Abstract
Autistic people may be distinguishable from non-autistic individuals in the content and modality of their thoughts. Such differences potentially underlie both psychological vulnerability and strengths, motivating the need to better understand autistic thought patterns. In non-clinical undergraduates, a recent study found that autistic traits were associated with thinking more in words than images. However, it is unclear whether such differences in thought are present in clinically diagnosed autistic individuals. The current study applied the same methods (multidimensional experience sampling during an N-back task) to examine ongoing thought in autistic and non-autistic adults. We found that autistic individuals showed less variability in the modality of their thoughts between easy and difficult task contexts. While both non-autistic and autistic participants tended to report thinking more in words during the difficult task context, the difference between conditions was significantly smaller for the autistic group. In addition, autistic individuals showed a weaker coupling between task performance and off-task social thinking, a finding that may be related to differences in social processing during the off-task state. Overall, our results provide a clinical replication and extension of previous work, highlighting the differential effects of changing external context on internal mental states in autism.
Similar content being viewed by others
Introduction
Autism is traditionally described within a medical model as a complex and heterogeneous neurodevelopmental condition1, categorized by differences in behaviour (e.g., repetitive behaviours and restricted interests)2, social communication (e.g., socio-emotional reciprocity, the mutual exchange and responsiveness of emotions and social behaviours between individuals)3,4,5,6,7, and sensory processing (e.g., hypersensitivity to sound, touch etc.)8,9. Importantly, autism is now commonly conceptualized as a form of neurodivergence that is ‘different, not less’10. As such, the current investigation aims to recognize and categorize these differences while using non-pathologizing language. Common characteristics of autism include special interests and self-stimulatory behaviours, as well as differences in sensory processing8, notably hypo- and hyper-sensitivity9, differences in executive function11, attention12, imagination13and social function14.
Despite well-documented differences in autistic individuals on a wide range of measures, substantially less is known about how these characteristics influence the content and form of ongoing thought. Patterns of ongoing thought can be studied in a convenient manner using multidimensional experience sampling (MDES15), a method that can be applied across contexts, including the behavioural laboratory, during functional brain imaging investigations, and in daily life using smartphones or other devices (for review see16). In the present study, we explored differences in patterns of ongoing thought in autistic adults, motivated by findings from a behavioural study relating thought patterns to autistic traits in non-clinical student participants during a visuo-spatial N-back task17: While the harder 1-back condition was associated with greater verbal thought across participants (i.e., thinking more in words than images), individuals with higher scores on the Autism Quotient (AQ)18 reported greater verbal thoughts across both conditions. The present study aims to understand autistic thought patterns in adults who have a formal autism diagnosis and therefore represents a clinical extension of this prior work.
Autistic characteristics may influence ongoing thought in a variety of ways. For example, autistic people are reported to display differences both in imagination19(related to, for example, imaginative play20and spontaneous imagination in childhood21) and future-oriented cognition including reduced ability to generate of future events22,23. Since future-directed thinking constitutes a large proportion of daily mental experience24,25,26,27,28,29, such differences in episodic generation are likely to extend to differences in ongoing thought in autistic individuals. Furthermore, many autistic people show differences in executive functions11. For example, studies have found elevated preservative errors in autistic people indicating cognitive inflexibility30,31and issues with attention switching32,33,34which may, more fundamentally, determine how and when thoughts occur35,36,37,38,39,40,41,42. Lastly, autistic traits have been linked to lower variability in, and a tighter repertoire of, both behaviour and thinking. For instance, ‘contextual blindness’ – a relative insensitivity to informative contextual cues – may be a common characteristic43. In typically-developing individuals, ongoing thought is significantly influenced by different task contexts44: We therefore predicted that, in the current study, contextual factors (including external task demands) may highlight group differences in the stability or adaptivity of thought patterns.
Alongside these proposed differences, autism may be associated with differences in the modality of thought. One axis of variation across the multidimensional landscape of thought is the degree to which thoughts occur in the form of images or words. Kunda & Goel (2011) suggested that autistic people may have a propensity to think more in visual images45. Circumstantial support for this hypothesis comes from better performance of autistic individuals on some visuo-spatial tasks46,47,48,49,50. Similarly, autistic traits in a non-clinical sample can predict better visuospatial, but not verbal, performance51. Indeed Autistic individuals, compared to a non-clinical comparison group, also show better performance on semantic tasks when matching pictures to words, rather than words to words52. Overall, superior performance in visuo-spatial tasks suggests the ability to form, access and manipulate visual mental representations may be more developed in autistic people50. The notion that autism is associated with a general preference for thinking in images53may relate to reports that many autistic individuals show limitations in their use of inner speech54,55. Indeed, a profile of dissociation between verbal and non-verbal skills has been proposed to represent an etiologically significant subtype of autism56. Further support for this preference for visual imagery may be found when looking at prevalence of synaesthesia, a neurodevelopmental condition in which a sensation in one modality triggers a perception in a second modality. Importantly, synaesthesia is linked to increased vividness of mental imagery across sensory modalities, including visual imagery57. In one study, rates of synaesthesia were found to be three times higher in an autistic sample in comparison to a non-autistic sample58. On the other hand, the proposed association between increased mental imagery and autism does not account for the higher prevalence of autistic traits in aphantasic individuals who are unable to create mental visual images voluntarily59. More direct assessments of the phenomenology of thought also provide contradictory accounts of visual imagery in autism. According to two studies, autistic participants report more frequent and detailed visual mental representations in everyday life compared to a comparison group60,61. In another study, however, which had participants rest with eyes closed and report on their experience retrospectively, autistic participants’ scores on the ‘visual imagery’ subscale of the Amsterdam Resting State Questionnaire62 did not differ from non-autistic controls. Analysis of individual items, however, showed significant increases in both visual thoughts (‘I pictures places’) andword-based narrative thoughts (‘I imagined talking to myself’). Finally, the non-clinical analogue of the current study also revealed a result that contradicts the idea that autism is associated with increased visual thought. As discussed, during a working memory task with frequent experience sampling of ongoing thoughts, autistic characteristics (as measured by the Autism Quotient) were associated with thinking in words rather than images17. Whether these results extend to a sample of clinically diagnosed autistic individuals is yet to be established. Taken together, evidence exists for differences in the modality of thought in autistic people. The direction of difference, however, is unclear.
The current study tested for differences in the content and modality of thought between a clinically diagnosed group of autistic individuals and individuals without autism diagnoses. We used MDES to capture multidimensional aspects of ongoing thought15,63while participants performed a working memory task (N-back task) at two levels of cognitive demand, following the methods used previously (Turnbull et al., 202017). We applied Principal Components Analysis to the MDES data to identify common “patterns of thought”. We then examined how these patterns of thought differed between group (autistic vs non-autistic) and also as a function of task demand (low vs higher). Next, we investigated how these thoughts related to task performance, since off-task thinking can compromise performance on complex tasks36,37,39,64,65,66. Finally, we assessed the relationship between specific characteristics of autism (measured by the Autism Quotient) and patterns of thought and tested if there was an interaction with task demand. Taken together, this investigation aimed to further our understanding of how internal mental states are shaped by changing external contexts in both neurotypical and neurodiverse populations.
