Abstract
The current industrial wireless sensor network (IWSN) cluster routing methods suffer from energy inefficiency. Designing efficient cluster-based routing protocols is crucial for improving network performance and energy efficiency. Therefore, this paper first designs a new clustering model to achieve efficient cluster head (CH) selection and data transmission performance by comprehensively considering multiple key factors such as CH energy, base station (BS) distance, packet loss rate, and data delay. Based on this clustering model, a novel cluster routing protocol based on Gaussian mutation adaptive artificial fish swarm algorithm (GAAFSA) is proposed. At the same time, a new Gaussian mutation strategy and an adaptive strategy were introduced to effectively promote the protocol to avoid local optima and prevent premature convergence. The GAAFSA based cluster routing protocol was experimentally compared with five popular schemes, namely CMSTR, D2CRP, EEHCHR, ESCVAD and BAFSA. The results showed that the proposed protocol outperformed the other four schemes in terms of network energy consumption, system lifetime, data transmission reliability, and latency. Specifically, GAAFSA has improved network lifespan by at least 15.68%, BS received packets by at least 7.46%, and reduced packet loss rate by at least 15.28%. Therefore, GAAFSA effectively optimizes network performance and extends network lifespan, greatly reducing energy loss within the network and significantly improving network quality of service (QoS).
Similar content being viewed by others
Introduction
In the environment of Industry 4.0, the Internet of Things, signal processing1, deep learning2and edge computing have brought huge technological changes to industrial production. The Industrial Internet of Things (IIoT) is an extension of Internet of Things technology applied to the industrial domain3,4,5. Its primary goal is to digitize, intelligize, and automate industrial processes by connecting and integrating various sensors, devices, systems, and networks. This aims to enhance production efficiency, reduce costs, improve product quality, and create new business value. IIoT tightly intertwines the physical and digital worlds, bringing about significant innovations and transformations in manufacturing, energy, transportation, agriculture, and other sectors. In manufacturing, for instance, IIoT facilitates smart manufacturing through real-time monitoring, predictive maintenance, and quality control using data collected and analyzed from sensors and devices6,7,8, enhancing production efficiency and product quality. In energy management, IIoT enables remote monitoring and control of energy equipment, optimizing energy consumption and helping businesses lower energy costs and improve energy utilization efficiency9,10. Overall, the broad application prospects of IIoT span various domains and are expected to lead to benefits such as increased production efficiency, efficient resource utilization, and environmental improvements, achieved by connecting the physical and digital realms to enable data collection, analysis, and application.
Industrial Wireless Sensor Networks (IWSNs) are pivotal facilities within the realm of IIoT11. IWSNs are networks built upon wireless communication technology and sensor nodes, designed to collect, transmit, and process various physical parameters and data in industrial environments. IWSNs consist mainly of sensor nodes and data aggregation nodes, where the former constitute the core of the network, responsible for collecting environmental parameters and data such as temperature, humidity, pressure, and vibration12,13. These nodes are strategically deployed in industrial production lines, equipment, and facilities. The latter, data aggregation nodes, gather data from sensor nodes and transmit it to superior systems, such as BSs, facilitating data communication.
IWSNs exhibit characteristics of low power consumption14. Sensor nodes are typically designed for low power consumption to extend battery life and reduce maintenance frequency. Compared to wired sensor networks, IWSNs offer lower installation and maintenance costs15. Moreover, IWSNs not only facilitate real-time data collection and transmission for remote monitoring and control of industrial environments, allowing operators to timely understand equipment status and production processes but also offer flexible deployment due to their wireless nature. The network structure can be easily expanded as needed16. With these excellent features, IWSNs find widespread applications in industrial automation, energy management, environmental monitoring, and more17. The extensive adoption of IWSNs in the industry offers effective means for achieving intelligent production, refined management, and optimized resource utilization. When combined with other digital and communication technologies, they enable comprehensive processes of industrial automation, monitoring, control, and optimization.
As foundational components of IWSNs, wireless sensors possess many advantages, yet they also face certain drawbacks and challenges18. Wireless sensor nodes are typically battery-powered, resulting in a limited energy supply. Regular battery replacement or recharging increases maintenance costs and operational complexity. Additionally, large-scale wireless sensor networks necessitate effective network management and coordination to ensure stability and performance. While wireless sensors hold tremendous potential across numerous applications, addressing their limitations and challenges is crucial to achieving a more reliable, efficient, and secure industrial wireless sensor network.
In this context, cluster-based routing protocols play a pivotal role in IWSNs. By dividing nodes into clusters, efficient data transmission and energy management are achieved, thereby prolonging network lifespan and enhancing performance19,20. Specifically, sensor nodes are grouped into clusters, with each cluster managed by a CH node. This clustering approach reduces inter-node communication distance, lowering energy consumption and extending the lifespan of IWSNs. Furthermore, cluster-based routing protocols simplify network management, decrease data transmission complexity, enhance data real-time characteristics, optimize communication efficiency, and support large-scale node deployment, offering efficient and reliable data transmission and communication support for industrial applications.
Given that IWSNs are often deployed in dispersed and hard-to-maintain environments, the energy supply for sensor nodes is constrained. Effective energy reduction can prolong the network’s lifespan and minimize costs and efforts associated with frequent battery replacement or maintenance. Therefore, energy reduction strategies are of significant importance in cluster-based routing protocols, enhancing not only the network’s lifespan but also its sustainability and stability21,22. Simultaneously, a good quality of service (QoS) ensures high-level performance in real-time data transmission, energy management, and network stability for IWSNs23,24. In industrial settings, QoS guarantees the timely transmission and processing of critical data, ensuring the precision and reliability of monitoring, control, and decision-making processes in production. By ensuring QoS, cluster-based routing protocols can guarantee data transmission quality, thereby optimizing network performance to the greatest extent, providing a stable and reliable communication foundation for IWSNs.
Evolutionary algorithms, as optimization techniques, are widely applied in various fields25,26. They also play a significant role in cluster-based routing protocols, providing strong support for the design and application of these protocols in IWSNs27. Evolutionary algorithms, such as genetic algorithms28, particle swarm optimization29, grey wolf optimization30, and firefly algorithms31, are optimization techniques based on biological evolution principles that can search for optimal solutions in complex problems. These algorithms optimize the distribution of sensor nodes and routing strategies in the network, thereby achieving balanced energy consumption, extending network lifespan, and enhancing data transmission efficiency. Evolutionary algorithms can autonomously adjust the selection of CH nodes, intra-cluster, and inter-cluster communication strategies, and dynamic parameters in response to network conditions, thus adapting to different environments and load changes. This approach effectively addresses issues such as energy imbalance and unstable topology in IWSNs, optimizing protocol performance and enabling reliable and efficient data transmission and energy management. This provides reliable support for monitoring, control, and data collection applications in IWSNs.
Although more clustering schemes emerge, it is difficult to balance and optimize energy efficiency and service quality. The main technical contribution of this work is the development and implementation of a novel multi-objective clustering protocol for IWSNs, called Gaussian Mutation Adaptive Artificial Fish Swarm Algorithm (GAAFSA). This protocol provides an effective IWSNs clustering solution by introducing new adaptive methods and innovative Gaussian mutation methods. The core framework of this paper is shown in Figure 1. The contributions of this article are listed as follows:
-
(1)
This paper proposes a new cluster routing protocol based on Gaussian mutation adaptive artificial fish swarm algorithm (GAAFSA), and a new adaptive method is designed, effectively guide the protocol out of local optima. In addition, a new Gaussian mutation method is introduced, significantly enhancing the diversity among individuals in the population. The optimization of IWSN through GAAFSA significantly reduces energy loss within the network and enhances network service quality.
-
(2)
Then, this paper designs a new multi-objective clustering model by comprehensively considering multiple key factors such as CH energy, BS distance, packet loss rate, and data delay. This model is based on multi-objective weighting method for efficient CH selection and data transmission performance of IWSN cluster routing protocol. Moreover, the flexible allocation of weights can adapt to IWSN monitoring tasks in different scenarios, which is an innovation of our work.
-
(3)
Finally, in different experimental scenarios of IWSN, the proposed protocol was compared with five popular clustering schemes such as CMSTR, D2CRP, EEHCHR, ESCVAD and BAFSA for multiple performance metrics, and the computational complexity of the GAAFSA was analyzed in detail. Experiments have shown that the clustering routing protocol based on GAAFSA outperforms the other four state-of-the-art clustering schemes in terms of network lifetime, energy balance, network latency, and data loss rate.
