Fig. 4

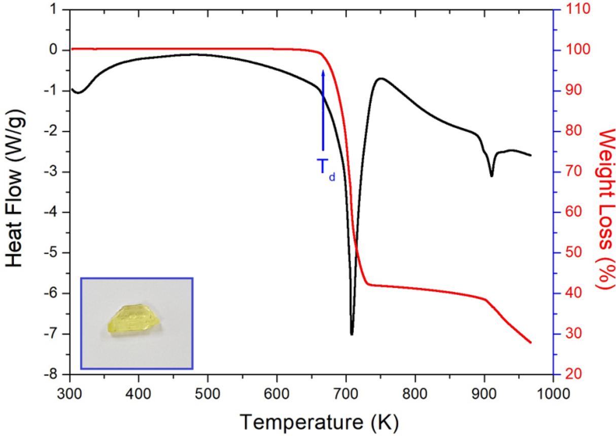
Thermogravimetric analysis and differential thermal analysis curves of [N(CH3)4]2MnCl4 (inset: morphology of the [N(CH3)4]2MnCl4 single crystal).

Thermogravimetric analysis and differential thermal analysis curves of [N(CH3)4]2MnCl4 (inset: morphology of the [N(CH3)4]2MnCl4 single crystal).