Materials and methods
Participants
Participants were part of the ADIE trial67 and included adults with a DSM/ADI-R or equivalent confirmed diagnosis of Autism Spectrum Disorder undertaken by autism trained clinicians (e.g. psychiatrists, paediatricians, clinical psychologists, within specialist services). Comparison participants (non-autistic) were recruited from the University of Sussex and members of the local community and were excluded if they scored above 32 on Autism Quotient. All participants, autistic and neurotypical, were right-handed, fluent English speakers, none had a history of past head injury or organic brain disorders, cognitive impairment or a learning disability (general mental impairment); none had asthma/respiratory illnesses, epilepsy or evidence of psychotic experiences (i.e., none reported such co-morbid diagnoses or were currently taking anti-psychotic medication). Ethical approval was obtained by the NHS Health Research Authority Blackcountry Research Ethics Committee (REF Reference 17/WM/0125). The trial was pre-registered (ISRCTN14848787). All participants provided written informed consent with all procedures approved by the BSMS Research Governance Ethics Committee. 156 participants (mean age = 32.8, SD = 12.8, N females = 85) completed at least one n-back task session. 55 comparison participants completed only one n-back task session at baseline (Age = 29.6, SD = 12.5, N females = 33). 92 autistic participants completed the baseline session (Age = 34.1, SD = 12.5, N females = 47). As part of the ADIE trial, autistic participants were also invited to participate in a 3 month and 1 year follow up (see Table 1). 59 autistic participants completed the n-back task at the 3-month stage (Age = 37.6, SD = 13.5, N females = 31). 18 participants completed the task at the 1 year follow up (Age = 37.4, SD = 12.7, N females = 11). 13 participants completed the n-back task at baseline and both follow ups (Age = 34.2, SD = 10.9, N females = 8). Demographic data for two autistic participants who completed the task at baseline only is missing. Of the 156 participants who completed at least one n-back session, 136 of them also completed the AQ (mean age = 32.2, SD = 12.6, N females = 76). Of these, 83 were autistic participants (mean age = 33.7, SD = 12.4, N females = 44) and 53 of them were comparison participants (mean age = 29.9, SD = 12.7, N females = 32).
Experimental task and experience sampling
Experience was sampled in a task paradigm that alternated between blocks of 0-back and 1-back in order to manipulate attentional demands and working memory load (Fig. 1). The scripts for running this task can be found at: https://github.com/htwangtw/nbackexpsampling.
Participants performed blocks of 0-back and 1-back tasks. During the 0-back, on target trials, participants reported on which side of the screen the central blue shape was. During the 1-back, participants reported on which side of the screen the central red shape was on the previous trial. On a semi-random basis, the target trial would be replaced by an MDES probe that asked the participant if their thoughts were focused on the task, followed by 12 questions about their thoughts.
Participants were instructed to focus on pairs of shapes presented on either side of the screen that were divided by a line. They were told that there are two conditions, 0-back and 1-back. The colour of the centre line indicated to the participant the condition they were in (0-back: blue, 1-back: red). Non-target trials in both conditions were identical, consisting of two black shapes (circles, squares, or triangles) separated by a line. In these trials, the participant was not required to make a behavioural response (mean presentation duration = 1050 ms, 200 ms jitter, size of stimuli = 250 × 250 pixels). The shapes on either side of the line were always different. During target trials, participants were required to make a behavioural response on the location of a specific shape. In the 0-back condition, on target trials, a pair of shapes were presented (as in the non-target trials) with a small blue shape in the centre of the line down the middle of the screen. Participants were told to use the "1" and "2" keys to indicate whether the target shape, shown in the middle, matched the shape on the left or right of the screen, respectively. This allowed participants to make perceptually-guided decisions, meaning that this condition does not require continuous monitoring. In the 1-back condition, the target trial consisted of two red question marks either side of the central line (in place of the shapes). There was a small red shape in the centre of the screen as in the 0-back condition. Participants had to indicate via the same button press which of the two shapes from the previous trial the central shape matched. Therefore, the decisions in this condition were guided by memory and this part of the task required constant monitoring in case a non-target trial was needed to guide this decision. After completing the task, participants rated thought descriptions on a scale from 1 to 10. They were told there are no right or wrong answers and were encouraged to respond quickly. The condition at the beginning of each session was counterbalanced across participants. Non-target trials were presented in runs of 2–8 trials (mean = 6) following which a target trial or a multidimensional experience sampling (MDES) probe was presented. Overall, participants completed 62 trials.The contents of ongoing thought during this paradigm were measured using Multidimensional Experience Sampling (MDES). MDES probes occurred instead of a target trial on a quasi-random basis. When a probe occurred, the participants were asked how much their thoughts were focused on the task, followed by 12 randomly shuffled questions about their thoughts (see Table 2).
Identifying patterns of thought
To identify common patterns of thought, principal components analysis (PCA) with varimax rotation was applied to responses to 13 experience sampling questions. 1344 responses were entered into the analysis, with 1014 samples taken from autistic participants at baseline, 3-month and 1-year follow ups. 330 samples were taken from comparison participants at baseline only, since these participants were not included in follow-up assessment phases of the clinical trial from which this data originates. Prior to PCA, all scores were Z-scored. A naive PCA was first computed where the number of components extracted equalled the number of the questions. After inspection of the scree plot (see supplementary materials), PCAs were computed again but with a reduced number of components extracted. Four components were selected based on the scree plot and to enable consistent interpretation with previous studies using this technique17,41,44,68,69,70. Kaiser–Meyer–Olkin measure of sampling adequacy was 0.82, above the commonly recommended value of 0.6. Bartlett’s test of sphericity was significant [× 2(1343) = 3683.35, p< 0.001]. From these components, each observation received a score that was then used in subsequent analyses. This score was computed by performing a dot product between the component loading scores for each item on a given component and the Z-scored responses to each respective item. This yielded one score per component, per observation, that represents broadly how that observation quantitively relates to the given component. In line with Turnbull et al. (2020)17, thought pattern scores identified as outliers (quartile ± 1.5*IQR) were replaced with the median.
Assessment of clinical characteristics
To assess autistic characteristics, we administered the Autism Quotient (AQ) questionnaire. This scale includes 50 questions divided across five subscales that measure traits associated with autism diagnosis: social skills, attention switching, attention to detail, communication, and imagination. Each subscale is scored out of 10, with increasing scores indicating higher autistic traits. The total score (out of 50) is derived by summing each of the five subscales, and a cut-off of 32 + was initially determined as optimal for discrimination of autistic individuals from neurotypical participants like those in our study18. It was designed to quantify autistic traits in both individuals with and without a formal diagnosis and was shown to have good test–retest and interrater reliability in both autistic and neurotypical populations18. The trait version of the State-Trait Anxiety Inventory (STAI-T)71was used to assess trait anxiety in participants. Recent evidence suggests this measure may be sensitive to depression too, leading to the belief that the STAI-T may be a non-specific measure of negative affect72. Given the high comorbidity between autism, anxiety and depression, this measure allows for the assessment of the relationship between thought patterns with an affectual component and autism, while accounting for such comorbidities.
Task performance
To measure task performance, we calculated the average inverse efficiency score (IES)17 for each participant, for each session, for each condition (0-back and 1-back), which is given by response time over accuracy (Mean RT/Accuracy (% correct trials).
Statistical analysis
Linear Mixed Models (LMMs) were used to investigate three research questions.
-
1.
The relationship between thoughts (DV), task condition and group.
-
2.
The relationship between task performance (DV = IES), thoughts, task condition and group.
-
3.
Relationship between thoughts (DV), condition and AQ subscale scores.