The paper follows the following structure: Section 1 provides an introduction to the necessary background. Section 2 presents the related work. The newly designed IWSNs model is introduced in Section 3. Section 4 proposes GAAFSA for cluster routing in IWSNs. In Section 5, the GAAFSA is compared with several existing cluster routing protocols through simulation experiments. Section 6 concludes the paper by summarizing the work conducted and offering insights into future research directions.
Related work
Currently, there is a significant amount of research focused on clustering routing algorithms, primarily in traditional schemes and evolutionary algorithm-based approaches. Many researchers have conducted extensive studies to explore and improve clustering routing algorithms. In the following sections, the traditional scheme, the evolution algorithm-based scheme, and the motivation will be introduced behind this research.
Traditional scheme
In this context, a novel QoS-aware adaptive cluster-based routing algorithm for underwater acoustic sensor networks named ACUN is proposed32. Through the adoption of a multi-level hierarchical network architecture and by considering the distance between CHs and aggregation nodes, as well as CH energy, the corresponding competition radius for each cluster is dynamically calculated. Furthermore, CHs are determined based on CH energy. Addressing the CH determination and routing challenges, a two-layer genetic algorithm is designed33, where each layer is responsible for determining CH schemes and multi-hop routing schemes between CHs, respectively. Additionally, the effectiveness of this optimization approach is experimentally validated in terms of energy savings and the extension of network node lifespan. A novel clustering algorithm for WSNs, designated as energy efficient hybrid clustering and hierarchical routing (EEHCHR), has been conceptualized34. This algorithm is designed to minimize node energy expenditure through adaptive and hybrid clustering methodologies, integrating parameters such as node residual energy, Euclidean distance, fuzzy C-means FCM technique, and the location of the base station, thereby aiming to extend the network’s operational lifes. An energy-efficient routing scheduling protocol for IoT, termed ARFOR, has been proposed24, which is predicated on a fuzzy ranking scheme. The protocol endeavors to enhance network longevity and curtail energy dissipation during transmission cycles by selecting volunteer nodes utilizing fuzzy parameters such as adaptive ranking, Canberra distance, and threshold energy.However, traditional schemes are typically designed based on static network environments and lack adaptability to network topology changes and node joining/leaving scenarios. As the network scale expands or nodes join/leave, these schemes can limit the performance of the network, making it difficult to achieve efficient data transmission and node management.
A new protocol named ESCVAD is proposed35, incorporating an adaptive clustering algorithm based on Voronoi partitioning and an optimized CH election algorithm based on weighted distance and energy considerations. Through these algorithmic designs, ESCVAD reduces the frequency of clustering and CH selection, leading to more balanced energy consumption across various hierarchy levels. Employing particle swarm optimization, an energy-constrained clustered routing protocol is presented36, aiming to lower system energy consumption and extend system lifespan. In the paper, the operational cycle of wireless sensor network is structured in a circular pattern. By utilizing data packets containing the positions and remaining energy of all sensor nodes received by the base station, the protocol selects nodes with remaining energy greater than all their neighboring nodes as candidate CH nodes. Through experimental validation, the protocol has achieved a good result. A distributed two-hop clustered routing protocol named D2CRP is introduced37. During the cluster formation phase, nodes in the network form clusters within a two-hop range. Subsequently, suitable CHs are chosen based on data transmission distance and node energy. Each cluster member can transmit data to neighbors within a one-hop range or to corresponding CHs, based on CM’s choice. While these protocols and schemes address the reduction of network energy consumption, IWSNs often require high data reliability and real-time performance in industrial environments, as key applications rely on accurate and timely data. QoS requirements ensure data transmission reliability, preventing data loss, errors, or delays, to ensure normal system operation and decision-making. Unfortunately, the above-mentioned cluster-based routing protocols do not incorporate IWSN’s QoS requirements, rendering them unable to effectively meet the demands of practical IWSN deployments.
Evolution algorithm-based scheme
In order to further enhance the performance and effectiveness of clustering routing algorithms, some researchers have begun to explore evolutionary algorithm-based approaches. Compared to traditional schemes, evolutionary algorithm-based solutions have better global search capabilities and adaptability, allowing them to better adapt to different network environments and requirements. As a result, these approaches have garnered widespread attention.
By considering the sensor node density, node energy, distance between CH nodes and BS, as well as inter-cluster information, an optimal cluster head selection algorithm is developed38. Furthermore, the dragonfly algorithm is employed, along with local search optimization and global search optimization, to design a loop-free routing solution for wireless sensor networks. To address the issue of IWSN cluster routing, a novel levy flight strategy and chaotic optimization strategy are adopted29. Based on intra-cluster distance, BS distance, CH nodes energy, and CM nodes energy, a new and efficient IWSN clustering routing model, LCPSO-CRP, is proposed, aiming to reduce network energy consumption and prolong network lifespan. An optimized algorithm for CH election in IoT-supported WSNs, named OptGACHE, has been introduced to address the limitations of IoT devices typically characterized by finite battery capacities and the infrequency of charging39. The algorithm incorporates four distinct criteria-node density, distance, energy, and the capability of heterogeneous nodes-to formulate a fitness function. This approach is intended to optimize intra-cluster distance, systematically harness node energy, reduce hop counts, and encourage the selection of highly capable nodes as CHs. The APTEEN routing protocol has been enhanced by integrating genetic algorithms and fruit fly optimization algorithms to mitigate issues of uneven network energy consumption40, premature node failure, excessive unnecessary energy expenditure, and suboptimal network coverage in wireless sensor networks. The study introduces additional selection factors for cluster head determination, including residual energy, distance to the base station, distance to the network’s geometric center, and node degree. The protocol pioneers the use of both genetic algorithms and fruit fly optimization algorithms for the selection of cluster heads, followed by a secondary selection process based on a density-adaptive algorithm.
In order to fulfill their intended functionality, IWSN in industrial environments require an exceptional degree of data reliability and real-time performance. Ensuring the delivery of data within strict QoS constraints is crucial for maintaining the normal operation of the system and facilitating real-time analytical capabilities for decision-making. However, the existing cluster-based routing protocols fall short in meeting the high QoS requirements of IWSN deployments. These methodologies struggle to effectively address the demands and constraints of real-world IWSN deployment environments.
A novel cluster-based routing protocol is introduced41, utilizing a fuzzy layered ant colony algorithm to select CHs based on nodes’ Quality of Service (QoS) parameters, while optimizing CH determination through fuzzy rules. CH weights directly influence CH tenure. Employing strategies considering energy consumption, routing overhead, end-to-end delay throughput of wireless systems, the protocol yields favorable cluster routing results. A QoS-based optimized multi-path clustering routing protocol is proposed42. An improved particle swarm optimization algorithm is employed for selecting appropriate CH schemes, alongside the SingleSink-AllDestination algorithm for optimal multi-hop communication path determination and the Round-robinPathsSelection algorithm for data transmission to receivers. Based on the clustered general self-organized tree-based energy-balance routing protocol, an energy-efficient protocol is optimized43, leveraging particle swarm optimization techniques to enhance network energy consumption and data transmission strategies. These methods maintain QoS requirements throughout the iterative process, ensuring network throughput and packet delivery rate. While the discussed protocols to some extent guarantee network QoS, the employment of heuristic algorithms often presents challenges related to premature convergence and difficulty in escaping local optima. This renders them less suitable for complex production environments and high-demanding IWSNs.
Motivation
In traditional clustering routing protocols, there are several deficiencies including energy imbalance, load imbalance, low data transmission efficiency, and lack of adaptability and flexibility. Energy imbalance leads to rapid energy consumption in some nodes, resulting in shortened network lifespan. Load imbalance causes heavy loads on cluster head nodes, leading to performance bottlenecks and increased data transmission latency. Low data transmission efficiency wastes network bandwidth and energy resources. The lack of adaptability and flexibility makes the protocol difficult to cope with dynamic environments and node changes.
Although clustering routing algorithms based on evolutionary algorithms have certain advantages, they also have some deficiencies and limitations. These algorithms are susceptible to the curse of dimensionality in high-dimensional and complex search spaces, leading to decreased search efficiency. Additionally, these algorithms have relatively weak global search capabilities and are prone to getting trapped in local optima, unable to obtain the optimal solution. Lastly, these algorithms may not meet the requirements of real-time applications with high timeliness, as they require a large number of iterations and computations.
