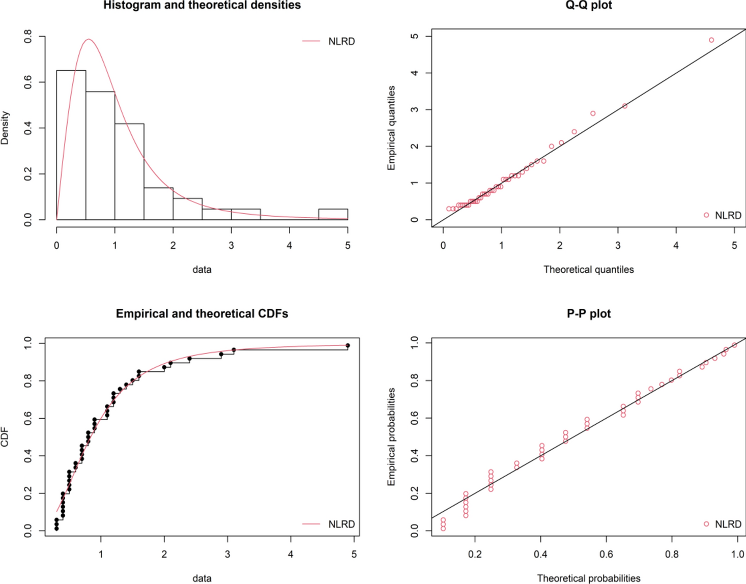
Fig. 2

Empirical and theoretical probability density functions, Q-Q plots, empirical and theoretical CDFs and P-P plot for Southeast data.

Empirical and theoretical probability density functions, Q-Q plots, empirical and theoretical CDFs and P-P plot for Southeast data.