LMMs were fitted with restricted maximum-likelihood estimation in R (version 4.0.2) using the lme4 package (version). We used the lmerTest package (version 3.1.273) to obtain p values for the F and ttests returned by the lme4 package. For each set of models, the alpha level was set based on 0.05 divided by the number of models (i.e., Bonferroni-corrected alpha level). Degrees of freedom were calculated using the Satterthwaite approximation. For F-tests, type 3 sum of squares was chosen to ensure that imbalances in the data are assumed to occur randomly and not due to differences in the population74. Contrasts were set to “contr.sum,” meaning that the intercept of each model corresponds to the grand mean of all conditions74. Estimates reported are unstandardized and in the case of factors, reflect the difference between each factor level and the intercept (grand mean of all conditions). Estimated marginal means and simple slopes were calculated using the emmeans package (version 1.5.2.175). Post-hoc pairwise comparisons were corrected for multiple comparisons using the Bonferroni adjustment, which adjusts both the CIs and p values associated with each estimate and test. For contrasts of contrasts, custom contrasts were set manually and so could not be adjusted for multiple comparisons. These model details are the same as those described in Mckeown et al. (2021)29. Across all models, to account for multiple observations per participant, participant ID was modelled as a random effect and group-mean centred age, gender, and session number were included as nuisance covariates.
Comparing thought patterns between 1) task condition and 2) group
We ran 4 LMMs—one with each thought component as the outcome variable modelling the following fixed factors and their interaction: 1) Condition (two levels: 0-back and 1-back), 2) Group (two levels: autistic and comparison).
After removing cases whose standardized residual was greater than 2 Standard deviations from zero, model one included 1254 observations from 152 participants; model two included 1252 observations from 152 participants; model three included 1250 from 152 participants; and model four included 1249 from 152 participants.
Example model formula:
Thought Pattern Score X ~ 1 + Group + Condition + Group*Condition + Session + Age + Gender + (1|Participant).
Relating task performance to 1) ongoing thought patterns between 2) task condition and 3) group
In the first instance, we ran one LMM with IES scores as the outcome variable modelling the following fixed factors and their interactions: 1) Detailed thought, 2) Off-task thought, 3) Modality of thought, 4) Pleasant engagement, 5) Condition, and 6) Group. In total, 147 participants (380 observations) were included in this model.
Next, outliers were removed by detecting data points which had standardized residuals greater than 2. This resulted in the removal of 23 cases (5.6% of original data). The model was then run again, with these outlier cases removed. Automatic backwards elimination of all fixed effects was then conducted using the step function from the lmerTest package. Highest order interactions are tested for significance first. If significant, lower order effects are not tested. This resulted in the following model:
Example model formula (reduced):
IES ~ 1 + Group + Condition + Off-task + Modality + Group*Off-task + Age + Gender + Session + (1|Participant).
Relating though patterns to autism quotient subscale scores
We first split the dataset by group and retained entries for autistic participants only. We then ran 4 LMMs—one with each thought component as the outcome variable modelling the following fixed factors: 1) Condition (two levels: 0-back and 1-back), 2) AQ Social Skill, 3) AQ attention switching, 4) AQ attention to detail, 5) AQ communication, and 6) AQ imagination. Interactions between Condition and each of the 5 AQ subscales were included.
After removing cases whose standardized residual was greater than 2 Standard deviations from zero, model one included 806 observations (from 83 participants); model two included 797 observations; model three included 798; and model four included 800.
Example model formula:
Thought Pattern Score X ~ 1 + AQ social skill + AQ attention switching + AQ attention to detail + AQ imagination + AQ social skill* Condition + AQ attention switching* Condition + AQ attention to detail* Condition + AQ communication* Condition + AQ imagination* Condition + Condition + Session + Age + Gender + (1|Participant).
Results
Patterns of thought
To identify common “patterns of thought”, 1344 responses from 156 participants to 13 experience-sampling questions (Table 3) were decomposed using Principal Component Analysis (PCA). Four components— accounting for 58.4% of the total variance—were retained for further analysis (see Methods): 1) “Detailed”, describing patterns of thought with the highest loadings on “Detailed” (0.46), “Evolving” (0.44), “Vivid” (0.41), and “Deliberate” (0.32); 2) “Off-task Social Episodic”, with the highest loadings on “Other” (0.58), “Future” (0.41), “Self” (0.37), and “Past” (0.35); 3) “Modality”, with the highest loadings on “Words” (- 0.75) and Images (0.56); and 4) “Pleasant Engagement”, with the highest loadings on “Emotion” (0.84) and “Task” (0.44). Item loadings on these components are presented as word clouds in Fig. 2, where the size of the word represents the magnitude of the loading, and the colour describes the direction (see supplementary table S1 for exact item loadings for each component). To create a per-observation score for each pattern, a dot product was computed between the Z-scored responses for each item and the item loadings for each four components. Consequently, a positive score on a given component reflects thoughts that match the features that load highly and positively on the component. For example, a large positive score on the ‘Modality’ component infers that for that sample, thoughts were more in the form of images than words.
Comparing thought patterns between 1) group and 2) task condition
Having identified four patterns of thought, we examined the influence that group (autistic vs comparison) and condition (0-back vs 1-back) had on the prevalence of each thought pattern. We performed a series of linear mixed models (LMMs) in which each per-observation score for each of the four patterns of thought was the outcome measure (see Materials and Methods). These models included two explanatory variables and their interaction: 1) Group (i.e., whether participants belonged to the autistic or comparison group) and 2) Condition (i.e., whether a thought probe occurred after a 0-back or 1-back block). The results from these models are summarized in Fig. 2 (see supplementary tables S2-S6 for full model outputs).
Bar plots showing the predicted means of thought patterns scores obtained through Principal Components Analysis across group (autistic vs comparison) and task condition (0-back vs 1-back). Each thought pattern is represented as a word cloud on the right-hand side of each plot, where the size of the words indicates the magnitude of the loading for that experience-sampling item on each component and the colour indicates the direction (red is positive, blue is negative). The estimated marginal means (predicted scores) for each thought pattern (y-axis) in each group (x-axis) and condition (colour of bars) are represented in the bar charts on the left-hand side, with error bars representing 95% confidence intervals.
Model one: detailed thought
No significant difference between groups was found for the detail thought pattern [F(1,153) = 0.59, p = 0.444]. There was a significant main effect of Condition (0-back vs 1-back) [F(1,1122) = 59.67, p < 0.001]. Detailed thought was greater in the 1-back condition (b = 0.22, 95% CI (0.17, 0.28), t(1122) = 7.72, p < 0.001).
Model two: off-task social episodic cognition
No significant difference between groups was found for the off-task thought pattern [F(1,1121) = 0.46, p = 0.501]. There was a significant main effect of Condition (0-back vs 1-back) [F(1,1121) = 8.66, p = 0.003]. Off-task thought was lower in the 1-back condition (b = -0.07, 95% CI (-0.12, -0.02), t(1121) = -2.94, p = 0.003).
Model three: modality of thought
No significant difference between groups was found for the modality of thought [F(1,155) = 0.21, p = 0.646], however, there was a significant interaction between Condition and Group [F(1,1125) = 12.03, p = 0.001]. Post-hoc comparisons of differences in estimated marginal means (see Fig. 3) indicated that although thinking in words was increased for both groups in the 1-back condition, this increase was smaller for autistic participants compared to non-autistic participants (b = -0.30, 95% CI (-0.47, -0.13), t(1125) = -3.47, p < 0.001). There was also a significant main effect of Condition [F(1,1125) = 40.98, p < 0.001]. Thinking in images was reduced during the 1-back condition (b = -0.14, 95% CI (-0.18, -0.10), t(1097) = 6.40, p < 0.001).
