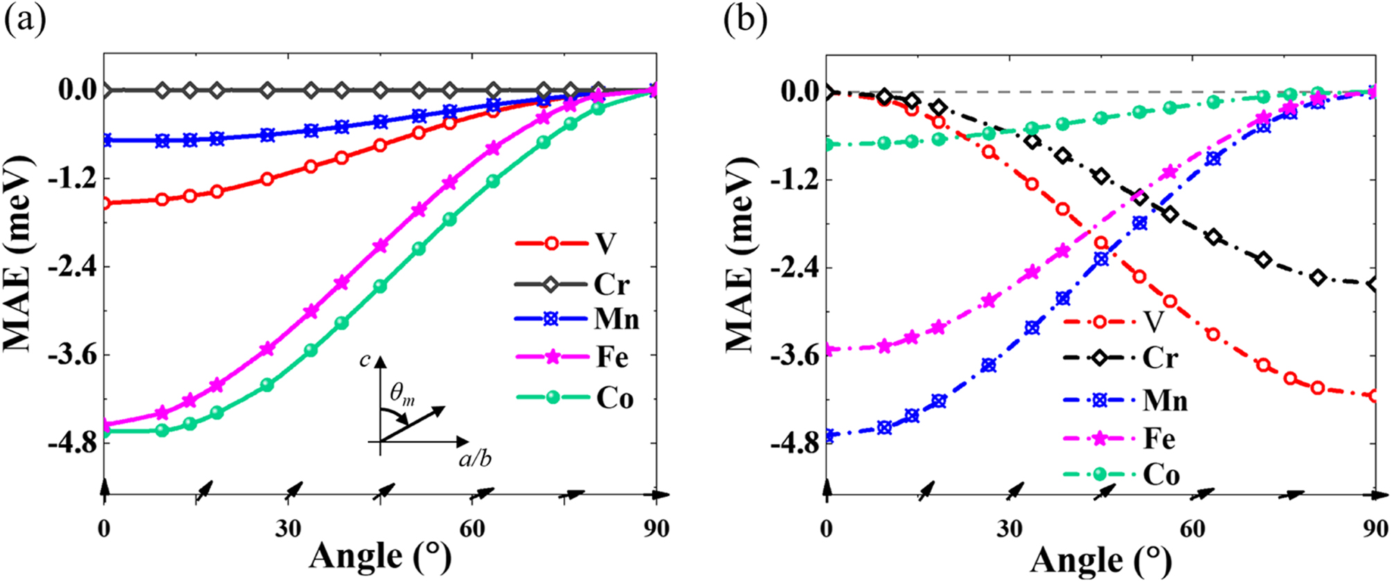
Figure. 4

(Color Online) Magnetic Anisotropy in (a) Dopped and (b) Adsorbed System. Note that in the Cr-dopped system, there is no magnetism, as shown in Fig. 2(c). Inset in (a) shows angle θm swept from the c-axis to the a-b plane. Note that a relative energy value is displayed, i.e., the lowest number shows the easy axis. The arrows at the horizontal axis showing spin directions are a guide to the eye.