, B. & Kaufman, S. Emergency risk communication and sensemaking during smoke events: A survey of practitioners. Risk Anal. 43, 358–371 (2023).
Liu, L., Zou, Z. & Greene, R. L. The effects of type and form of collaborative robots in manufacturing on trustworthiness, risk perceived, and acceptance. Int. J. Hum.–Comput. Interact. https://doi.org/10.1080/10447318.2023.2169527 (2023).
Afzal, F., Shehzad, A., Rehman, H. M., Afzal, F. & Mukit, M. M. H. Risk perception and cost of capital in emerging market projects using dynamic conditional correlation model. Int. J. Islamic Middle East. Finance Manage. 16, 253–273 (2023).
Golshani, N., Shabanpour, R., Mohammadian, A., Auld, J. & Ley, H. Evacuation decision behavior for no-notice emergency events. Transp. Res. Part. D: Transp. Environ. 77, 364–377 (2019).
Author information
Authors and Affiliations
Contributions
Rong Yang wrote the main manuscript text and make the main simulation.Mingguang Zhang and Ya Zhang provided language modification and editing services.All authors reviewed the manuscript.
Corresponding author
Ethics declarations
Competing interests
The authors declare no competing interests.
Additional information
Acknowledgements.
This work was supported by The National Natural Science Foundation of China (71971110) and 2023 Key Research Plan (Social development) in Jiangsu Province (BE2023809).
Publisher’s note
Springer Nature remains neutral with regard to jurisdictional claims in published maps and institutional affiliations.
Rights and permissions
Open Access This article is licensed under a Creative Commons Attribution-NonCommercial-NoDerivatives 4.0 International License, which permits any non-commercial use, sharing, distribution and reproduction in any medium or format, as long as you give appropriate credit to the original author(s) and the source, provide a link to the Creative Commons licence, and indicate if you modified the licensed material. You do not have permission under this licence to share adapted material derived from this article or parts of it. The images or other third party material in this article are included in the article’s Creative Commons licence, unless indicated otherwise in a credit line to the material. If material is not included in the article’s Creative Commons licence and your intended use is not permitted by statutory regulation or exceeds the permitted use, you will need to obtain permission directly from the copyright holder. To view a copy of this licence, visit http://creativecommons.org/licenses/by-nc-nd/4.0/.
About this article
Cite this article
Yang, R., Zhang, M. & Zhang, Y. A system dynamics model based on ISM for risk perception in emergency by employees in chemical industrial parks. Sci Rep 14, 25767 (2024). https://doi.org/10.1038/s41598-024-77445-z
Received:
Accepted:
Published:
Version of record:
DOI: https://doi.org/10.1038/s41598-024-77445-z