Bar plot showing the group difference in condition-induced differences in modality of thought. The y-axis represents the magnitude of difference in the estimated marginal means of modality of thought between the two conditions (0-back—1-back) and the x-axis indicates which group (autistic vs comparison). A greater score indicates an increase in word-based thinking in the 1-back condition compared to the 0-back. Error bars represent 95% confidence intervals.
Model four: pleasant engagement
There was a significant main effect of Group for patterns of pleasant engagement [F(1,156) = 10.95, p < 0.001]. Pleasant engagement was lower for autistic participants (b = -0.23, 95% CI (-0.37, -0.09), t(156) = -3.31, p = 0.001). There was a significant main effect of Condition [F(1,1125) = 23.617, p < 0.001]. Pleasant engagement was greater in the 1-back condition (b = 0.11, 95% CI (0.06, 0.15), t(1125) = -4.86, p < 0.001). Since the pleasant engagement thought pattern is emotionally valanced, a follow-up analysis investigated its relationship to trait anxiety. Trait anxiety scores, as measured by the State-Trait Anxiety Inventory (STAI) were included in the model as a fixed effect, alongside task condition and group membership. Following the inclusion of STAI-T scores, there was a non-significant effect of Group [F(1,152) = 2.55, p = 0.113], indicating that at least some of the effect of group membership on this thought pattern could be explained by elevated trait anxiety scores in the autistic group. See supplementary table S7 and S8 for the full model output.
Relating task performance to 1) ongoing thought patterns between 2) task condition and 3) group
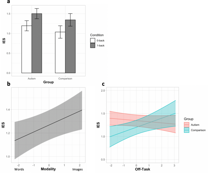
Prior studies have linked patterns of thought to performance on this task17. To address how thought patterns related to performance in our data, we performed one LMM in which IES (inverse efficiency score)—which serves as a metric for task performance—averaged by condition, was the outcome measure (see Materials and Methods). A smaller IES equates to better task performance. Due to the large number of independent variables, backward-fitting of fixed effects (using the step function from the lmerTestR package73) was applied following the fitting of the full model. Following this, the model was reduced to included four main explanatory variables: 1) Group, 2) Condition, 3) Off-task thought, and 4) Modality. One interaction effect was also included: 1) Group * Off-task. The results from the reduced model are summarised In Fig. 4 and the results for both the full and reduced models are described in supplementary tables S9-S12.
Plots showing predicted means and simple slopes for task performance, indexed using Inverse Efficiency Score (IES). (A) Bar chart showing the relationship between task performance (y-axis), group (x-axis; autism vs comparison) and task condition (colour; 0-back vs 1-back). (B) Plot showing the positive relationship between better task performance (y-axis) and thinking in words (x-axis). (C) Plot showing how the positive relationship between better task performance (y-axis) and less off-task thought (x-axis) is stronger in non-ASD participants. Error bars represent 95% confidence intervals.
There was a significant main effect of Group on task performance [F(1,161) = 3.93, p = 0.018]. IES was greater for autistic participants (b = 0.07, 95% CI (0.01, 0.13), t(164) = 1.98, p = 0.017), indicating that they tended to show worse performance on the task than comparison participants. There was a significant main effect of Condition [F(1,161) = 72.52, p < 0.001]. IES was lower during the 0-back condition (b = -0.15, 95% CI (-0.19, -0.12), t(261) = -8.52, p< 0.001), indicating that task performance was worse in the 1-back compared to the 0-back condition, consistent with the increased cognitive demand in this condition and replicating prior studies17,76. There was a significant main effect of Modality [F(1,356) = 4.75, p = 0.012]. IES was greater when thoughts were described more in the form of images compared to thinking in words (b = 0.06, 95% CI (0.01, 0.11), t(349) = 2.18, p= 0.012), replicating the findings of Turnbull and colleagues17 who found that participants who thought more in words exhibited better task performance. Finally, there was a significant interaction between Off-task thought and Group [F(1,352) = 7.53, p = 0.006]. Post-hoc comparisons of simple slopes indicated that this interaction was driven by the relationship between off-task thought and performance being significantly different between the two groups (b = -0.08, 95% CI (-0.14, -0.01), t(374) = -2.42, p = 0.016). In the comparison group, off-task thought was more strongly related to performance (b = 0.05, 95% CI (-0.00, 0.10), t(371) = 1.80, p = 0.073) than in the autistic group (b = -0.03, 95% CI (-0.06, 0.01), t(359) = -1.62, p = 0.107). Therefore, there was some evidence that off-task thought was associated with worse performance for the comparison group, however, this effect was significantly less pronounced in autistic individuals.
Relating thoughts and task condition to AQ subscale scores
Finally, we examined the influence that autistic traits and task condition (0-back vs 1-back) had on the prevalence of each thought pattern. Autistic traits were measured by using the Autism-Spectrum Quotient18. This scale includes 50 questions divided across five subscales that measure traits associated with autism diagnosis: social skills, attention switching, attention to detail, communication, and imagination. We performed a series of LMMs in which per-probe scores for each of the four patterns of thought obtained though PCA was the outcome measure (see Materials and Methods). These models included six explanatory variables: 1) Social skill, 2) Attention switching, 3) Attention to detail, 4) Imagination, 5) Communication, and 6) Condition (i.e., whether a thought probe occurred after a 0-back or 1-back block). We also included the two-way interactions between Condition and each of the five AQ subscales. Due to the bimodal distribution of AQ scores across all participants, these models were conducted in autistic participants only. Results are summarized in Fig. 5 and described in full in supplementary tables S13-S17.
Plot showing that the relationship across autistic participants between thinking in words and greater imagination difficulties is significantly stronger in the 1-back condition. Y-axis shows the modality of thought, x-axis shows difficulties in imagination, and colour represents condition. Error bars represent 95% confidence intervals.
Model one: detailed thought
There was a significant main effect of Condition for detailed thought, such that detailed thought was significantly greater during the 1-back condition (b = 0.21, 95% CI (0.15, 0.28), t(721) = 6.60, p < 0.001).
Model two: off-task social episodic cognition
No main effect of any AQ subscale was observed for the off-task pattern. There was a significant main effect of Condition [F(1,710) = 10.21, p = 0.001], such that off-task thought was significantly greater during the 0-back condition (b = 0.08, 95% CI (0.03, 0.13), t(710) = 3.19, p = 0.001).
Model three: modality of thought
There was a significant main effect of Imagination Difficulties for the modality of thought [F(1,74) = 7.32, p = 0.008], such that thinking in images was associated with less imagination difficulties (b = -0.13, 95% CI (-0.22, -0.03), t(74) = -2.71, p < 0.001). In addition, there was a significant main effect of Condition [F(1,718) = 10.16, p = 0.002], such that thinking in images was greater in the 0-back condition (b = 0.07, 95% CI (0.03, 0.12), t(718) = 3.19, p = 0.002). There was also a significant interaction between Condition and Imagination Difficulties for the modality of thought [F(1,718) = 17.44, p < 0.001]. Post-hoc comparisons of simple slopes indicated that there was a positive relationship between thinking in words and imagination difficulties during the 1-back condition, but not the 0-back condition (b = 0.10, 95% CI (0.05, 0.14), t(718) = 4.18, p < 0.001). Thus, difficulties in imagination, as measured by the AQ, was associated with a stronger increase in verbal thoughts during the harder 1-back task in autistic individuals.