Therefore, the innovative concept of GAAFSA has been proposed and applied in the design of clustering routing, aiming to optimize the energy consumption and data transmission efficiency of IWSNs. By introducing GAAFSA, the goals of energy balance, load balance, and data transmission optimization are effectively achieved, thereby improving the performance and lifespan of wireless sensor networks.The core work framework of this paper is shown in Figure 1. To better identify abbreviations, a comparison table of abbreviations for the entire text has been compiled, as shown in Table 1.
Multi-objective system model
Network model
Within the network model of the cluster-based routing protocol, sensor nodes are organized into multiple clusters, each consisting of a CH and several regular sensor nodes. Cluster heads are responsible for coordinating and managing communication and data aggregation within their respective clusters, while regular sensor nodes collect environmental information and transmit data to the CH. Communication might also occur among CHs to facilitate data transmission to the BS or other parts of the network.
To simplify the problem and facilitate algorithm design and analysis, several assumptions are made in this study:
-
1.
Sensor nodes within the network are functionally and performance-wise similar, capable of executing the same tasks and protocols.
-
2.
Energy consumption among nodes is balanced, meaning under the same conditions of transmission distance and data volume, nodes exhibit similar energy consumption.
-
3.
Full-duplex communication is feasible between nodes, enabling simultaneous data transmission and reception.
-
4.
Sensor nodes remain stationary within clusters, with only CHs engaging in data transmission.
-
5.
The election of CHs is based on certain attributes or criteria of nodes, such as energy level, position, etc.
-
6.
The network topology remains relatively stable, with nodes not frequently joining or leaving the network.
Energy model
The energy consumption model delineates the energy consumption of individual nodes during communication and data transmission processes within the IWSN. It models the energy expenditure of nodes to aid in the optimization of route protocol design. In this paper, a wireless transmission energy consumption model is employed as the energy consumption model, as depicted in figure 2. Energy consumption in this model is categorized into transmission and reception costs, with the transmission distance, d, serving as a significant influencing factor. The energy consumption for transmitting p bits of data at a distance of d is calculated as shown in equation (1).
In equation (1), Etx(p, d) represents the energy consumption of a node when transmitting p bits of data to a node at a distance of d. Here, \(E_{elec}\) denotes the energy required for transmitting 1 bit of data by the emission circuit (transmission circuit), and \(\mu _{fs}\) and \(\mu _{amp}\) are the energy required by the power amplifier to transmit 1 bit of data per unit area in the free-space channel model and the multi-path fading channel model, respectively. \(d_0\) represents the communication distance threshold, calculated as shown in equation (2).
The energy required for a node to receive p bits of data is depicted in equation (3).
Quality of service model
In cluster routing, Quality of Service (QoS) serves as a framework for managing and providing network service quality. Its purpose is to ensure that the data transmitted in the network meets specific service quality requirements, typically achieved through key elements such as latency and packet loss rate. In GAAFSA, QoS requirements are addressed by maximizing the bandwidth in the network to ensure efficient data transmission, controlling the transmission latency of data packets to meet timeliness requirements, and minimizing data packet loss to ensure reliability. The application of the QoS model in cluster routing can enhance network performance, especially in the context of actual industrial production demands. It allows for configuring and optimizing the network according to specific requirements, providing more reliable and efficient data transmission services.
In IWSN, delay refers to the time required for data to travel from the source node to the destination node. Delay is a critical factor in IWSN as different application scenarios have varying real-time data transmission requirements. Delay directly affects the responsiveness and efficiency of data transmission. In cluster routing, routing protocols can use delay as a metric for evaluating cluster routing schemes. Giving priority to schemes with lower delay can reduce data packet transmission time, enhancing overall network performance and efficiency. The estimation of end-to-end delay encompasses the delays incurred throughout the data transmission process, and can be calculated as follows.
Here, \(del_{tran}\) denotes transmission delay, \(del_{prop}\) denotes propagation delay, \(del_{proc}\) denotes processing delay, and \(del_{que}\) denotes queuing delay.
Additionally, packet loss rate is a crucial indicator for measuring the reliability and data integrity of network transmission. In IWSN, a lower packet loss rate implies more reliable data transmission, where packets are delivered from source to destination as expected. By reducing the packet loss rate, transmission reliability in IWSN can be improved, leading to less data retransmission and error handling. It can be calculated as followed.
Where \(pack_{total}\) represents the total number of data packets transmitted during the process, and \(pack_{succ}\) represents the number of successfully received data packets.
Bandwidth represents the amount of data that a network can transmit within a unit of time, determining the network’s data transmission capacity. Higher bandwidth indicates that the network can transmit more data simultaneously. In cluster routing protocols, bandwidth can be used as one of the metrics for selecting cluster routing schemes. Opting for cluster routing schemes with higher available bandwidth can provide better data transmission performance and efficiency. This approach enhances network throughput and efficiency, thereby improving overall network performance.
Multi-objective clustering model
Firstly, in cluster routing protocols, emphasis should be placed on the crucial role of remaining node energy in CH election. Cluster heads in IWSNs bear the heavy task of data transmission while playing a pivotal role in the network. Therefore, they need to be chosen from nodes with higher remaining energy to ensure the normal data transmission and network operation. Its significance lies in effectively extending the lifespan of industrial wireless sensor networks and optimizing network performance. Through this strategy, cluster routing can provide more reliable and efficient data transmission services for industrial applications. Particularly in IWSNs, it has a significant impact on improving energy efficiency, prolonging node lifespan, and reducing maintenance costs.
Here, \(Fit_{ener}\) refers to the fitness of remaining energy of all CH nodes, and ener() refers to the remaining energy of a node.
Secondly, QoS also plays a pivotal role in cluster routing protocols. It influences data transmission stability, reliability, and real-time performance, thereby exerting an important impact on the performance and efficiency of IWSN. On one hand, industrial applications often demand high data transmission reliability, intolerant of data loss or errors. QoS mechanisms can ensure data reliability and stability through optimizing data transmission paths, selecting reliable CH nodes, and using data redundancy, thus safeguarding the normal operation of industrial systems. On the other hand, certain industrial scenarios require high real-time data transmission, such as real-time monitoring and remote control. QoS can ensure timely response and decision-making by optimizing route selection and transmission mechanisms, thereby reducing data transmission latency.
The role of ensuring QoS in cluster routing protocols is to guarantee the stability, real-time performance, energy efficiency, and security of data transmission, meeting the requirements of different industrial applications. Through effective QoS mechanisms, cluster routing protocols can offer higher quality data transmission services, enhancing the performance and reliability of industrial wireless sensor networks.
Here, \(Fit_{QoS}\) refers to the fitness of network QoS in IWSNs, and \(\sigma\) represents the QoS control factor.
Lastly, the importance of controlling intra-cluster distance and scale in cluster routing protocols stems from their direct influence on network performance, energy consumption, and data transmission efficiency. Controlling intra-cluster distance and scale can effectively balance energy consumption, avoiding early energy depletion due to densely deployed nodes. Appropriate intra-cluster distance and scale design can distribute energy more evenly within the cluster, reducing the risk of energy concentration in a few nodes, thereby extending the lifespan of the entire network. Excessive intra-cluster distance can lead to increased communication overhead among nodes, while moderate intra-cluster distance can reduce communication distance and energy consumption. Additionally, suitable scale can control the number of nodes within the cluster, reducing unnecessary communication and data transmission, thus lowering the overall communication overhead of the network.
In summary, the significance of controlling intra-cluster distance and scale in cluster routing protocols lies in optimizing energy utilization, reducing communication overhead, enhancing data transmission efficiency, strengthening network stability, and adapting to various application scenarios. Through well-designed adjustments, more efficient, stable, and sustainable operation of industrial wireless sensor networks can be achieved.
Here, \(Fit_{dis}\) denotes the fitness of the total distance between CH and BS, dis() denotes the distance calculation method, cls denotes the existing number of CHs in the network, and \(CH_i\) denotes the \(i_{th}\) CH.
Normalization is the process of transforming data with different scales or ranges into a unified standard interval, typically [0, 1], to facilitate better comparison, analysis, and processing. In numerical computations, calculations involving large and small numbers may lead to numerical instability and error accumulation. Normalization can confine the range of values to a smaller interval, reducing numerical errors and instability. Additionally, because features in different dimensions may have distinct value ranges, non-normalized data could cause optimization algorithms to converge slowly in some dimensions and quickly in others. Through normalization, the impact of each dimension can be balanced, thereby improving the convergence speed of algorithms.
