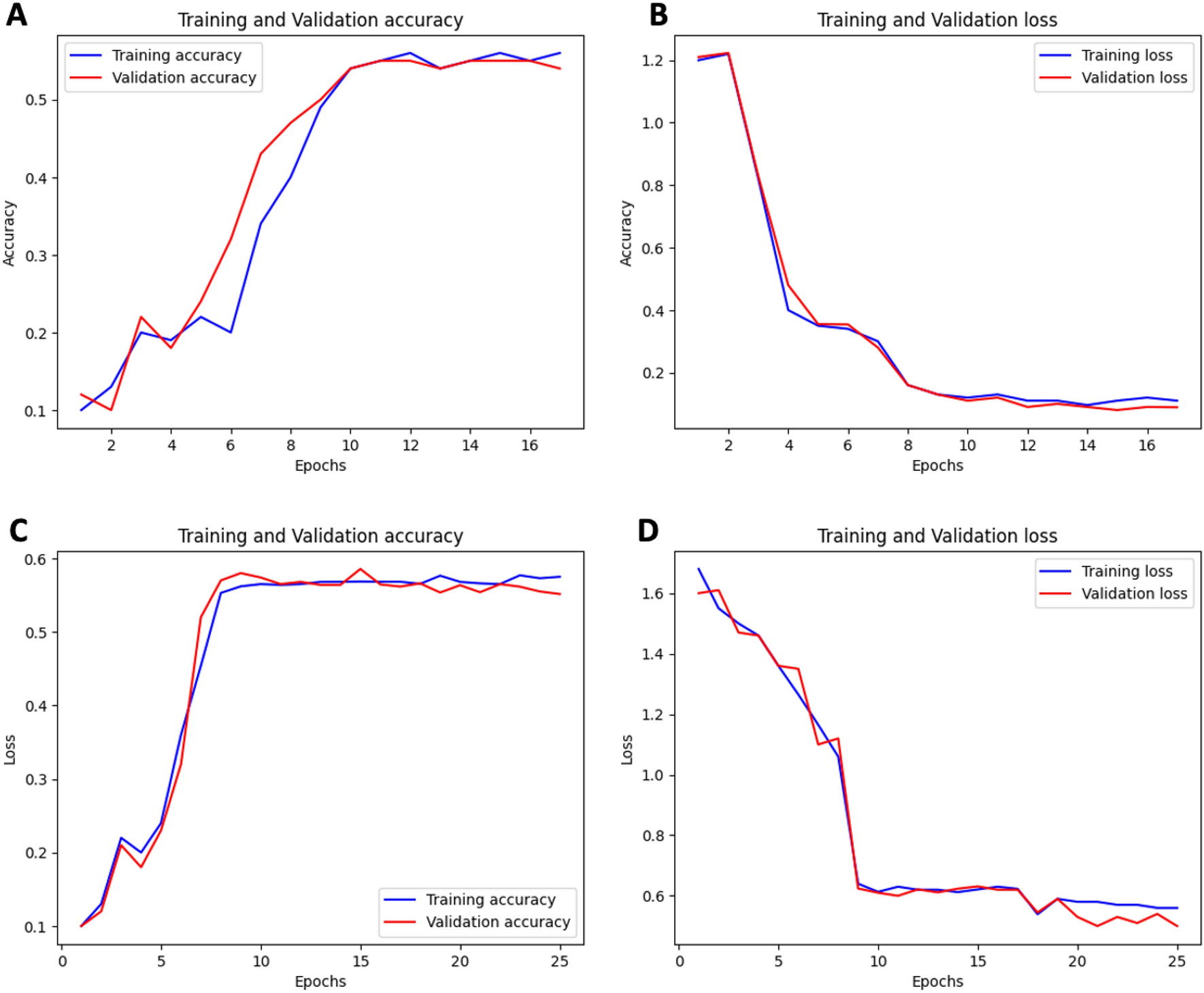
Fig. 5

(A and B) these graphs represent the accuracy and loss graphs for the first CNN model. (C and D) are the accuracy and loss graphs for the second CNN model.

(A and B) these graphs represent the accuracy and loss graphs for the first CNN model. (C and D) are the accuracy and loss graphs for the second CNN model.