Model four: pleasant engagement
No main effect of any AQ subscale was observed for patterns of pleasant engagement. There was a significant main effect of Condition [F(1,720) = 21.75, p < 0.001], such that pleasant engagement thought was significantly reduced during the 0-back condition (b = -0.11 95% CI (-0.16, -0.06), t(720) = -4.66, p < 0.001).
Discussion
The current study investigated patterns of ongoing thought in autistic and comparison participants during performance of a working memory task. We investigated how group differences in thought interacted with changes in working memory demands. We extended, into a clinical population, the findings of Turnbull and colleagues (2020)17, who observed that autistic traits (as indexed by higher AQ scores) predicted a greater expression of verbal thoughts in a sample of undergraduate students.
Our findings are broadly consistent with Turnbull et al. (2020)17. First, we found that thoughts were characterised by the same four factor decomposition solution of experience sampling responses, with patterns of thought also capturing detail, off-task social episodic, modality, and emotion (labelled pleasant engagement in the current study). This provides further evidence for the consistency in how multiple dimensions of thought covary and attests to the reliability of the MDES and PCA approach to reproduce patterns of ongoing thought that generalize across distinct populations. In addition, we also show that task-induced changes in thought patterns were also consistent with prior studies. In our study, the harder 1-back condition, compared to the low-demand 0-back condition, was associated with greater detailed thought, greater on-task thought, greater word-based thought, and greater pleasant engagement with the task. Each of these findings replicated and reinforced prior observations17.
The current study also extended previous work demonstrating differences in the modality of thought in autistic individuals. While both groups showed a tendency to think more in the form of words during the high-demand working-memory 1-back condition compared to the low-demand 0-back condition, this contextual difference was significantly smaller for autistic participants. Therefore, the modality of autistic participants’ thoughts was more stable and less variable, with a tendency to show more comparable levels of thinking in words across the two conditions. Turnbull and colleagues found that a pattern of verbal thoughts was generally higher for individuals higher on AQ scores17. Based on both of these studies, autism and autistic traits may attenuate the impact of contextual differences on ongoing thought, a process known as context regulation41,77.
The consistency of our results with those of Turnbull and colleagues is informative given the lack of consensus regarding differences in the modality of thought in autistic individuals. Some studies report superior performance in some visuo-spatial tasks46,47,48,49,51, less reliance on inner speech54, and greater reports of vivid visual imagery in daily life experience sampling60. Others, however, report that autistic individuals demonstrate comparable use of inner speech to mediate working memory78, and experience comparable levels of visual imagery at rest62. Autism is also more common in people with aphantasia and vice versa59. Conflicting reports of the relationship between modality of thought and autism may reflect the heterogeneity of the condition as well as the lack of consideration given to changing contexts. Our study is important because it highlights that previous observations regarding differences in autistic thinking fail to consider the importance of context, accounting for the balance between contextual independence on the one hand, and contextual dependence, adaptation, and regulation on the other.
Taken together, these results may represent a level of cognitive inflexibility regarding the modality of ongoing thought in autistic individuals79. Our paradigm used an alternating design in which participants switch between two task conditions. These task conditions evoke clear differences in performance17,76, brain activity (as assessed by functional neuroimaging41) and psychophysiological arousal (as indexed by pupil dilation76). In our study, therefore, reduced flexibility in the modality of thought of autistic participants is demonstrated by a smaller difference in the modality of thought as the external demands change. Replicating the findings of Turnbull et al. (2020)17, task performance generally increased as thoughts became more verbal and less visual. This suggests that thinking in words may represent an active strategy for holding information in working memory (e.g., ‘triangle on the left, square on the right. Triangle on the left, square on the right…’). Consequently, retention of relatively high levels of word-based thought in autistic participants in our study, with observations of Turnbull and colleagues (2020), may indicate a strategic default thinking style in autism to maintain performance and stability in time varying situational demands.
The relative context-independence of thought observed here may also be related to -processing biases: Many autistic individuals have been found to prioritize local, over global processing in a sensory scene. Often observed in visual detection paradigms, where autistic individuals exhibit faster detection of single details embedded in cluttered visual displays, a local processing bias may manifest in a number of different ways80,81. Speculatively, one such way, may be in the manifestation of thoughts during a task where local details must be attended to in the presence of changing global demands. The effect of a low level local-processing bias on something as high level as thought, however, has not been documented and as such remains an open question.
As well as highlighting differences in the modality of thought, our study also demonstrates links between patterns of thought and specific autistic traits, which are moderated according to task demands. For example, in autistic individuals, we observed a positive relationship between imagination difficulties and reduced visual thinking. Higher scores on the Imagination Difficulties AQ subscale were previously associated in autistic individuals with lower levels of visual imagery during ongoing thoughts at rest62. The current study extends this finding by demonstrating that this relationship is even stronger during greater cognitive load (i.e., in the more demanding 1-back condition). This finding adds to a growing literature highlighting the importance of considering the context in which experience occurs when examining differences in ongoing thought29,44,82. For example, Mckeown et al. (2021)29 found that in daily life, patterns of visual imagery were heighted when individuals reported consuming media during the UK’s first national COVID-19 lockdown. In the future, therefore, it will be important to assess relationships between specific autistic traits in autistic individuals and patterns of ongoing thought across a range of different tasks in daily life, since our findings highlight that some differences associated with the autistic group are heightened or attenuated based on the context in which experience was sampled.
Our results also indicate that features of off-task thought, and its interference with the processing of task-related stimuli, may differ in autistic individuals. A reduced coupling between off-task thought and task performance was observed in the autistic group. Specifically, there was stronger evidence for a positive relationship between off-task thought and worse performance for the non-autistic group compared to the autistic group. Prior work highlights that off-task thought in neurotypical individuals is; 1) consistently associated with poorer task performance36,37,39,64,65,66and context-independent reductions in markers externally focussed attentional states, both physiological83and electrophysiological84and; 2) is often social in nature44,85,86. Importantly, since autistic individuals show differences in social information processing87,88,89, off-task thinking in autistic individuals may be associated with less task interference because of differences in the social features of their off-task thoughts. Understanding the role of social processing in the effect of off-task thought on externally-focussed task-relevant states is, therefore, an important question for future work to explore.
Finally, our results highlight the importance of considering the effect of anxiety on ongoing thoughts when examining differences associated with autism. Initially, it appeared that ongoing thoughts in autistic participants were characterised by less pleasant engagement (less positive and on task), in both easy and hard conditions. However, we investigated the possibility that these elevated levels of negative thought may reflect the increased prevalence of anxiety in autistic populations90,91,92,93. After the inclusion of trait anxiety scores into the model, the impact of autism diagnosis became non-significant, suggesting that the reduction in pleasant engagement can be explained by the presence of heightened anxiety levels among the autistic group. This extends previous work highlighting the association between anxiety and increased prevalence of negative thought patterns94,95 and the importance of taking into account comorbidities in the context of autism research.
