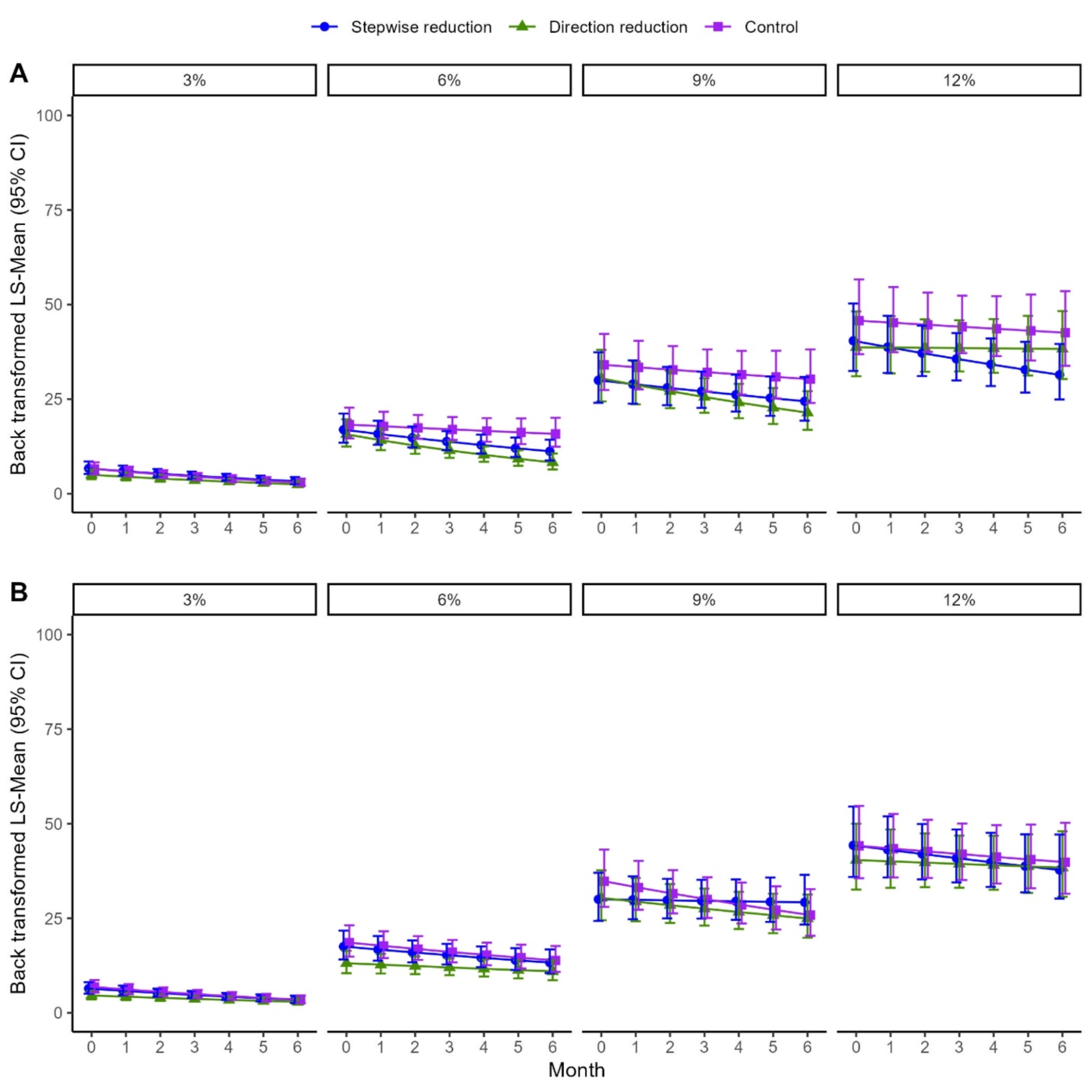
Fig. 5

Month*Group interaction by sucrose solution level (3, 6, 9, 12% sucrose) for sweetness intensity for the MX full-sugar sweetened carbonated soft drink (FSS-CSD) cohort (A) and MX low-calorie sweetened carbonated soft drink (LCS-CSD) cohort (B). The impact of intervention group (i.e., Control, Stepwise Reduction, or Direct Reduction) on sweetness intensity perception over time was evaluated with a repeated measures mixed model followed by the joint test of Month*Group interaction conducted using a contrast statement. The log(x + 1) transformation was applied to stabilize the variance for sweetness intensity and data are presented as back-transformed model-derived means (95% confidence interval). No significant effects were observed. . CI confidence interval, LS-Mean least square mean.