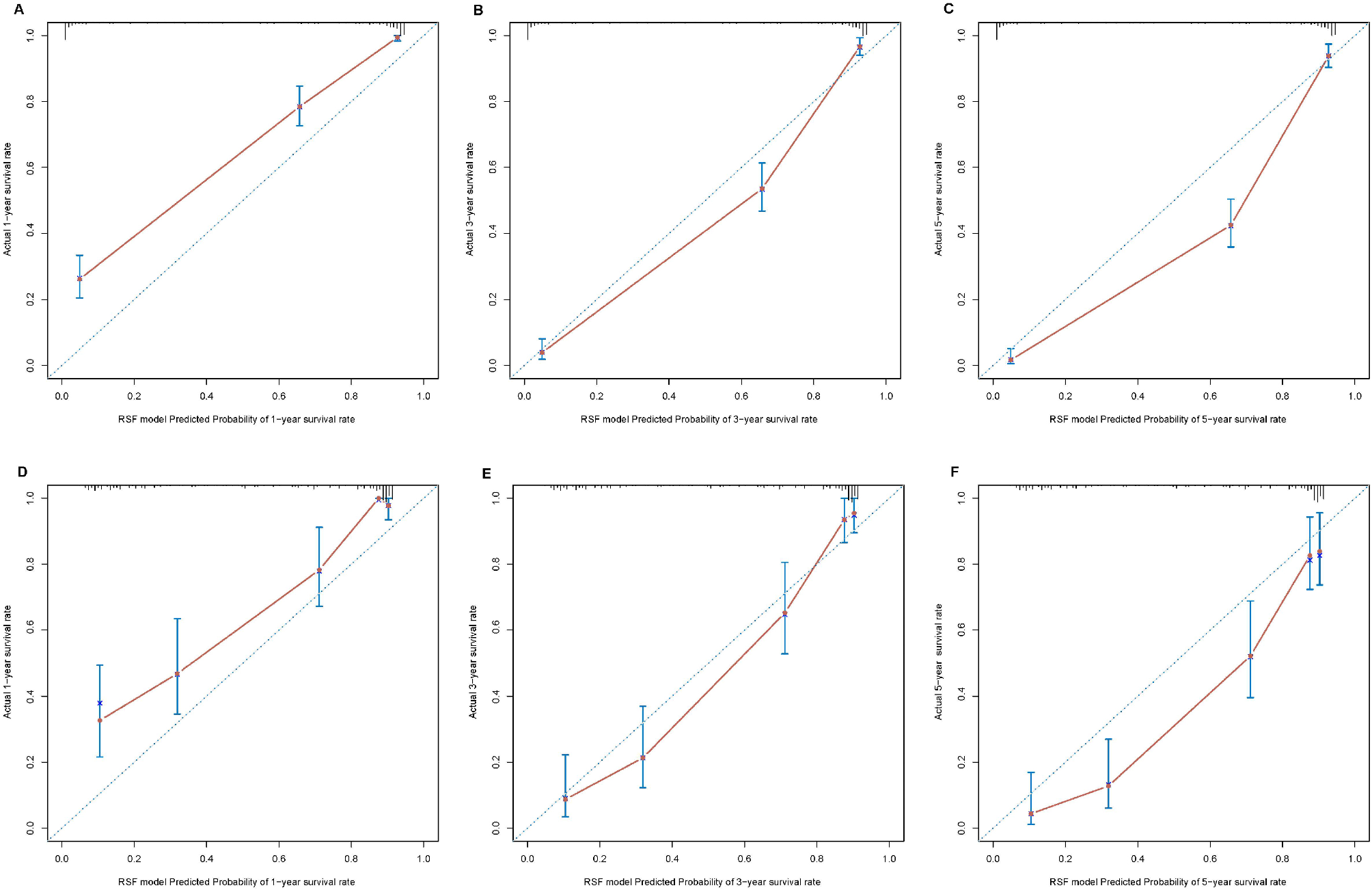
Fig. 4

Calibration plots for the RSF model. (A-C) Calibration plots for 1-year, 3-year, and 5-year survival probabilities in the training set. (D-F) Calibration plots for 1-year, 3-year, and 5-year survival probabilities in the validation set. Each plot compares the actual observed survival rates (y-axis) against the survival probabilities predicted by the RSF model (x-axis). The 45-degree dotted line represents perfect calibration where predicted probabilities match the actual rates. The closer the solid line is to the dotted line, the better the model’s calibration.