Although the current study makes significant contributions to understanding differences in ongoing thought in autistic and non-autistic individuals, an important limitation of the current study is the restricted scope of contexts in which thoughts were sampled. Since thought appears to show a dependence on environmental context in a way that interacts with current activities in day-to-day life, it is plausible that the current findings are bound to the paradigm we used. Outside of this task context, we may find that autism-related differences in ongoing thought present with in alternative ways. Mckeown and colleagues29observed, in daily life, that distinct patterns of ongoing thought occur during social interaction. It is likely that because of known differences in social cognition87,88,89autistic people will exhibit differences in thought patterns when they engage in more socially-focused activity. Future work should assess whether differences in thinking patterns of autistic individuals observed in behavioural laboratory studies are replicated or have different features if evaluated during activities of daily life such as social interactions. A second important limitation arises from the use of the AQ. The scale may have reduced sensitivity to detect autism in females96 thus making it a sub-optimal tool for assessing autism characteristics in the current sample which is approximately 50% female. Questions also remain regarding the influence of the modality of the N-Back task on the present results, particularly those pertaining to the modality of thought. Future studies may wish to examine the thought in the context of both visual and verbal N-Back task to investigate the influence of the task modality on the modality of thought. Moreover, as well as a difference in the difficulty of N-Back conditions, the 0-back and 1-back are also separated in the former’s use of perceptually available information and the latter’s reliance on short-term memory. Future studies may wish to compare 1-back to 2-back, since both utilise short-term memory while maintaining a difference in their difficulty.
In closing, in our comparison of individuals with and without a substantive clinical diagnosis of autism, we replicated the findings of Turnbull and colleagues (2020)17, who also identified an association between autistic traits and word-based thought in a non-clinical population. We extended these findings by showing this relationship could be characterized as less flexibility with respect to the modality of ongoing thought in autistic people. In addition, we found that thoughts during a working memory task tended to be less positive in autistic participants, yet that co-occurring trait anxiety may account for this association. We also demonstrated relationships between state measures of thought and trait measures of autism that became stronger with increased cognitive demand. Furthermore, a reduced coupling between off-task thought and performance was exhibited in autistic participants, alluding to a possible role of social processing in the interference between off-task thought and performance. Overall, therefore, our study provides support for the idea that autism is associated with differences in the modality of thought and highlights that the experience sampling method is a powerful and robust tool for understanding differences in cognition in both neurotypical and neurodiverse samples.
Data availability
Anonymized data will be made available upon publication via the following repository: Strawson, Will (2023), “Ongoing Thoughts in Autism”, Mendeley Data, V1, doi: https://doi.org/https://doi.org/10.17632/mddgvw63x5.1.
References
American Psychiatric Association. Diagnostic and Statistical Manual of Mental Disorders. 5 edn, (2013).
American Psychiatric Association, A. Diagnostic and Statistical Manual of Mental Disorders, 5th edn) edn. American Psy-chiatric Association., Retrieved from http://psychiatryonline.org/doi/book/10.1176/appi.books. 9780890425596 (2013).
Lord, C. & Risi, S. Frameworks and methods in diagnosing autism spectrum disorders. Ment. Retard. Dev. Disabil. Res. Rev. 4, 90–96 (1998).
Stella, J., Mundy, P. & Tuchman, R. Social and nonsocial factors in the Childhood Autism Rating Scale. J. Autism Dev. Disord. 29, 307–317 (1999).
Willemsen-Swinkels, S. H., Buitelaar, J. K., Weijnen, F. G. & van Engeland, H. Timing of social gaze behavior in children with a pervasive developmental disorder. J. Autism Dev. Disord. 28, 199–210 (1998).
Matson, J. L., Sevin, J. A., Fridley, D. & Love, S. R. Increasing spontaneous language in three autistic children. J. Appl. Behav. Anal. 23, 227–233 (1990).
Ozonoff, S. et al. A prospective study of the emergence of early behavioral signs of autism. Journal of the American Academy of Child & Adolescent Psychiatry 49, 256–266. e252 (2010).
Leekam, S. R., Nieto, C., Libby, S. J., Wing, L. & Gould, J. Describing the sensory abnormalities of children and adults with autism. J. Autism Dev. Disord. 37, 894–910 (2007).
Schulz, S. E. & Stevenson, R. A. Sensory hypersensitivity predicts repetitive behaviours in autistic and typically-developing children. Autism 23, 1028–1041 (2019).
Fletcher-Watson, S. & Happé, F. Autism: A new introduction to psychological theory and current debate. (Routledge, 2019).
Craig, F. et al. A review of executive function deficits in autism spectrum disorder and attention-deficit/hyperactivity disorder. Neuropsychiatric disease and treatment 12, 1191 (2016).
Moriuchi, J. M., Klin, A. & Jones, W. Mechanisms of diminished attention to eyes in autism. American Journal of Psychiatry 174, 26–35 (2017).
Crespi, B. J. Autism as a disorder of high intelligence. Frontiers in neuroscience, 300 (2016).
Garfinkel, S. N. et al. Discrepancies between dimensions of interoception in autism: Implications for emotion and anxiety. Biological psychology 114, 117–126 (2016).
Smallwood, J. et al. Representing representation: Integration between the temporal lobe and the posterior cingulate influences the content and form of spontaneous thought. PloS one 11, e0152272 (2016).
Smallwood, J. et al. The default mode network in cognition: a topographical perspective. Nature reviews neuroscience 22, 503–513 (2021).
Turnbull, A. et al. Word up–Experiential and neurocognitive evidence for associations between autistic symptomology and a preference for thinking in the form of words. Cortex 128, 88–106 (2020).
Baron-Cohen, S., Wheelwright, S., Skinner, R., Martin, J. & Clubley, E. The autism-spectrum quotient (AQ): Evidence from asperger syndrome/high-functioning autism, malesand females, scientists and mathematicians. Journal of autism and developmental disorders 31, 5–17 (2001).
Harris, P. L. & Leevers, H. J. Pretending, imagery and self-awareness in autism. (2000).
Vyshedskiy, A. in Healthcare. 63 (MDPI).
Low, J., Goddard, E. & Melser, J. Generativity and imagination in autism spectrum disorder: Evidence from individual differences in children’s impossible entity drawings. British Journal of Developmental Psychology 27, 425–444 (2009).
Lind, S. E. & Bowler, D. M. Episodic memory and episodic future thinking in adults with autism. Journal of abnormal psychology 119, 896 (2010).
Lind, S. E., Williams, D. M., Bowler, D. M. & Peel, A. Episodic memory and episodic future thinking impairments in high-functioning autism spectrum disorder: An underlying difficulty with scene construction or self-projection?. Neuropsychology 28, 55 (2014).
Baird, B., Smallwood, J. & Schooler, J. W. Back to the future: Autobiographical planning and the functionality of mind-wandering. Consciousness and cognition 20, 1604–1611 (2011).
Iijima, Y. & Tanno, Y. The effect of cognitive load on the temporal focus of mind wandering. Shinrigaku kenkyu: The Japanese journal of psychology 83, 232–236 (2012).
Ruby, F. J., Smallwood, J., Engen, H. & Singer, T. How self-generated thought shapes mood—the relation between mind-wandering and mood depends on the socio-temporal content of thoughts. PloS one 8, e77554 (2013).
Song, X. & Wang, X. Mind wandering in Chinese daily lives–an experience sampling study. (2012).
Stawarczyk, D., Cassol, H. & D’Argembeau, A. Phenomenology of future-oriented mind-wandering episodes. Frontiers in Psychology 4, 425 (2013).