Here, \(Fit_{ener}\) and \(Fit_{ener}^{norm}\) respectively denote the energy fitness before and after normalization, while \(Fit_{ener}^{max}\) and \(Fit_{ener}^{min}\) represent the maximum and minimum values within the energy fitness. Similarly, \(Fit_{QoS}\) and \(Fit_{QoS}^{norm}\) respectively denote the QoS fitness before and after normalization, and \(Fit_{QoS}^{max}\) and \(Fit_{QoS}^{min}\) represent the maximum and minimum values within the QoS fitness. Likewise, \(Fit_{dis}\) and \(Fit_{dis}^{norm}\) respectively refer to the distance fitness before and after normalization, and \(Fit_{dis}^{max}\) and \(Fit_{ener}^{min}\) represent the maximum and minimum values within the distance fitness.
Finally, based on the obtained normalized results, the ultimate objective function will be calculated using equation (12) and used as the optimization goal for the proposed protocol in this paper.
In equation (12), \(\tau\), \(\phi\), and \(\psi\) serve as the weights that correspond to distance fitness, energy fitness, and QoS (Quality of Service) fitness, respectively. Final embodies the culminating overall objective function value, which is a synthesis of these weighted components. The design incorporates a flexible weight distribution mechanism, allowing for adjustments to the weights in response to varying scenarios. This adaptability ensures that the protocol can be tailored to meet specific needs or constraints, thereby enhancing its versatility and applicability.
Crucially, the assignment of these weights is subject to a fundamental constraint: each weight, \(\tau\), \(\phi\), and \(\psi\), must lie within the interval (0,1), and their sum must equate to 1. This restriction is essential for maintaining the coherence and validity of the multi-objective function. By enforcing this constraint, it guarantees that each component of the fitness function retains a proportionate influence on the final outcome, preventing any single aspect from dominating the result.
Consequently, depending on the prevailing scenario, the weights can be strategically adjusted to emphasize different facets of the fitness function. For instance, if energy conservation is paramount, a higher weight can be allotted to \(Fit^{norm}_{ener}\), the normalized energy fitness component, while correspondingly reducing the weights assigned to the other components to maintain the sum of 1. Conversely, if minimizing delay is the primary objective, a greater weight can be assigned to \(Fit^{norm}_{dis}\), the normalized distance fitness component, again ensuring that the aggregate weight remains unity. This delicate balance allows for precise control over the optimization process, enabling the protocol to adapt dynamically to the ever-changing demands and conditions of the network.
GAAFSA solves cluster routing problems in IWSN
Gaussian mutated adaptive artificial fish swarm algorithm (GAAFSA), inspired by the foraging behavior of fish schools, is a intelligence algorithm. It simulates the behaviors of individual fish in search of food, including foraging, movement, and information exchange. By harnessing the collaboration and interaction within the swarm, GAAFSA aims to discover optimal solutions to problems. Specifically, in GAAFSA, each fish is a potential solution. Through the objective function, their fitness can be evaluated and their movement and state will be adjusted according to a certain strategy. By simulating fish activity in the search space, GAAFSA achieves a balance between global exploration and local exploitation in complex optimization problems. It exhibits adaptability and robustness.
GAAFSA boasts strong global search capabilities. As a novel and efficient optimization method, GAAFSA holds significant potential for solving intricate optimization problems, offering a fresh perspective and approach for optimizing the clustering routing protocol within GAAFSA. In the context of IWSN, GAAFSA can be employed in the design of clustering routing protocols to optimize tasks such as CH selection, data transmission paths, and energy allocation. This optimization can lead to improved energy efficiency, data transmission rates, and Quality of Service (QoS) in the network. By leveraging GAAFSA, networks can better adapt to dynamic environmental changes, achieving more stable and reliable data transmission. Meanwhile, the flowchart of GAAFSA is shown as figure 3.
Encode scheme and initialization of fish swarm
In evolutionary algorithm-based clustering routing protocols, particularly within the framework of the Group-based Artificial Fish Swarm Algorithm (GAAFSA), the encoding scheme and initialization of individuals are pivotal factors that significantly impact the algorithm’s performance and overall effectiveness. A prevalent encoding scheme employed is real-valued encoding, wherein each artificial fish within GAAFSA embodies a distinct clustering routing scheme tailored for the Internet of Wireless Sensor Networks (IWSN).
The state of the \(i_{th}\) artificial fish in the swarm is mathematically represented by \(Z_i=(Z_{i1},Z_{i2},...Z_{in})\), signifying that \(Z_i\) constitutes a solution within an n-dimensional solution space. Here, \(Y_i=f(Z_i)\) denotes the food concentration in the fish’s current state, which corresponds to the objective function value associated with that particular solution. The transformation of \(Z_i\), encoded by the artificial fish, into a tangible routing scheme within the IWSN network involves a defined process: \(Z_{ij}=1\) signifies that node j is assigned the role of a Cluster Head (CH) node, whereas \(Z_{ij}=0\) indicates that node j is designated as a Cluster Member (CM) node. This binary decision framework facilitates the reconstruction of the routing scheme’s specific structure within the IWSN network, delineating which nodes function as CH nodes and which as CM nodes. Specifically, within each scheme, the top cls nodes exhibiting the highest values are anointed as CH nodes, with the residual nodes automatically classified as CM nodes.
To elucidate the connection between artificial fish and sensor nodes, it is essential to understand the mechanism through which the encoded states of artificial fish (\(Z_i\)) are translated into practical routing configurations within the IWSN. Each artificial fish, with its state vector \(Z_i\), essentially maps onto the sensor nodes in the network, where the binary values (\(Z_{ij}\)) dictate the roles of these nodes. This mapping process ensures that the exploratory behavior of artificial fish in the solution space directly corresponds to the evaluation and optimization of clustering routing schemes within the IWSN.
Initialization in GAAFSA entails the generation of initial fish individuals, a process of utmost importance for the algorithm’s search prowess. This initialization ensures that fish individuals exhibit a favorable distribution and diversity within the problem space, thus providing a robust foundation for the ensuing search endeavors. Initially, the number of fish individuals is ascertained, and their starting positions are randomized. Additionally, behavioral parameters pertinent to fish initialization, such as movement step size, foraging strategies, and aggregation tactics, are meticulously set. These parameters collectively contribute to the effective navigation and exploration of the solution space by the artificial fish, ultimately aiding in the discovery of the optimal clustering routing scheme for the IWSN.
Preying behavior
Preying simulates the process of an artificial fish searching for a better food state within its own field of view. Set the state of fish individual \(AF_i\) as \(Z_i\) and the corresponding food concentration as \(Y_i\). Randomly search for a state \(Z_j\) within its visual field of view, and the corresponding food concentration is \(Y_j\). If \(Y_i < Y_j\), then \(AF_i\) advances towards state \(Z_j\); otherwise, randomly search for the next state and determine whether the forward condition is met. If it still does not meet the condition after repeating trynumber times, it advances one step towards a random state within the field of view. The process of changing its state is represented by formulas (14) and (15).
In formula (14) and (15), \(\vert \vert Z_i-Z_j \vert \vert\) refers to the distance between \(Z_i\) and \(Z_j\). vs refers to the visual field, that is, the perceptual range of individual fish. s is the moving step of artificial fish. trynum represents the maximum number of attempts for an individual fish each time it moves, \(r_1, r_2,r_3\) represent random numbers between (0, 1).
Swarming behavior
The swarming behavior simulates the process of an artificial fish approaching an area with more fish schools in the field of view. Areas with more fish schools often indicate better food quality, but at the same time, it is necessary to avoid the fish schools being too concentrated and falling into local optimal. Therefore, the crowding factor b is introduced. Set the state of fish individual \(AF_i\) as \(Z_i\), with the number of fish individual within its vision as \(n_f\), and the state of the center position as \(Z_c\). If \(Y_c\)/\(n_f\) \(\xi\) \(Y_i\), it indicates that the food density in the center is better and the crowding degree of the fish school is not high, then \(AF_i\) moves towards \(Z_c\). Otherwise, \(AF_i\) will engage in preying behavior. The process of changing its state is represented by formulas (16) and (17).
