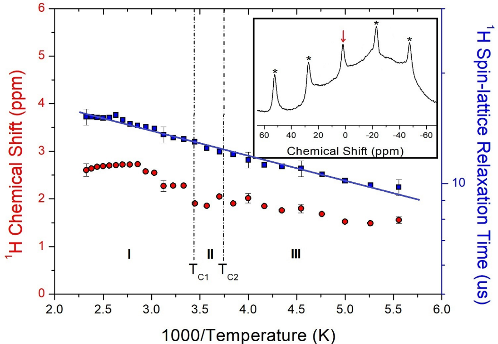
Fig. 5

NMR chemical shifts and spin‒lattice relaxation times for 1H of [N(CH3)4]2MnCl4 as a function of inverse temperature. The straight slope of the solid line represents the activation energy for molecular motion (inset:1H NMR spectrum at 300 K, where the asterisks are spinning sidebands).