Mckeown, B. et al. The impact of social isolation and changes in work patterns on ongoing thought during the first COVID-19 lockdown in the United Kingdom. Proceedings of the National Academy of Sciences 118, e2102565118 (2021).
Hughes, C., Russell, J. & Robbins, T. W. Evidence for executive dysfunction in autism. Neuropsychologia 32, 477–492 (1994).
Pascualvaca, D. M., Fantie, B. D., Papageorgiou, M. & Mirsky, A. F. Attentional capacities in children with autism: Is there a general deficit in shifting focus?. Journal of autism and developmental disorders 28, 467–478 (1998).
Reed, P. & McCarthy, J. Cross-modal attention-switching is impaired in autism spectrum disorders. Journal of autism and developmental disorders 42, 947–953 (2012).
Stoet, G. & López, B. Task-switching abilities in children with autism spectrum disorder. European Journal of Developmental Psychology 8, 244–260 (2011).
Courchesne, E. et al. Impairment in shifting attention in autistic and cerebellar patients. Behavioral neuroscience 108, 848 (1994).
McVay, J. C. & Kane, M. J. Why does working memory capacity predict variation in reading comprehension? On the influence of mind wandering and executive attention. Journal of experimental psychology: general 141, 302 (2012).
McVay, J. C. & Kane, M. J. Drifting from slow to “d’oh!”: Working memory capacity and mind wandering predict extreme reaction times and executive control errors. Journal of Experimental Psychology: Learning, Memory, and Cognition 38, 525 (2012).
McVay, J. C. & Kane, M. J. Does mind wandering reflect executive function or executive failure? Comment on Smallwood and Schooler (2006) and Watkins (2008). (2010).
McVay, J. C., Kane, M. J. & Kwapil, T. R. Tracking the train of thought from the laboratory into everyday life: An experience-sampling study of mind wandering across controlled and ecological contexts. Psychonomic bulletin & review 16, 857–863 (2009).
Robison, M. K. & Unsworth, N. Working memory capacity offers resistance to mind-wandering and external distraction in a context-specific manner. Applied Cognitive Psychology 29, 680–690 (2015).
Rummel, J. & Boywitt, C. D. Controlling the stream of thought: Working memory capacity predicts adjustment of mind-wandering to situational demands. Psychonomic bulletin & review 21, 1309–1315 (2014).
Turnbull, A. et al. Left dorsolateral prefrontal cortex supports context-dependent prioritisation of off-task thought. Nature communications 10, 1–10 (2019).
Unsworth, N. & McMillan, B. D. Mind wandering and reading comprehension: examining the roles of working memory capacity, interest, motivation, and topic experience. Journal of Experimental Psychology: Learning, Memory, and Cognition 39, 832 (2013).
Vermeulen, P. Context blindness in autism spectrum disorder: Not using the forest to see the trees as trees. Focus on autism and other developmental disabilities 30, 182–192 (2015).
Konu, D. et al. Exploring patterns of ongoing thought under naturalistic and conventional task-based conditions. Consciousness and cognition 93, 103139 (2021).
Kunda, M. & Goel, A. K. Thinking in pictures as a cognitive account of autism. Journal of autism and developmental disorders 41, 1157–1177 (2011).
Siegel, D. J., Minshew, N. J. & Goldstein, G. Wechsler IQ profiles in diagnosis of high-functioning autism. Journal of autism and developmental disorders 26, 389–406 (1996).
Damarla, S. R. et al. Cortical underconnectivity coupled with preserved visuospatial cognition in autism: Evidence from an fMRI study of an embedded figures task. Autism Research 3, 273–279 (2010).
Jolliffe, T. & Baron-Cohen, S. Are people with autism and Asperger syndrome faster than normal on the Embedded Figures Test?. Journal of Child Psychology and Psychiatry 38, 527–534 (1997).
Dawson, M., Soulières, I., Ann Gernsbacher, M. & Mottron, L. The level and nature of autistic intelligence. Psychological science 18, 657–662 (2007).
Soulieres, I., Zeffiro, T. A., Girard, M. & Mottron, L. Enhanced mental image mapping in autism. Neuropsychologia 49, 848–857 (2011).
Fugard, A. J., Stewart, M. E. & Stenning, K. Visual/verbal-analytic reasoning bias as a function of self-reported autistic-like traits: A study of typically developing individuals solving Raven’s Advanced Progressive Matrices. Autism 15, 327–340 (2011).
Kamio, Y. & Toichi, M. Dual access to semantics in autism: Is pictorial access superior to verbal access?. The Journal of Child Psychology and Psychiatry and Allied Disciplines 41, 859–867 (2000).
Kana, R. K., Keller, T. A., Cherkassky, V. L., Minshew, N. J. & Just, M. A. Sentence comprehension in autism: thinking in pictures with decreased functional connectivity. Brain 129, 2484–2493 (2006).
Whitehouse, A. J., Maybery, M. T. & Durkin, K. Inner speech impairments in autism. Journal of Child Psychology and Psychiatry 47, 857–865 (2006).
Lidstone, J. S., Fernyhough, C., Meins, E. & Whitehouse, A. J. Brief report: Inner speech impairment in children with autism is associated with greater nonverbal than verbal skills. Journal of autism and developmental disorders 39, 1222–1225 (2009).
Joseph, R. M., Tager-Flusberg, H. & Lord, C. Cognitive profiles and social-communicative functioning in children with autism spectrum disorder. Journal of Child Psychology and Psychiatry 43, 807–821 (2002).
Spiller, M. J., Jonas, C. N., Simner, J. & Jansari, A. Beyond visual imagery: How modality-specific is enhanced mental imagery in synesthesia?. Consciousness and Cognition 31, 73–85 (2015).
Baron-Cohen, S. et al. Is synaesthesia more common in autism?. Molecular autism 4, 1–6 (2013).
Dance, C. et al. What is the relationship between Aphantasia, Synaesthesia and Autism?. Consciousness and Cognition 89, 103087 (2021).
Bled, C., Guillon, Q., Soulières, I. & Bouvet, L. Thinking in pictures in everyday life situations among autistic adults. PloS one 16, e0255039 (2021).
Hare, D. J., Wood, C., Wastell, S. & Skirrow, P. Anxiety in Asperger’s syndrome: Assessment in real time. Autism 19, 542–552 (2015).
Simpraga, S. et al. Adults with autism spectrum disorder show atypical patterns of thoughts and feelings during rest. Autism 25, 1433–1443 (2021).
Seli, P. et al. Mind-wandering as a natural kind: A family-resemblances view. Trends in cognitive sciences 22, 479–490 (2018).
Smallwood, J., Beach, E., Schooler, J. W. & Handy, T. C. Going AWOL in the brain: Mind wandering reduces cortical analysis of external events. Journal of cognitive neuroscience 20, 458–469 (2008).
McVay, J. C. & Kane, M. J. Conducting the train of thought: working memory capacity, goal neglect, and mind wandering in an executive-control task. Journal of Experimental Psychology: Learning, Memory, and Cognition 35, 196 (2009).
Mrazek, M. D. et al. The role of mind-wandering in measurements of general aptitude. Journal of experimental psychology: general 141, 788 (2012).
Quadt, L. et al. Interoceptive training to target anxiety in autistic adults (ADIE): A single-center, superiority randomized controlled trial. EClinicalMedicine 39, 101042. https://doi.org/10.1016/j.eclinm.2021.101042 (2021).