In formula (16) and (17), \(\vert \vert Z_c-Z_i \vert \vert\) refers to the distance between \(Z_c\) and \(Z_i\). \(Prey(Z_i)\) and \(Swarm(Z_i)\) represent the preying behavior and swarming behavior, respectively. Here, \(Z_i^*\) denotes the new state of \(Z_i\) after performing the swarming behavior. \(n_f\) represents the number of fish individuals within the fish’s field of view, while \(Z_c\) refers to the state at the middle position of the fish’s field of view, and \(Y_c\) represents the corresponding fitness value. \(\xi\) is the crowding factor of fish density and \(r_4\) represents random number between (0, 1).
Following behavior
The tail chasing behavior simulates the process of an artificial fish searching for the most abundant fish individual within its vision and approaching it. Assuming the state of fish individual \(AF_i\) is \(Z_i\), its corresponding fitness is \(Y_i\), the number of fish individual within the field of view is \(n_f\), and the optimal state of artificial fish is \(Z_{max}\). If \(Y_{max}\) / \(n_f\) , it indicates that the partner’s food intake is better and the crowding level is not high, then \(AF_i\) moves towards \(Z_{max}\). Otherwise, engage in foraging behavior. The process of changing its state is represented by formula (18).
Where \(\vert \vert Z_{max}-Z_i \vert \vert\) refers to the distance between \(Z_max\) and \(Z_i\). \(Follow(Z_i)\) represents the following behavior. Meanwhile, \(Z_{max}\) denotes the optimal state within the fish’s field of view, and \(Y_{max}\) represents the corresponding fitness value associated with this state. \(r_5\) represents random number between (0, 1).
Gaussian mutation strategy
In GAAFSA, the Gaussian mutation strategy is employed to enhance search efficiency. Inspired by the genetic variation process of natural organisms, offspring artificial fish are optimized through the best individual fish and the worst part of artificial fish is eliminated. For example, as the parents of the \(i_{th}\) generation fish school, the \(i_{th}\) generation fish school first uses the best artificial fish from the \(i_{th}\) generation fish school as one of the parents, and the worst part of the artificial fish as the one to be eliminated. Both parties generate the \(i_{th}\) generation artificial fish and eliminate and replace the worst artificial fish, achieving the effect of optimizing the entire fish school.
After the basic behavior of the fish school is completed, according to the elimination ratio \(\theta\), select the n * \(\theta\) artificial fish with the worst fitness and have them perform the Gaussian mutation behavior shown in formula (19).
Where \(Z_{gb}\) refers to the state of the globally optimal fish individual recorded on the bulletin board, and rand denotes random number following Gaussian distribution. The artificial fish with the worst fitness undergoes mutation as the eliminated individual, learns from the best individual, forms an intermediate state, and adds a random perturbation term that follows a Gaussian distribution to ensure population diversity.
Adaptive optimization strategy
In GAAFSA, vision and step are very important parameters, which directly influence the accuracy of the optimization results. When the vision is large, it is conducive to the overall exploration of the fish school and speed up the optimization speed; The smaller field of view is conducive to the local search of artificial fish to improve the solution accuracy; But the field of view is too small, which not only affects the convergence speed, but also may cause the algorithm to fall into local extremum. Considering the above conditions, the field of view is improved by using piecewise function to ensure that the fish school has a suitable field of view at different stages, as shown in formula (20) and (21).
Where cn represents the change rate of visual field, gen and maxgen denote the current generation and the maximum value of generation respectively. a denotes a constant between 0 and 1. vs and \(vs_{min}\) respectively denote the vision and the minimum vision of the current fish individual, and b denote the vision adjustment factor.
Similarly, when searching for a better solution globally, a larger step size can be used to fully expand the search space, improve the diversity of artificial fish, and avoid falling into a local optimal solution. In local search, the step size should be shortened, the search ability should be strengthened, and the optimization accuracy should be improved. The relationship between vision and step in GAAFSA is proportional. The concept of adaptive vision and step proposed in this paper is to adjust the step size according to a certain proportion on the basis of dynamic adjustment of visual field, for the purpose of adjusting the visual field and step size in the meanwhile. Adjust the step of fish individual according to the adjustment of the above visual field, introduce the control coefficient, and control the step size change through the change of the visual field. The related formula is shown as follows.
Where s represents the step size of every individual, vs represents the visual field of the corresponding fish individual, and \(\omega\) represents the step control coefficient.
Termination conditions
Before starting the iteration, GAAFSA sets a maximum value of iterations. When this value is reached, the algorithm iteration will terminate.
Computational complexity of GAAFSA
The computational complexity of the proposed GAAFSA algorithm primarily stems from the Gaussian mutation strategy and the adaptive optimization strategy. The Gaussian mutation strategy effectively enhances the search efficiency of GAAFSA, while the adaptive optimization strategy improves both search efficiency and solution quality, thereby enhancing the algorithm’s search performance and adaptability. The computational complexity of these two strategies is determined by the maximum number of iterations, population size, and the number of sensor nodes in the IWSN. Specifically, they can be represented by the following formulas.
Here, iternum represents the maximum number of iterations, fishnum represents the population size, and snum represents the number of sensor nodes in the IWSN. By considering the computational complexity of the Gaussian mutation strategy and the adaptive optimization strategy, the total computational complexity of GAAFSA can be expressed as formula (25).
Simulation experiment and discussion
To verify the performance of the proposed protocol, simulation experiments are carried out in matlab 2018a environment. The proposed protocols are compared with the most novel protocols in the past five years such as CMSTR44, D2CRP45, EEHCHR46ESCVAD47and BAFSA48, all of which are newly proposed protocols representing the latest research achievements and technological level in the current IWSN field. They may have innovations in different aspects, such as routing efficiency, energy consumption, network lifecycle, etc., and therefore can represent multiple research directions and design ideas. By comparing with these latest protocols, it can be verified whether the proposed protocol has competitive performance and can meet the needs of industrial IoT environments. These protocols are all new protocols proposed in the past five years, to verify the feasibility and reliability of the protocol proposed in this paper. In the simulation, nodes are randomly distributed in several different ranges, and BS will be arranged inside, at the edge, and outside the network.
Because the energy of IWSN nodes is limited, once the network nodes lose energy, it is difficult to carry out the monitoring task, and the system energy must be given priority. At the same time, because most businesses in IWSN need to monitor and detect the data, they have high requirements for the integrity of data storage, and IWSN has high requirements for the corresponding indicators of QoS, such as delay and packet loss rate.
In this section, four experimental scenarios are set up for testing, with 180, 200, 220, and 240 sensor nodes respectively. All sensor nodes are initially set with an energy level of 0.5J, resulting in a total network energy of 90J, 100J, 110J, and 120J for the four scenarios, respectively. In scenario 1, the weight of energy fitness is set to 0.4, while the weights of QoS fitness and distance fitness are both set to 0.3. In scenario 2, the weight of energy fitness is increased to 0.5, while the weights of QoS fitness and distance fitness are decreased to 0.25, emphasizing the importance of the remaining energy level of sensors in IWSNs. In scenario 3, priority is given to energy fitness and distance fitness, with both weights set to 0.4. In scenario 4, the weights of energy fitness and QoS fitness are both set to 0.4, placing more emphasis on the remaining energy level and QoS level of nodes when selecting cluster heads and member nodes. The model and algorithm parameters are shown in Table 2. Parameter of experiment scenario settings are shown in Table 3.
The number of IWSN alive nodes is one of the most important criteria to evaluate the performance of clustering routing protocols, allowing observation of the lifetime of the first energy-exhausted node and the last energy-exhausted node in the network. Figure 4 shows the comparison of the number of surviving nodes of CMSTR, D2CRP, EEHCHR, ESCVAD, BAFSA and GAAFSA protocol networks under different monitoring environments. It is obvious that the IWSN lifetime of GAAFSA protocol is longer than the other comparative protocols in all monitoring environments. The CMSTR protocol starts to die at the node near the 1280 round; The node of EEHCHR protocol begins to die at the 988 round; However, the node of the GAAFSA protocol dies in the 1419 round, which prolongs the life cycle by about 10.86% and 43.62% compared with CMSTR and EEHCHR respectively. Obviously, under the same running time, the new algorithm has more surviving nodes. The reason is that Gaussian mutation strategy is introduced into GAAFSA, and the optimal CH is obtained by integrating node location, residual energy and network QoS. Moreover, GAAFSA itself has more advantages in global optimization and rapid convergence, and the network energy utilization is more average, and the network life is extended.
