Fig. 12
From: Research on temperature prediction model of molten steel of tundish in continuous casting

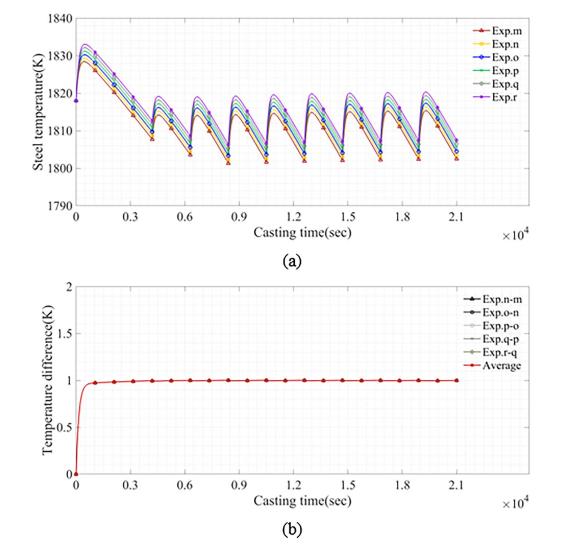
The result of the model outputs under different baking temperature conditions. (a) Continuous values of molten steel temperature in tundish under different baking temperature conditions. (b) Temperature difference at the same time point among different experiments under different baking temperature conditions.