Murphy, C. et al. Distant from input: Evidence of regions within the default mode network supporting perceptually-decoupled and conceptually-guided cognition. Neuroimage 171, 393–401 (2018).
Sormaz, M. et al. Default mode network can support the level of detail in experience during active task states. Proceedings of the National Academy of Sciences 115, 9318–9323 (2018).
Vatansever, D., Bozhilova, N. S., Asherson, P. & Smallwood, J. The devil is in the detail: exploring the intrinsic neural mechanisms that link attention-deficit/hyperactivity disorder symptomatology to ongoing cognition. Psychological medicine 49, 1185–1194 (2019).
Spielberger, C. D. Manual for the State-Trait Anxiety Inventory (self-evaluation questionnaire). (No Title) (1970).
Knowles, K. A. & Olatunji, B. O. Specificity of trait anxiety in anxiety and depression: Meta-analysis of the State-Trait Anxiety Inventory. Clinical psychology review 82, 101928 (2020).
Kuznetsova, A., Brockhoff, P. B. & Christensen, R. H. lmerTest package: tests in linear mixed effects models. Journal of statistical software 82, 1–26 (2017).
Singmann, H. & Kellen, D. in New methods in cognitive psychology 4–31 (Routledge, 2019).
Lenth, R. Estimated marginal means, aka least-squares means. R package version 1.5.3. (2020).
Konishi, M., Brown, K., Battaglini, L. & Smallwood, J. When attention wanders: Pupillometric signatures of fluctuations in external attention. Cognition 168, 16–26 (2017).
Smallwood, J. & Andrews-Hanna, J. Not all minds that wander are lost: the importance of a balanced perspective on the mind-wandering state. Frontiers in psychology 4, 441 (2013).
Williams, D. M., Bowler, D. M. & Jarrold, C. Inner speech is used to mediate short-term memory, but not planning, among intellectually high-functioning adults with autism spectrum disorder. Development and psychopathology 24, 225–239 (2012).
Van Eylen, L. et al. Cognitive flexibility in autism spectrum disorder: Explaining the inconsistencies?. Research in Autism Spectrum Disorders 5, 1390–1401 (2011).
Robertson, C. E. & Baron-Cohen, S. Sensory perception in autism. Nature Reviews Neuroscience 18, 671–684 (2017).
Mottron, L., Dawson, M., Soulières, I., Hubert, B. & Burack, J. Enhanced perceptual functioning in autism: An update, and eight principles of autistic perception. Journal of autism and developmental disorders 36, 27–43 (2006).
Smallwood, J. et al. The neural correlates of ongoing conscious thought. IScience 24, 102132 (2021).
Smilek, D., Carriere, J. S. & Cheyne, J. A. Out of mind, out of sight: Eye blinking as indicator and embodiment of mind wandering. Psychological science 21, 786–789 (2010).
Simola, J. et al. Context independent reductions in external processing during self-generated episodic social cognition. Cortex (2022).
Poerio, G. L. & Smallwood, J. Daydreaming to navigate the social world: What we know, what we don’t know, and why it matters. Social and Personality Psychology Compass 10, 605–618 (2016).
Ho, N. S. P. et al. Facing up to the wandering mind: Patterns of off-task laboratory thought are associated with stronger neural recruitment of right fusiform cortex while processing facial stimuli. Neuroimage 214, 116765 (2020).
Pagni, B. A., Walsh, M. J., Rogers, C. & Braden, B. B. Social cognition in autism spectrum disorder across the adult lifespan: Influence of age and sex on reading the mind in the eyes task in a cross-sectional sample. Frontiers in integrative Neuroscience 14, 571408 (2020).
Baksh, R. A. et al. Social cognition in adults with autism spectrum disorders: Validation of the Edinburgh Social Cognition Test (ESCoT). The Clinical Neuropsychologist 35, 1275–1293 (2021).
Li, T.-S., Gau, S.S.-F. & Chou, T.-L. Exploring social emotion processing in autism: evaluating the reading the mind in the eyes test using network analysis. BMC psychiatry 22, 1–11 (2022).
Wood, J. J. et al. Cognitive behavioral therapy for anxiety in children with autism spectrum disorders: A randomized, controlled trial. Journal of Child Psychology and Psychiatry 50, 224–234 (2009).
Joshi, G. et al. Psychiatric comorbidity and functioning in a clinically referred population of adults with autism spectrum disorders: a comparative study. Journal of autism and developmental disorders 43, 1314–1325 (2013).
Moss, P., Howlin, P., Savage, S., Bolton, P. & Rutter, M. Self and informant reports of mental health difficulties among adults with autism findings from a long-term follow-up study. Autism 19, 832–841 (2015).
Hollocks, M. J., Lerh, J. W., Magiati, I., Meiser-Stedman, R. & Brugha, T. S. Anxiety and depression in adults with autism spectrum disorder: a systematic review and meta-analysis. Psychological medicine 49, 559–572 (2019).
Nolen-Hoeksema, S. The role of rumination in depressive disorders and mixed anxiety/depressive symptoms. Journal of abnormal psychology 109, 504 (2000).
Makovac, E. et al. Response time as a proxy of ongoing mental state: A combined fMRI and pupillometry study in generalized anxiety disorder. NeuroImage 191, 380–391 (2019).
Baron-Cohen, S. et al. Attenuation of typical sex differences in 800 adults with autism vs. 3,900 controls. PloS one 9, e102251 (2014).
Author information
Authors and Affiliations
Contributions
All authors were responsible for reviewing the final manuscript. The paper was drafted by W.S. with support from B.M. W.S. undertook the analyses with support from B.M., HT.W. and C.K. L.Q., D.L., J.M. and M.S. were responsible for the data collection. The study was conceived and planned by S.G. and J.S. extending methods implemented by A.T., B.M., HT.W. and J.S. within a research programme funded by a grant from MQ grant to S.G. and H.C.
Corresponding author
Ethics declarations
Competing interests
The authors declare no competing interests.
Additional information
Publisher’s note
Springer Nature remains neutral with regard to jurisdictional claims in published maps and institutional affiliations.
Supplementary Information
Rights and permissions
Open Access This article is licensed under a Creative Commons Attribution-NonCommercial-NoDerivatives 4.0 International License, which permits any non-commercial use, sharing, distribution and reproduction in any medium or format, as long as you give appropriate credit to the original author(s) and the source, provide a link to the Creative Commons licence, and indicate if you modified the licensed material. You do not have permission under this licence to share adapted material derived from this article or parts of it. The images or other third party material in this article are included in the article’s Creative Commons licence, unless indicated otherwise in a credit line to the material. If material is not included in the article’s Creative Commons licence and your intended use is not permitted by statutory regulation or exceeds the permitted use, you will need to obtain permission directly from the copyright holder. To view a copy of this licence, visit http://creativecommons.org/licenses/by-nc-nd/4.0/.
About this article
Cite this article
Strawson, W.H., Mckeown, B., Quadt, L. et al. Differences in ongoing thought between autistic and non-autistic adults. Sci Rep 14, 29236 (2024). https://doi.org/10.1038/s41598-024-78286-6
Received:
Accepted:
Published:
Version of record:
DOI: https://doi.org/10.1038/s41598-024-78286-6
This article is cited by
-
Social perception and cognition in autism
Scientific Reports (2025)