According to the experimental results presented in table 4, a comparison between GAAFSA and CMSTR, D2CRP, EEHCHR, ESCVAD, BAFSA reveals the network lifetime of IWSNs in different scenarios. S1, S2, S3, and S4 represent four distinct experimental scenarios, while “Number” represents the network lifetime of IWSNs and “Opt.Rate” represents the improvement rate of network lifetime achieved by GAAFSA compared to each protocol.
In scenario S1, CMSTR demonstrated a network lifetime of 1542, while D2CRP, EEHCHR, and ESCVAD had network lifetimes of 884, 1169, and 1483, respectively, resulting in an optimization rate of 23.26%. In contrast, GAAFSA had a node count of 1828, which represents an improvement of 18.55%, 106.79%, 56.37%, and 23.26% compared to the previous four protocols, respectively. Therefore, GAAFSA achieved a minimum improvement of 18.55% in network lifetime compared to other protocols.
Similar trends can be observed in scenarios S2, S3, and S4. CMSTR, EEHCHR, ESCVAD, and BAFSA exhibited varying node counts and optimization rates in these scenarios, while D2CRP maintained a relatively stable node count with varying optimization rates. On the other hand, GAAFSA had node counts of 1750, 1786, and 1837 in scenarios 2 to 4, representing at least 17.53%, 22.50%, and 15.68% improvement compared to other protocols, respectively. In multiple scenarios, GAAFSA consistently achieved a minimum improvement of 15.68% in network lifetime compared to other protocols.
Figure 5 above shows the comparison of the remaining average energy of network nodes of CMSTR, D2CRP, EEHCHR, ESCVAD, BAFSA and GAAFSA proposed in this paper. With the passage of simulation time, the remaining average energy of the four algorithms’ nodes in the network continues to decline, and the energy of all nodes has been exhausted before 1600 rounds. However, Intuitively, when it is about 800 rounds, the residual average energy value of the proposed scheme in the simulation experiment is vastly higher than the comparative protocols, and generally shows a linear downward trend, representing that all nodes in the network have a better effect on energy balance. Meanwhile, from figure 5, among these protocols, GAAFSA demonstrates the highest energy consumption efficiency cause its average residual energy is higher than other protocols, that is, when running the same number of rounds, GAAFSA has less energy consumption and higher efficiency. This is because when selecting CH nodes, this scheme considers the two factors of residual energy of nodes and BS distance, which can effectively balance the energy consumption of IWSN nodes Therefore, the GAAFSA proposed in this paper has the ability to effectively prolong the lifetime of IWSN, and is superior to the other four protocols in terms of the remaining average energy.
Similar trends can be observed in scenarios S2, S3, and S4. CMSTR, D2CRP, EEHCHR, and ESCVAD exhibited different maximum, minimum, and average dispersion values in these scenarios. On the other hand, GAAFSA consistently achieved the highest average dispersion, with the smallest difference between maximum and minimum dispersion. This indicates that GAAFSA can better balance the distribution of node energy in cluster routing protocols, thereby improving network lifetime.
Figure 6 illustrates the comparison of the number of packets received by the BS of CMSTR, D2CRP, EEHCHR, ESCVAD, BAFSA and GAAFSA when the data transmission cycle changes. From figure 6, with the number of iteration rounds increasing, the packet reception of the comparative protocols increases until their maximum values are reached, because the reception of these protocols decreases gradually until it reaches the minimum value of 0. In addition, from these figures, before the reception volume of these protocols reaches the maximum, the number of packets of GAAFSA is greater than that of the other comparative protocols. This is because the network lifetime of GAAFSA is higher than that of other comparative protocols, and the CH nodes selection in GAAFSA considers comprehensive factors such as node residual energy, BS distance and IWSN QoS, which is more efficient in energy consumption.
In figure 7, observe the average delay from the source node to the target node of the four protocols. When the number of IWSN nodes is 180, 200, 220, 240 respectively, the average delay is obtained through several experiments. In scenario 1, it can be seen that compared with EEHCHR protocol and D2CRP protocol, the average delay obtained by the protocol proposed in this paper is about 157, reducing the delay by about 7.10% and 9.77% respectively, which can meet the delay requirements of IWSN monitoring.
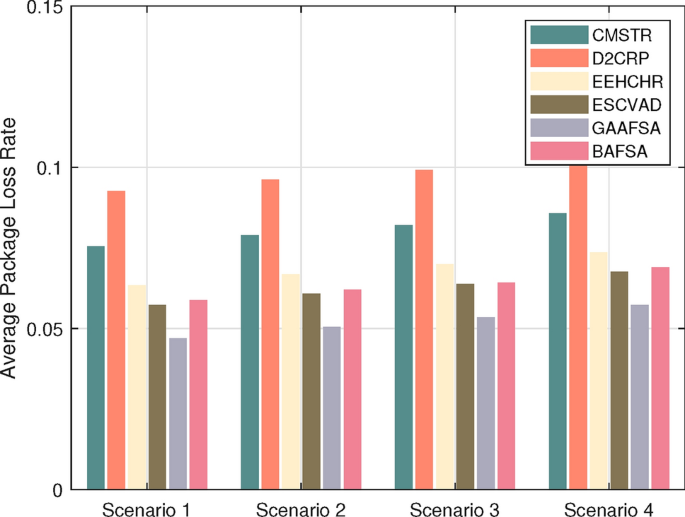
In figure 8, by comparing the total number of messages received by the four algorithms, the data transmission capacity of each algorithm in the network life cycle can be compared. It can be seen that considering the packet loss rate of IWSN monitoring task as the screening index, compared with other algorithms, the packet loss rate is significantly lower, which can better meet the data monitoring requirements of IWSN monitoring task for the monitoring environment and is more accurate. The packet loss rate of the protocol proposed is significantly lower than that of CMSTR, D2CRP, EEHCHR, ESCVAD and BAFSA, and the total number of received packets has decreased at least by 22.67%, 39.56%, 11.29% and 7.34% respectively.
Based on the experimental results presented in table 5, a performance comparison between GAAFSA and CMSTR, D2CRP, EEHCHR, ESCVAD, and BAFSA in IWSNs can be conducted. This table provides information regarding QoS metrics in different scenarios. “Number” represents the experimental results for the respective metrics, while “Opt.Rate” represents the optimization rate achieved by GAAFSA compared to each protocol.
In scenario S1, the following results can be observed: CMSTR had a delay of 174.29, with 18175 BS packets and a packet loss rate of 0.0753. For D2CRP, the delay was 169.22, with 11524 BS packets and a packet loss rate of 0.0925. BAFSA had a delay of 160.59, with 17359 BS packets and a packet loss rate of 0.0586. GAAFSA had a delay of 157.23, with 20285 BS packets and a packet loss rate of 0.0468. In scenario S1, GAAFSA achieved the lowest delay and received at least an improvement of 11.61% in the number of received BS packets compared to other protocols, with a packet loss rate reduction of at least 18.04%.
Similar trends can be observed in scenarios S2, S3, and S4. CMSTR, D2CRP, EEHCHR, ESCVAD, and BAFSA exhibited different delay values, BS packet counts, and optimization rates in these scenarios. In these scenarios, GAAFSA received at least a 7.46% improvement in the number of received BS packets and a packet loss rate reduction of at least 15.28% compared to other protocols. Compared to CMSTR and ESCVAD, GAAFSA demonstrates exceptional competitiveness in terms of delay and packet loss rate in these scenarios.
The comparison of GAAFSA with CMSTR, D2CRP, EEHCHR, ESCVAD, and BAFSA in scenarios 5 to 8 is shown in Figure 9. Figures 9 (a) to 10 (d) show the number of rounds in which a certain proportion of nodes die at different BS locations and network ranges, respectively. The network range from scenario 5 to scenario 7 is \(500*500 m^2\) square meters, but the BS positions are located outside, at the edge, and inside the network, respectively. The network range of scenario 8 is \(600*600 m^2\) square meters, and the BS location is outside the network. From Figure 10 (a) to 10 (c), it can be seen that as the BS position moves from the inside to the outside, the network lifetime of IWSNs gradually shortens. From Figures 9 (a) and 10 (d), it can be seen that as the network range increases, the network lifetime of IWSNs gradually shortens. In addition, the lifespan of GAAFSA nodes with the same proportion is longer than other protocols, indicating that the network lifespan of IWSN has been effectively extended. In addition, with the change of BS location and the expansion of network size, GAAFSA can maintain significant advantages. Therefore, GAAFSA is more suitable for solving cluster problems in IWSNs.
