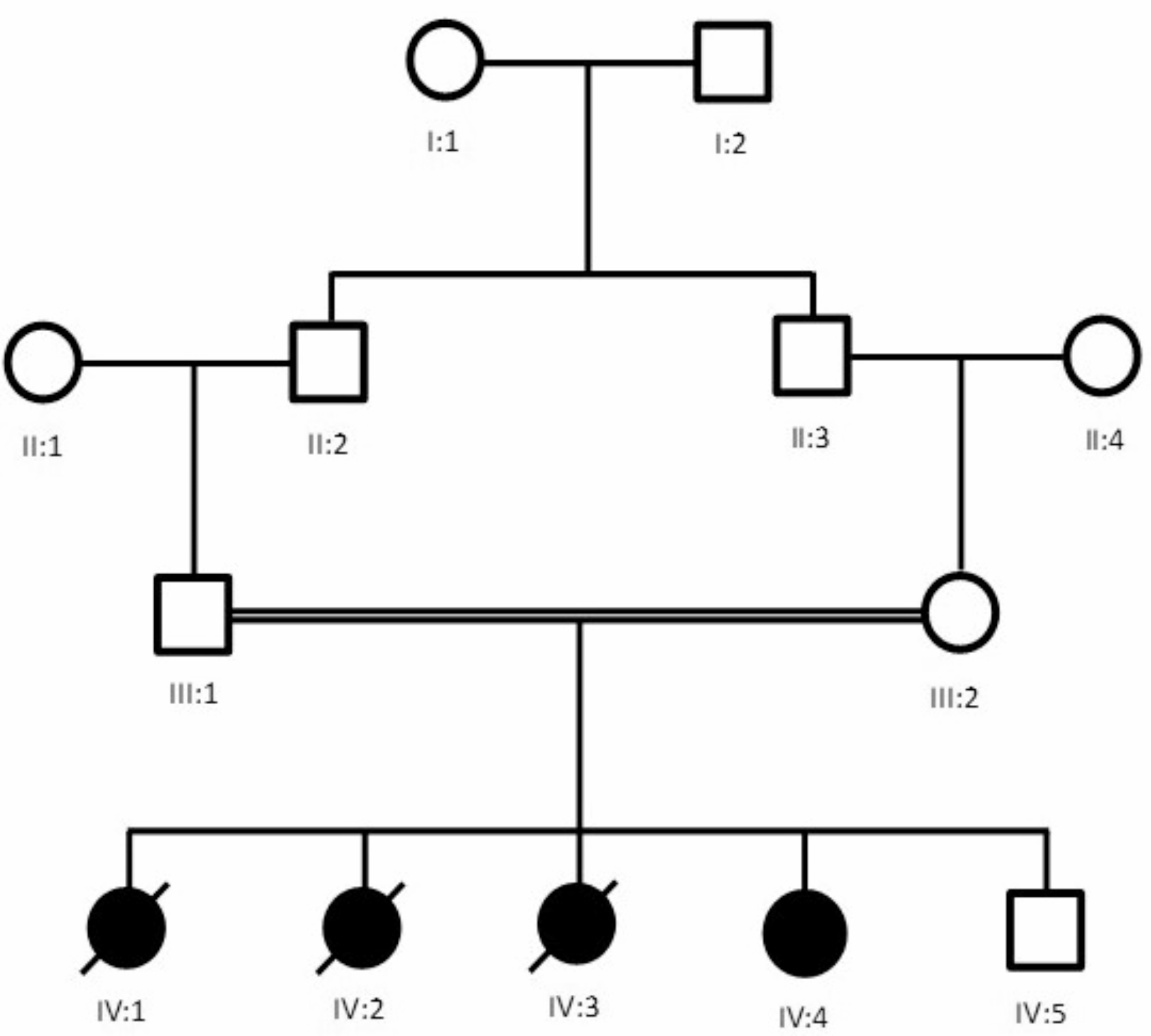
Fig. 1

Pedigree of the family investigated in the present study. Clear autosomal recessive inheritance pattern is evident. Double lines indicate consanguineous marriages. Filled symbols represent affected individuals. Deceased individuals are shown as crossed symbols.