Overall, the difference between the proposed GAAFSA protocol and existing comparison protocols is that GAAFSA simulates the foraging behavior of fish schools and introduces new Gaussian mutation and adaptive strategies, effectively promoting the protocol to avoid local optima and premature convergence. At the same time, multiple key factors such as CH energy, BS distance, packet loss rate, and data delay are comprehensively considered in the design, while other protocols may only focus on a part of them or adopt different optimization objectives. In addition, GAAFSA places special emphasis on QoS, ensuring the reliability and real-time performance of data transmission through optimized algorithms to meet the high requirements for QoS in industrial environments. According to the experimental results, GAAFSA outperforms the compared protocols in terms of network energy consumption, system lifespan, data transmission reliability, and latency.
Conclusion
In conclusion, with the aim of addressing the network energy consumption and data transmission requirements of IWSNs, this paper proposes a novel cluster-based routing protocol based on the Gaussian mutated adaptive artificial fish swarm algorithm (GAAFSA). This protocol significantly reduces energy losses within the network while concurrently enhancing network Quality of Service (QoS). By comprehensively considering the impact of key factors such as the distance between CHs and the BS, CH energy, data transmission latency, and packet loss rate, a novel model is devised. This model accurately represents real-world IWSN application scenarios and greatly promotes improvements in network lifespan and QoS. The ultimate results derived from extensive experiments demonstrate that the GAAFSA-based cluster-based routing protocol holds substantial potential for applications within industrial wireless sensor networks. It effectively reduces network energy consumption, extends network lifespan, and enhances IWSN QoS.
In the future, our next step is to introduce the mobility of sensor nodes and study the clustering optimization of GAAFSA in dynamic industrial wireless sensor networks. At the same time, in-depth research will be conducted on the security and practical application scenarios of nodes, further enhancing the application value of algorithms, and providing strong support for achieving intelligent manufacturing and digital transformation.
Data availability
The data that support the findings of this study are available from the corresponding author.
References
Jin, B. & Vai, M. I. An adaptive ultrasonic backscattered signal processing technique for accurate object localization based on the instantaneous energy density level. Journal of Medical Imaging and Health Informatics 5, 1059–1064. https://doi.org/10.1166/jmihi.2015.1493 (2015).
Jin, B. et al. Simulated multimodal deep facial diagnosis. Expert Systems with Applications 252, 123881. https://doi.org/10.1016/j.eswa.2024.123881 (2024).
Serror, M., Hack, S., Henze, M., Schuba, M. & Wehrle, K. Challenges and opportunities in securing the industrial internet of things. IEEE TRANSACTIONS ON INDUSTRIAL INFORMATICS 17, 2985–2996. https://doi.org/10.1109/TII.2020.3023507 (2021).
Xiao, J. et al. Minimization of energy consumption for routing in high-density wireless sensor networks based on adaptive clone elite genetic algorithm. In Journal of Physics: Conference Series, vol. 1924, 012029 (IOP Publishing, 2021).
Zhang, Y. et al. An immune chaotic adaptive evolutionary algorithm for energy-efficient clustering management in lpwsn. Journal of King Saud University - Computer and Information Sciences 34, 8297–8306. https://doi.org/10.1016/j.jksuci.2022.08.010 (2022).
Li, C., Liu, Y., Xiao, J. & Zhou, J. Mceaaco-qsrp: A novel qos-secure routing protocol for industrial internet of things. IEEE Internet of Things Journal 9, 18760–18777 (2022).
Luo, T. et al. An innovative cluster routing method for performance enhancement in underwater acoustic sensor networks. IEEE Internet of Things Journal (2024).
Alonso, R., Haber, R. E., Castaño, F. & Recupero, D. R. Interoperable software platforms for introducing artificial intelligence components in manufacturing: A meta-framework for security and privacy. Heliyon 10 (2024).
Gong, Y., Li, C., Wang, F. & Fang, X. Mhcf-cecso: A novel high-performance clustering framework for industrial iot. IEEE Internet of Things Journal (2023).
Li, C. et al. A novel nature-inspired routing scheme for improving routing quality of service in power grid monitoring systems. IEEE Systems Journal (2022).
Han, G. et al. A multicharger cooperative energy provision algorithm based on density clustering in the industrial internet of things. IEEE INTERNET OF THINGS JOURNAL 6, 9165–9174. https://doi.org/10.1109/JIOT.2019.2928557 (2019).
Xiao, J., Li, C., Li, Z. & Zhou, J. Bs-scrm: a novel approach to secure wireless sensor networks via blockchain and swarm intelligence techniques. Scientific Reports 14, 9709 (2024).
Souza, L. C., Neto, E. R., Lima, E. S. & Sodre Junior, A. C. Optically-powered wireless sensor nodes towards industrial internet of things. SENSORS 22, https://doi.org/10.3390/s22010057 (2022).
Khalifeh, A., Tanash, R., AlQudah, M. & Al-Agtash, S. Enhancing energy efficiency of ieee 802.15.4- based industrial wireless sensor networks. JOURNAL OF INDUSTRIAL INFORMATION INTEGRATION 33, https://doi.org/10.1016/j.jii.2023.100460 (2023).
Liu, Y. et al. Hpcp-qcwoa: High performance clustering protocol based on quantum clone whale optimization algorithm in integrated energy system. Future Generation Computer Systems 135, 315–332 (2022).
Vera-Perez, J., Silvestre-Blanes, J. & Sempere-Paya, V. Tsch and rpl joining time model for industrial wireless sensor networks. SENSORS 21, https://doi.org/10.3390/s21113904 (2021).
Xu, M., Zu, Y., Zhou, J., Liu, Y. & Li, C. Energy-efficient secure qos routing algorithm based on elite niche clone evolutionary computing for wsn. IEEE Internet of Things Journal (2024).
Del-Valle-Soto, C., Rodriguez, A. & Ascencio-Pina, C. R. A survey of energy-efficient clustering routing protocols for wireless sensor networks based on metaheuristic approaches. ARTIFICIAL INTELLIGENCE REVIEW 56, 9699–9770. https://doi.org/10.1007/s10462-023-10402-w (2023).
Rajaram, V. & Kumaratharan, N. Multi-hop optimized routing algorithm and load balanced fuzzy clustering in wireless sensor networks. JOURNAL OF AMBIENT INTELLIGENCE AND HUMANIZED COMPUTING 12, 4281–4289. https://doi.org/10.1007/s12652-020-01827-0 (2021).
Liu, Y. et al. Dcc-iacjs: A novel bio-inspired duty cycle-based clustering approach for energy-efficient wireless sensor networks. Journal of King Saud University-Computer and Information Sciences 35, 775–790 (2023).
Liu, Y., Li, C., Zhang, Y., Xiao, J. & Zhou, J. Iqwoa: improved quantum whale optimization algorithm for clustering in industrial wireless sensor network. In 2021 IEEE 2nd International Conference on Information Technology, Big Data and Artificial Intelligence (ICIBA), vol. 2, 337-340 IEEE, (2021).
Xiong, X., Dong, C. & Niu, K. rsem: System-entropy-measure-guided routing algorithm for industrial wireless sensor networks. SENSORS 22, https://doi.org/10.3390/s22218291 (2022).
Tan, X., Zhao, H., Han, G., Zhang, W. & Zhu, T. Qsdn-wise: A new qos-based routing protocol for software-defined wireless sensor networks. IEEE ACCESS 7, 61070–61082. https://doi.org/10.1109/ACCESS.2019.2915957 (2019).
Chithaluru, P., Kumar, S., Singh, A., Benslimane, A. & Jangir, S. K. An energy-efficient routing scheduling based on fuzzy ranking scheme for internet of things. IEEE Internet of Things Journal 9, 7251–7260 (2021).
Petrović, M. et al. Optimal tuning of cascade controllers for feed drive systems using particle swarm optimization. In 2019 IEEE 17th International Conference on Industrial Informatics (INDIN), vol. 1, 325–330 (IEEE, 2019).
Li, C. et al. A novel multi-level population hybrid search evolution algorithm for constrained multi-objective optimization problems. Journal of King Saud University - Computer and Information Sciences 34, 9071–9087. https://doi.org/10.1016/j.jksuci.2022.08.032 (2022).
Wang, C., Liu, X., Hu, H., Han, Y. & Yao, M. Energy-efficient and load-balanced clustering routing protocol for wireless sensor networks using a chaotic genetic algorithm. IEEE ACCESS 8, 158082–158096. https://doi.org/10.1109/ACCESS.2020.3020158 (2020).
Li, C. et al. A novel binary immune elite evolutionary algorithm to improve the revenues of spectrum allocation in medical cognitive radio network. In 2021 IEEE 2nd International Conference on Information Technology, Big Data and Artificial Intelligence (ICIBA), vol. 2, 341-344, https://doi.org/10.1109/ICIBA52610.2021.9687878 (2021).
Luo, T. et al. An improved levy chaotic particle swarm optimization algorithm for energy-efficient cluster routing scheme in industrial wireless sensor networks. Expert Systems with Applications 122780 (2023).
Liu, Y. et al. Qegwo: Energy-efficient clustering approach for industrial wireless sensor networks using quantum-related bioinspired optimization. IEEE Internet of Things Journal 9, 23691–23704 (2022).
Jaiswal, K. & Anand, V. Fagwo-h: A hybrid method towards fault-tolerant cluster-based routing in wireless sensor network for iot applications. JOURNAL OF SUPERCOMPUTING 78, 11195–11227. https://doi.org/10.1007/s11227-022-04333-6 (2022).
Wan, Z., Liu, S., Ni, W. & Xu, Z. An energy-efficient multi-level adaptive clustering routing algorithm for underwater wireless sensor networks. CLUSTER COMPUTING-THE JOURNAL OF NETWORKS SOFTWARE TOOLS AND APPLICATIONS 22, 14651–14660. https://doi.org/10.1007/s10586-018-2376-8 (2019).
Kaedi, M., Bohlooli, A. & Pakrooh, R. Simultaneous optimization of cluster head selection and inter-cluster routing in wireless sensor networks using a 2-level genetic algorithm. APPLIED SOFT COMPUTING 128, https://doi.org/10.1016/j.asoc.2022.109444 (2022).
Panchal, A. & Singh, R. K. Eehchr: Energy efficient hybrid clustering and hierarchical routing for wireless sensor networks. Ad Hoc Networks 123, 102692 (2021).
Ma, N., Zhang, H., Hu, H. & Qin, Y. Escvad: An energy-saving routing protocol based on voronoi adaptive clustering for wireless sensor networks. IEEE INTERNET OF THINGS JOURNAL 9, 9071–9085. https://doi.org/10.1109/JIOT.2021.3120744 (2022).
Gao, F., Luo, W. & Ma, X. Energy constrained clustering routing method based on particle swarm optimization. CLUSTER COMPUTING-THE JOURNAL OF NETWORKS SOFTWARE TOOLS AND APPLICATIONS 22, S7629–S7635. https://doi.org/10.1007/s10586-018-2339-0 (2019).
Chen, C., Wang, L.-C. & Yu, C.-M. D2crp: A novel distributed 2-hop cluster routing protocol for wireless sensor networks. IEEE INTERNET OF THINGS JOURNAL 9, 19575–19588. https://doi.org/10.1109/JIOT.2022.3148106 (2022).
Chaurasia, S., Kumar, K. & Kumar, N. Mocraw: A meta-heuristic optimized cluster head selection based routing algorithm for wsns. Ad Hoc Networks 141, 103079 (2023).
Nandan, A. S., Singh, S., Kumar, R. & Kumar, N. An optimized genetic algorithm for cluster head election based on movable sinks and adjustable sensing ranges in iot-based hwsns. IEEE Internet of Things Journal 9, 5027–5039 (2021).
Wang, M., Wang, S. & Zhang, B. Apteen routing protocol optimization in wireless sensor networks based on combination of genetic algorithms and fruit fly optimization algorithm. Ad Hoc Networks 102, 102138 (2020).
Kandan, J. M. & Sabari, A. Fuzzy hierarchical ant colony optimization routing for weighted cluster in manet. CLUSTER COMPUTING-THE JOURNAL OF NETWORKS SOFTWARE TOOLS AND APPLICATIONS 22, S9637–S9649. https://doi.org/10.1007/s10586-017-1318-1 (2019).
Deepa, O. & Suguna, J. An optimized qos-based clustering with multipath routing protocol for wireless sensor networks. JOURNAL OF KING SAUD UNIVERSITY-COMPUTER AND INFORMATION SCIENCES 32, 763–774. https://doi.org/10.1016/j.jksuci.2017.11.007 (2020).
Selvakumar, K. & Arieth, R. M. Contrast for qos based clustered energy efficient protocol with pso and multi-hop gateways in wireless sensor network. CLUSTER COMPUTING-THE JOURNAL OF NETWORKS SOFTWARE TOOLS AND APPLICATIONS 22, 11883–11890. https://doi.org/10.1007/s10586-017-1506-z (2019).
Lin, D., Lin, Z., Kong, L. & Guan, Y. L. Cmstr: A constrained minimum spanning tree based routing protocol for wireless sensor networks. AD HOC NETWORKS 146, https://doi.org/10.1016/j.adhoc.2023.103160 (2023).
Chen, C., Wang, L.-C. & Yu, C.-M. D2crp: A novel distributed 2-hop cluster routing protocol for wireless sensor networks. IEEE INTERNET OF THINGS JOURNAL 9, 19575–19588. https://doi.org/10.1109/JIOT.2022.3148106 (2022).
Panchal, A. & Singh, R. K. Eehchr: Energy efficient hybrid clustering and hierarchical routing for wireless sensor networks. AD HOC NETWORKS 123, https://doi.org/10.1016/j.adhoc.2021.102692 (2021).
Ma, N., Zhang, H., Hu, H. & Qin, Y. Escvad: An energy-saving routing protocol based on voronoi adaptive clustering for wireless sensor networks. IEEE INTERNET OF THINGS JOURNAL 9, 9071–9085. https://doi.org/10.1109/JIOT.2021.3120744 (2022).
Sengottuvelan, P. & Prasath, N. Bafsa: Breeding artificial fish swarm algorithm for optimal cluster head selection in wireless sensor networks. Wireless Personal Communications 94, 1979–1991 (2017).
Acknowledgements
This research has been supported by the Public Welfare Technology Research Project of Zhejiang Province under grant No.LGC22E050006; Quzhou Science and Technology Project under grant No.2023K242. Nature Science Foundation of XinJiang Uygur Autonomous Region (No.22D01B148); General Research Project of Zhejiang Provincial Department of Education, China under Grant (Y202455554).
Author information
Authors and Affiliations
Contributions
All authors contributed to the study’s conception and design. Y.L./C.R./Q.C./B.C.: Conceptualization, investigation, writing and modification. Y.L./M.Z./C.R./Q.C./B.J.: writing Conceptualization, review, and editing. C.R./B.C./Q.C.: Supervision. W.C./M.Z./F.W.: Methodology. M.Z./W.C./B.J.: Investigation. The first draft of the manuscript was written by Y.L./Q.C. and all authors commented on previous versions of the manuscript.
Corresponding authors
Ethics declarations
competing interest
The authors declare no competing interests.
Additional information
Publisher’s note
Springer Nature remains neutral with regard to jurisdictional claims in published maps and institutional affiliations.
Rights and permissions
Open Access This article is licensed under a Creative Commons Attribution-NonCommercial-NoDerivatives 4.0 International License, which permits any non-commercial use, sharing, distribution and reproduction in any medium or format, as long as you give appropriate credit to the original author(s) and the source, provide a link to the Creative Commons licence, and indicate if you modified the licensed material. You do not have permission under this licence to share adapted material derived from this article or parts of it. The images or other third party material in this article are included in the article’s Creative Commons licence, unless indicated otherwise in a credit line to the material. If material is not included in the article’s Creative Commons licence and your intended use is not permitted by statutory regulation or exceeds the permitted use, you will need to obtain permission directly from the copyright holder. To view a copy of this licence, visit http://creativecommons.org/licenses/by-nc-nd/4.0/.
About this article
Cite this article
Lan, Y., Rao, C., Cao, Q. et al. An improved energy saving clustering method for IWSN based on Gaussian mutation adaptive artificial fish swarm algorithm. Sci Rep 14, 27040 (2024). https://doi.org/10.1038/s41598-024-78513-0
Received:
Accepted:
Published:
Version of record:
DOI: https://doi.org/10.1038/s41598-024-78513-0












